2024 届广州市高中毕业班综合测试(一)语文试题评分细则写作部分评分补充细则及样例
23.阅读下面的材料,根据要求写作。(60 分)
最好的相处之道,是站在对方的立场考虑问题;也有人说,相处时,守住自己的立场才最重要。
这引发了你怎样的联想和思考?请明确立场观点,写一篇文章。
要求:选准角度,确定立意,明确文体,自拟标题;不要套作,不得抄袭;不得泄露个人信息;不少于 800 字。
【题目解析】
2024 届广州市高中毕业班综合测试(一)语文学科写作题采用近年全国高考一直使用
的新材料作文题型,是一道思辨性作文题。
本作文题由三部分组成,分别为材料、引导语和写作要求。
一、对材料的理解
试题材料提供了“相处之道”这一写作方向,引导考生思考什么才是最好的“相处之道”。
“相处”,《现代汉语词典》(第七版)释意为“彼此生活在一起;彼此接触来往,互相对待”。这里的“彼此”(“相”),既可以指作为个体的“人”,也可以指作为群体的“家庭”“集体”“团队”“国家”“民族”等;“处”,作动词,突出双方“交往”的特征。“道”,在这里可理解为“方法”;又因“道”有“道理、规律”之意,故而,这一“方法”便具有根本性、原则性的属性,可理解为“准则”。因此,“相处之道”,即(人与人、家庭与家庭、国家与国家等之间)交往的根本方法,或根本准则。
围绕“相处之道”的写作方向,材料表达了两层意思。
第一层:最好的相处之道,是站在对方的立场考虑问题。
这句话提供了最好的“相处之道”的一种方案,即“站在对方的立场考虑问题”。
所谓“立场”,《现代汉语词典》(第七版)解释是“指认识和处理问题时所处的地位和所抱的态度”。“站在对方的立场考虑问题”,即以对方所处的地位和所抱的态度去认识和处理彼此来往、相互接触时出现的问题,即通常所说的换位思考(将心比心),心理学上称之为“心理位置互换”,亦即是儒家所倡导的“己所不欲,勿施于人”的恕道。通过位置互换,设身处地地去了解对方的处境、行为、情绪及其背后的逻辑等,以更加客观、理性地理解对方,与对方产生情感的共鸣,从而达到更好地沟通与解决问题的目的,有利于营造和谐的交往关系。
当然,站在对方的立场上考虑问题,并不意味着要完全接受对方的观点或者放弃自己的立场,而是基于理解基础上的求同存异、和而不同。这一相处之道可以帮助我们在交往中更全面地把握现象的本质、更客观地理解问题的实质、更理性地思考解决问题的途径。
第二层:也有人说,相处时,守住自己的立场才最重要。
这句话提供了最好的“相处之道”的另一种方案,即“守住自己的立场”。
所谓“守住自己的立场”,即坚持自己认识和处理问题时所处的地位和所持的态度。在相处过程中,双方彼此尊重对方的立场固然是一种姿态,但坚守自己的立场,也不可或缺。
这样的“相处之道”强调了“自己的立场”在交往中的重要性,彰显了生命个体的主体意识,强调了生命个体的自我价值。
“守住自己的立场”既可以是相处的出发点,也可能是最终的目的。从这个意义上讲,也就是要守住自己交往的原则、底线。比如人与人的交往,要守住尊重的底线;政府与人民的交往,要坚守人民至上的原则;国与国之间的交往,要坚守国家利益至上的立场,要坚守文化自信的立场等。
本则写作材料,围绕“相处之道”展开,引导考生思考“站在对方的立场考虑问题”“守住自己的立场”两种不同的相处之道,言简意丰,启迪思维。
纵观近些年,习近平总书记多次论及国与国之间的相处之道。2019 年 3 月 25 日,习近平主席在巴黎同法国总统马克龙会谈时强调:“要继续探索独立自主、相互理解、高瞻远瞩、互利共赢的大国相处之道。”2019 年 6 月 15 日习近平主席在亚洲相互协作与信任措施会议第五次峰会上讲道:“相互尊重和信任是国与国应有的相处之道。我们要遵循联合国宪章确
立的宗旨和原则,尊重各国主权、独立、领土完整,尊重各国自主选择的政治制度和发展道路。要摒弃零和博弈、保护主义,加强政策沟通,增进政治互信,逐步扩大战略共识。”2021年 11 月 16 日,习近平在北京同美国总统拜登举行视频会议时指出:“尊重彼此社会制度和发展道路,尊重对方核心利益和重大关切,尊重各自发展权利,平等相待,管控分歧,求同
存异。”2023 年 11 月 15 日习近平主席同美国总统拜登举行中美元首会晤时强调:“只要双方坚持相互尊重、和平共处、合作共赢,完全可以超越分歧,找到两个大国正确相处之道。”
习近平主席所提出的“相互尊重”“相互理解”“和平共处”“合作共赢”等理念,充分体现了相处之道的内涵。
考生在考场上面对这道写作题,既可以从自身出发、从身边现象出发表明立场与观点,也可以站在社会、国家、民族的高度去发表意见与想法。
二、对引导语的理解
本作文题第二段为引导语,规定了写作任务。
1.这引发了你怎样的联想和思考?
