黑龙江2024年高考安排和录取工作实施方案解读

2024-01-29 15:26 黑龙江省招生考试院 评论
1.2024年普通高考考试科目有哪些?

答:2024年普通高考由3门全国统一高考科目(语文、数学、外语)和6门选择性考试科目(历史、物理、思想政治、地理、化学、生物学)组成。
语文、数学、外语3门全国统考科目由教育部统一命题,是考生必考科目。其中外语科目分为英语、俄语、日语、德语、法语、西班牙语等6个语种试卷,考生可从中任选一个语种参加考试;非通用语言文字答卷的考生,语文科目应考汉语和本民族语言文字答卷的语文(含朝鲜语文和蒙古语文)2科,汉语科目由教育部统一命题,朝鲜语文和蒙古语文由我省自主命题。
6门选择性考试科目由我省自主命题,考生从中须选择3门科目参加考试,其中,考生首先应在历史和物理2门首选科目中选择1门科目,再在思想政治、地理、化学、生物学4门再选科目中选择2门科目。
综上所述,每名考生总共须参加6门科目的考试,即通常所说的“3+1+2”模式。
2.高考考试科目及时间是如何安排的?
答:语文科目考试时长为150分钟,数学、外语科目考试时长均为120分钟;选择性考试科目每科考试时长均为75分钟。具体考试时间安排为:
图片
说明:3门全国统考科目的考试时间安排以教育部统一公布的为准。如有调整,我省6门选择性考试科目的考试时间安排将做相应调整。
3.高考文化总成绩是如何组成的?
答:高考文化课总成绩满分为750分,由语文、数学、外语3门全国统考科目成绩和3门选择性考试科目成绩组成。各科成绩当年有效。
全国统考科目,每门满分为150分,其中外语科目由听力(满分30分)和笔试(满分120分)两部分组成。各科均以原始成绩计入考生总成绩。
选择性考试科目,每门满分为100分。其中,首选科目(物理或历史)以原始成绩计入考生总成绩,再选科目(思想政治、地理、化学、生物学)根据等级赋分原则,将每科原始成绩转换为等级成绩,再计入考生总成绩。
此外,非通用语言文字答卷的考生,语和本民族语言文字答卷的语文科目成绩各按50%换算后生成考生的语文科目成绩。如下图:
图片
4.等级赋分的意义是什么?
答:等级赋分作为一种相对性评价制度,是根据相关测量原则,将参加同一科目考试的考生原始成绩按生源一定比例进行等级划定后,再依照等比例转换法则,将考生的原始成绩转换成等级成绩,再计入高考总成绩,进而最大可能地实现不同科目成绩的可比性,从而保障高考的科学性与公平性。
5.为什么不能将再选科目原始成绩直接计入高考总成绩,而是要进行等级赋分后再计入高考总成绩?
答:再选科目(思想政治、地理、化学、生物学4门)不能直接计入高考总成绩的原因主要有:一是考生选考科目不同,导致各科之间选考人数不同;二是由于各学科试题难易程度存在差异,各科成绩之间不具有可比性;三是报考同一院校专业组的考生,存在再选科目的选科不同,录取时,按照同一标准录取,存在不公平的情况。例如:某院校某一个专业组再选科目的要求是不限选考科目。考生甲选考地理,考生乙选考化学,两人都考了80分,都报考了这个院校专业组,而考生甲排在所有选考地理考生的第100位,考生乙排在所有选考化学考生的第1000位。如果简单将他们各科成绩相加,计入考生总成绩进行比较,在录取时,选考化学的考生会占有一定优势,可见,这样做既不科学也不公平。
综上所述,再选科目各科的原始成绩不具有可比性,不能简单地将选考科目的原始成绩直接计入高考总成绩。而采用等级赋分的办法,既实现了不同学科之间转换后的成绩具有可比性,也有效保障了高考的科学性和公平性。
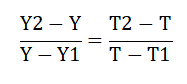
6.再选科目原始成绩转换等级成绩是如何进行换算的?