①“这”,是指材料中围绕“什么才是最好的相处之道”而提出的两种不同的观点,即有人认为“最好的相处之道,是站在对方的立场考虑问题”,也有人认为“相处时,守住自己的立场才是最重要的”。“这”所指的材料内涵及外延是写作的起点。
②“引发”意思是“引起,触发,启发”;“联想”是“因一事物而想起与之有关事物的思想活动”;“思考”指由此及彼的抽象延伸。“这引发了你怎样的联想和思考”,即材料中就“相处之道”的两种不同观点,引起了考生怎样的联想,触发了考生怎样的思考,给考生带来了怎样的启发。这是写作的重点/主体。
2.请明确立场观点,写一篇文章。
①“请明确立场观点”:针对材料中“什么才是最好的相处之道”的问题,考生要摆明立场,明确观点。考生可以认同“最好的相处之道,是站在对方的立场考虑问题”的观点;也可以支持“相处时,守住自己的立场才是最重要的”的观点;还可以围绕“人与人的相处之道”辩证指出,最好的相处之道要根据不同的对象和具体的情境进行理性、周详的分析和判断。值得注意的是:
其一,写作要有针对性,要紧紧围绕材料,就“人与人的相处之道”的写作方向,展开考生对“什么是最好的相处之道”的两种不同观点的理解、思考以及恰当的联想;而不能把文章写成关于“人与人的相处之道”“站在对方立场”“守住自己立场”等话题作文。
其二,作文要求考生思考“什么才是最好的相处之道”。“最”字,引导考生能够就两种不同的观点作出判断、比较、分析、判断,考查考生的思维能力。
②“写一篇文章”,没有文体方面的限制,可以自由地选择一种文体进行写作。
三、对写作要求的理解
写作要求,主要有三个方面。一是对写作立意角度选择、标题拟写两个方面提出要求;二是对考生写作态度提出要求,明确反对套作,禁止抄袭和保证公平;三是对字数提出要求,不少于 800 字。
关于“选准角度,确定立意”,即要求选准立意角度,指文章写作的切入角度准确,立意精当。从立意看,既有单一角度立意,也有整体角度立意,均在符合题意的范围;但从思维品质看,有高下之分。
【评分细则】
一、关于是否符合题意
(一)符合题意
要符合以下三点:
1.以“人与人的相处之道”为写作前提。即人与人彼此接触往来,互相对待的方法、道理。能从材料出发,由此及彼、由表及里地就“人与人的相处之道”展开讨论。
2.区分“站在对方的立场考虑问题”和“守住自己的立场”,体现对“最好”“最重要”的联想和思考。
3.能“明确立场观点”,明确认识和处理问题时所处的地位,态度、观点明确。
(二)基本符合题意
1.只在文章开头、结尾提及材料,文章主体部分内容游离于材料内容之外。