答:等级赋分前,先统计每门再选科目实际参加考试的考生人数作为转换基数。每门再选科目等级成绩以30分作为等级转换的赋分起点,满分100分。将考生每门再选科目的原始成绩从高到低划分为A、B、C、D、E共5个等级,各等级人数所占比例分别为该科目转换基数的15%、35%、35%、13%和2%。再选科目成绩计入考生总成绩时,将A至E等级内的考生原始成绩,依照等比例转换法则,分别转换到100~86、85~71、70~56、55~41和40~30五个分数区间,根据线性转换公式计算得到考生的等级成绩,一分一档,考生等级成绩排序和原始成绩排序不变。 
线性转换公式:
图片
其中,Y表示原始成绩(Y1、Y2分别表示原始分区间的下限和上限);T表示转换后等级成绩(T1、T2分别表示转换分区间的下限和上限)。计算结果通过“四舍五入”取整数。
等级比例和赋分区间对应表:
图片
7.考生是否可以查询各科原始成绩?
答:高考成绩公布时,我省仅向考生公布总成绩及各科最终成绩,其中,语文、数学、外语、历史和物理5门科目为原始成绩,思想政治、地理、化学和生物学4 门科目的原始成绩是成绩转换环节的过程性信息,不对考生公布,只公布等级转换后的等级成绩。
8.学业水平合格性考试科目选择性考试科目是否存在关联?
答:我省学业水平的合格性考试科目与选择性考试科目不挂钩不关联,即考生可根据本人志向、兴趣爱好和自身优势等因素,结合报考院校的相关专业选考要求,自主选择参加高考的选择性考试科目。
9.考生在高考报名结束后是否可以再申请调整选考科目?
答:考生在高考报名结束后,不得再申请调整选考科目。因此,考生在报名时,要慎重填报选考科目,一旦误报,造成个人利益受损,由考生本人负责。
10.招生计划如何编制?
答:各院校按“院校专业组”模式编制在我省的招生计划。
(1)招生院校根据经济社会发展的需要和对人才需求的分析、预测,结合自身办学条件、培养要求和毕业生就业情况等,按照教育部和我省有关计划编制原则和要求科学、规范地编制在我省招生的来源计划。
(2)2024年起,在我省普通高校招生的普通类、体育类招生计划分物理类、历史类进行编制;艺术类不分物理类、历史类,统一按艺术类进行编制。
(3)一所院校可设置一个或多个院校专业组,每个院校专业组内可包含一个或多个专业(类)。同一招生院校,选考科目要求不同的专业不能设在同一个院校专业组内招生,选考科目要求相同的专业可以设在同一个院校专业组内招生,也可以根据特征条件(性别、成绩要求、计划性质和招生类别等)不同分别设在不同的院校专业组内招生。
11.我省采用什么方式填报高考志愿
答:我省高考志愿填报(含征集志愿)全部实行网上填报志愿方式,不填写纸介质志愿表。考生须在规定时间内登录“黑龙江省招生考试信息港”网站填报志愿。如考生因错报、漏报等原因造成的后果,由考生本人承担。
12.我省高考志愿的结构是如何设置的
答:2024年我省高考志愿设批次、院校、专业组和专业(含是否服从专业调剂选项)四级结构。其中,专业组是志愿填报的基本单位,一个专业组就是一个志愿。一所院校可设置一个或多个专业组,每个专业组内可包含数量不等的专业(类)。考生网上填报志愿时,首先要选择报考的招生批次,其次在批次内选择报考的院校,在选报的院校下填报符合再选科目要求及特征条件要求的专业组,最后填报所选专业组下所包含的专业(类)和是否服从专业调剂选项。即一个志愿包括批次、院校、专业组、专业和是否服从专业调剂选项等内容。
志愿结构示例:
图片
13.考生志愿填报时应注意哪些事项?
答:考生志愿填报时,要认真学习我省招生政策,认真阅读有关高校招生章程、各专业选科要求、报考限制条件和招生计划等。根据自己的成绩、选科情况、体检结果等,慎重填报,并对所填报志愿的真实性和准确性承担责任。考生必须本人填报志愿,不得委托他人代报,且不得放弃本人所报志愿。因考生本人疏漏或失误造成的后果,由考生本人承担。
14.院校专业组的投档录取方式有何优势?
答:实行“院校专业组”投档录取方式,招生院校会将本校招生的专业根据教学培养、学科建设等需要进行分组,一个院校被分成多个院校专业组进行招生。这样做,优势有:一是能提高考生志愿满意度。考生根据自己所选的选择性考试科目填报相应的专业组志愿,专业组内可能是一个专业,也可能是多个专业。考生按专业组投档后,符合条件的,可在已投档的专业组内进行专业录取或调剂,不会被调剂到其他专业组的专业。这样就提升了考生的兴趣志向与所录专业的契合度,真正做到了“学其所好、录其所长”。二是符合高校选拔和培养人才的要求。高校根据专业人才培养对学生学科专业基础的要求以及学校自身办学的需要,设置选择性考试科目要求。按院校专业组投档录取,能提高考生选考科目与高校招生专业选考要求的匹配度,使学校招录到有相应学科特长和兴趣的考生,有利于进校后人才培养和学校自身发展。三是能够引领基础教育健康发展。促使高中学校关注学生学习过程中的兴趣特长和专业志向,更多关注学生的综合素质发展,促进学生的个性特长发展。
15.志愿填报时,考生的选考科目应如何对应院校专业组选科要求?
答 : 一是符合首选科目(历史或物理)的要求。历史科目类下的院校专业组及专业(类),只有首选科目为历史的考生才能填报;物理科目类下的院校专业组及专业(类),只有首选科目为物理的考生才能填报;二是符合再选科目要求。(1)不提再选科目要求的,符合首选科目要求的考生均可填报;(2)提出1门再选科目要求的,考生必须选考该科目方可填报。如某院校专业组对化学科目提出要求,符合首选科目要求且再选科目选考化学的考生才能填报;(3)提出2门再选科目要求的,考生须同时选考这2门再选科目方可填报。如某院校专业组对化学和生物学科目提出要求,符合首选科目要求且再选科目同时选考化学和生物学科目的考生才能填报。
16.普通高校招生录取体制和录取原则分别是什么?录取方式较改革前有什么变化?
答:普通高校招生录取工作是在教育部、省招委会的全面领导下,坚持“公平、公正、公开”的录取原则,实行“院校负责、招办监督”的录取体制,由省招生考试院统一组织实施。
省招生考试院负责根据考生所报志愿和招生计划等情况,按照投档规则向院校投放考生电子档案,并监督院校执行国家招生政策和招生计划等情况,防止、纠正院校违反国家招生政策和有关规定的行为。
院校根据其预先公布的招生章程中确定的录取规则,对进档考生择优分配专业和录取,并负责对未录取考生的解释及遗留问题的处理。
2024年,我省普通高校招生依据全国统一高考和高中学业水平考试成绩,参考综合素质评价实施录取。普通类和体育类按历史类、物理类分别编制招生计划,分类划线,分别投档和录取。艺术类不区分历史类、物理类,统一按艺术类编制招生计划,统一划线,统一进行投档和录取。填报志愿采取“院校专业组”方式,一个院校专业组为一个志愿单位,每个院校专业组志愿下设6个专业志愿和是否服从专业调剂选项。投档模式主要实行平行志愿投档模式,只有部分特殊类型招生的院校专业实行传统梯度志愿投档模式。
相比,主要变化为:
(1)由投档到院校变为投档到院校专业组。改革前,以院校为投档单位,一个院校就是一个志愿,每个志愿下设6个专业志愿和是否服从专业调剂选项;改革后,以院校专业组为投档单位,一个院校专业组就是一个志愿,每个志愿下设6个专业志愿和是否服从专业调剂选项。
(2)专业服从范围不同。改革前,专业服从调剂志愿可在招生院校未录满专业中进行调剂;改革后,只能在同一个院校专业组内未录满专业中进行专业调剂。
17.综合素质评价在高校招生录取中有何作用?
答:综合素质评价是高校招生录取的重要参考。高校根据学校办学特色和人才培养要求,制定科学规范的高中学生综合素质评价使用办法,并提前向社会公布,评价结果作为招生录取的重要参考。
18.2024年我省高考录取各批次及志愿数量是如何设置的?各批次采取哪种投档模式?
2024年,我省全面加强招生批次合并,将原普通本科一批(A段、B段)和普通本科二批(A段、B段)合并为普通本科批,将艺术类本科提前批A段和艺术类本科提前批B段合并为艺术类本科提前批,将艺术类高职(专科)批A段和艺术类高职(专科)批B段合并为艺术类高职(专科)批,其他批次保持不变。通过批次调整优化,最大化实现批次设置的科学性和规范性。同时,进一步扩大平行志愿范围,除军队院校、招收飞行员院校、经批准的艺术类本科校考专业和不分省招生的专业、特殊类型招生、综合评价录取及有特殊要求的院校实行梯度志愿外,全部实行平行志愿。
志愿数量设置是根据每个批次投档模式和招生院校数量等不同分别设置1—40个不等的院校专业组志愿,每个院校专业组志愿下设6个专业志愿和是否服从专业调剂选项。
具体情况如下:
1.普通类。设4个大批次:本科提前批、本科批、高职(专科)提前批、高职(专科)批。
(1)普通类本科提前批(设6个录取小批次并按排列顺序依次录取)。
①招收飞行学员院校(实行梯度志愿,设1个空飞院校专业组志愿、1个海飞院校专业组志愿和1个民航院校专业组志愿);
②综合评价录取及特殊要求院校(实行梯度志愿,设1个院校专业组志愿):北京电子科技学院、新疆警察学院、北京外国语大学、深圳北理莫斯科大学、昆山杜克大学和上海纽约大学等录取的院校专业;
③军队院校(实行梯度志愿,设2个院校专业组志愿);
④提前录取普通院校(实行平行志愿,设20个院校专业组志愿):公安司法院校、香港中文大学、香港城市大学、航海类专业、国家公费师范生、国家优师专项、地方公费师范生、国家免费医学生以及教育部批准的院校专业;
⑤省内公安院校(实行平行志愿,设5个院校专业组志愿):黑龙江公安警官职业学院;
⑥国家专项计划(实行平行志愿,设10个院校专业组志愿);
(2)普通类本科批(设2个录取小批次并按排列顺序依次录取
①特殊类型招生(实行梯度志愿,设1个院校专业组志愿):高水平运动队、高校专项计划等特殊类型招生的院校专业;
②普通本科批(实行平行志愿,设40个院校专业组志愿):普通本科院校招生的本科专业(含普通本科院校、少数民族预科班、民族班、中外合作办学、八省区对等协作计划、定向招生、地方专项计划、边防军人子女预科班等);
(3)普通类高职(专科)提前批(设2个小批次并按排列顺序依次录取
①普通类高职(专科)提前批A段(实行平行志愿,设10个院校专业组志愿):高本贯通培养、航海类、国家免费医学生和公安司法等招生类型的院校专业;
②普通类高职(专科)提前批B段(实行梯度志愿,设1个院校专业组志愿):需要体检、面试等要求的院校专业;
(4)普通类高职(专科)批(实行平行志愿,设40个院校专业组志愿):除普通类高职(专科)提前批所列的高职(专科)专业外,其他普通类高职(专科)专业。
2.艺术类(设3个录取批次并按排列顺序依次录取)
(1)艺术类本科提前批(实行梯度志愿,设1个院校专业组志愿):经批准的艺术类本科校考专业和不分省招生的专业
(2)艺术类本科批(实行平行志愿,设30个院校专业组志愿):使用我省艺术类专业课省级统考成绩进行录取的艺术类本科专业;
(3)艺术类高职(专科)批(实行平行志愿,设20个院校专业组志愿)。
3.体育类(设2个录取批次并按排列顺序依次录取)
(1)体育类本科批(实行平行志愿,设30个院校专业组志愿)。
(2)体育类高职(专科)批(实行平行志愿,设20个院校专业组志愿)。
19.艺术类、体育类考生在志愿填报时是否可以兼报普通类专业?
答:艺体类考生可以兼报普通类专业,普通类考生不能兼报艺体类专业,艺术类和体育类专业之间不能兼报。
20.我省艺术类招生是否区分历史类、物理类分别投档录取?
答:2024年起,我省在艺术类本科提前批投档时,实行校考的高校艺术类专业,在考生高考文化课成绩达到我省普通类(物理类或历史类)本科批次录取控制分数线、省级统考成绩合格且达到学校划定的成绩要求基础上,依据考生志愿、校考成绩择优录取;实行省际联考的高校戏曲类专业使用省际联考成绩作为考生专业考试成绩,在考生高考文化课成绩达到我省艺术类本科文化课录取控制分数线基础上,依据考生志愿和省际联考成绩择优录取;其他艺术类招生批次不区分物理类和历史类,统一按艺术类进行投档和录取。
21.如何理解院校专业组平行志愿投档规则?
答:院校专业组平行志愿投档是以院校专业组为投档单位,按照“分数优先、遵循志愿”的原则进行投档。平行志愿投档时,按考生投档分从高分到低分排序,依次检索考生所填院校专业组志愿。只要考生所填报的院校专业组志愿中被检索到符合投档条件的院校专业组,即向该院校专业组投档。投档后,其他所填报的院校专业组无效。如没有出现符合投档条件的院校专业组,则不能投档。上述过程完成后,无论档案是否投出,均视为该考生已享受了本批次平行志愿投档机会。如果考生档案投档到某院校专业组后,因故被退档,将不再补投到该批次平行志愿的其他院校专业组,只能参加该批次后续的征集志愿。
22.如何理解“院校专业组”的志愿模式?
答:2023年以前,我省是按照院校加专业的志愿模式,就是同一院校包含所有专业(类),考生在志愿填报时,只能填报该院校所列的6个专业志愿和是否服从专业调剂选项。2024年,高校将根据所列招生专业的选考科目要求及特征条件不同,将招生的专业分列到1个或多个院校专业组中,即每个专业组内设置多个专业(类),考生在志愿填报时,只能填报该院校专业组内的6个专业(类)志愿和是否服从专业调剂选项。
23.艺术类、体育类考生的综合分是如何构成的?
答:(1)艺术类投档综合分计算公式如下:
美术与设计类综合分=(专业课成绩÷专业课满分×750)× 40%+文化课成绩(含照顾政策分)×60%。
书法类综合分=(专业课成绩÷专业课满分×750)×40%+文化课成绩(含照顾政策分)×60%。
音乐类综合分=(专业课成绩÷专业课满分×750)×50%+文化课成绩(含照顾政策分)×50%。
舞蹈类综合分=(专业课成绩÷专业课满分×750)×50%+文化课成绩(含照顾政策分)×50%。
表(导)演类综合分=(专业课成绩÷专业课满分×750)× 50%+文化课成绩(含照顾政策分)×50%。
播音与主持类综合分=专业课成绩×20%+文化课成绩(含照顾政策分)×80%。
(2)体育类投档综合分计算公式如下:
体育类综合分=(术科成绩÷术科满分×750)×60%+文化课成绩(含照顾政策分)×40%
24.平行志愿投档时,考生成绩相同时如何确定排序?
答:(1)普通类:当遇到多名考生高考文化总成绩(含照顾政策分)相同时,依次按语文数学两门成绩之和、语文数学两门中的单科最高成绩、外语单科成绩、首选科目单科成绩、再选科目单科最高成绩、再选科目单科次高成绩由高到低排序投档;如仍相同,比较考生志愿顺序,顺序在前者优先投档,志愿顺序相同则全部投档,是否录取由高校决定。
(2)艺术类、体育类:当遇到多名考生综合成绩相同时,依次按高考文化总成绩(含照顾政策分)、语文数学两门成绩之和、语文数学两门中的单科最高成绩、外语单科成绩、首选科目单科成绩、再选科目单科最高成绩、再选科目单科次高成绩由高到低排序投档;如仍相同,比较考生志愿顺序,顺序在前者优先投档,志愿顺序相同则全部投档,是否录取由高校决定。
25.体育类术科全省统一考试包括哪些项目?各项目成绩及总成绩满分是多少?
答:体育类考生须参加2024年5月初我省组织的体育类术科全省统一考试。考试项目共设四项,分别为100米跑、原地掷铅球、二级蛙跳和800米跑,每项成绩满分为25分,总成绩满分为100分。评分标准已于2023年12月5日在“黑龙江省招生考试院官网”(https://www.hljea.org.cn/)和“黑龙江省招生考试信息港”(https://www.lzk.hl.cn)网站上对外公布。体育类术科全省统一考试具体时间、地点及考试要求等另行通知。


登录高考直通车APP
查看完整试题答案
好的
查看完整试题
特别声明:
1. 本站注明稿件来源为其他媒体的文/图等稿件均为转载稿,本站转载出于非商业性的教育和科研之目的,并不意味着赞同其观点或证实其内容的真实性。如转载稿涉及版权等问题,请作者在两周内速来电或来函联系,本站根据实际情况会进行下架处理。
2. 任何媒体、网站或个人未经本网协议授权不得转载、链接、转贴或以其他方式复制发表,违者本站将依法追究责任。
举报理由选择
确定
高考直通车官网

哇哦!快加入高考直通车APP,发现更多精彩内容,与学霸一起交流学习吧!