2.完全没有提及材料,但论述的主要内容与材料有隐含的一点关系。
3.没有以“人与人的相处之道”为写作前提。
(三)偏离题意
1.完全抛开材料,另起炉灶。
2.思想不健康,违背社会主义核心价值观,违背公序良俗,没有底线思维。
3.残卷,没有完成写作任务。
4.沾边,套作。
5.抄袭。
6.白卷。
二、关于整体评价
文风端正:讲短话,讲实话,讲新话。文风不正的表现,如添枝加叶、短话长说;此外,
“假”也是文风不正的表现,如夸大其词、言不由衷、堆砌词藻、词语生涩等。
文脉清晰:文章线索清晰,一以贯之,一目了然,不生枝蔓;符合文体要求。
文气顺畅:起承转合,行当于行,止当于止,珠圆玉润。
三、关于分项分等评分标准
【样卷与评语】
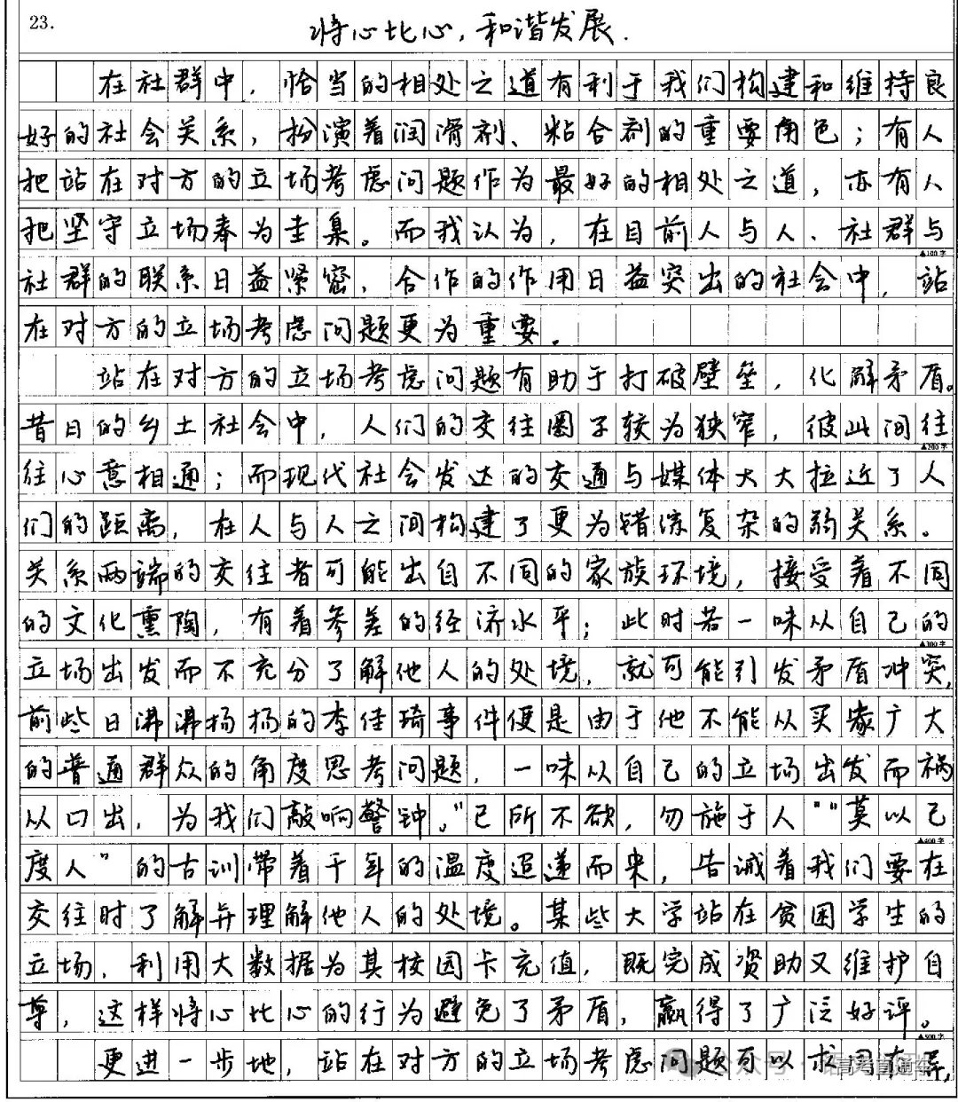
1 号文
评语:
本文是论述类一等文。
文章标题切合材料内涵,开头从阐释“相处之道”入手,明确提出观点。
第二段先从传统社会与当代社会对比的角度,指出了人与人关系变迁这一事实,并以此为前提分析了当代社会“站在对方的立场上考虑问题”的必要性。再举出李佳琦忽略买家立场和大学考虑学生立场两个例子,正反论证,探究“站在对方的立场上考虑问题”的意义。
值得注意的是,整段论述始终在当代社会这一语境中展开。
第三段进一步指出,“站在对方的立场上考虑问题”可以“求同存异”,从而“构建关系”,“开展合作”。依个体到社群再到国家的顺序,论述了“站在对方的立场上考虑问题”在交往相处问题上的价值。令人赞赏的是,从服务型社会写到爆火的旅游城市再写到“求同存异”的外交策略,作者一直站在时代的情境下思考写作。
第四段辩证思考,先肯定了“坚守立场”的重要性,再强调“和平与发展”的时代“站在对方的立场上考虑问题”是“不同群体间广泛而持久合作的不二法门”。这是全文最关键的文段,有了前文的蓄力,这一段结合时代的阐释自然恰切,对立场的强调水到渠成。
结尾照应标题,回扣开头,收束全文,简洁有力。
作者视野开阔,格局高蹈,认识深刻,使得文章气度从容不迫,节奏不疾不徐,文字流畅优雅。文中有些长句表达的稍显勉强、造成语意不明,然白璧微瑕,不宜过苛。
发展等级打在深刻。
评分:20+19+20=59
2 号文
评语:
本文属论述类一等文。
文章开篇提出问题,明确写作者的立场观点,提出了人与人相处时“我们应坚定守好自己的立场,在此前提下积极理解他人”,旗帜鲜明。
第二段先退一步,指出“站在对方的立场考虑问题有其闪光点”,尤其是人与人的相处时;用“社会调解员”例从社会层面加以论证,有理有据。第三段紧承上段,笔锋一转,自然引出“最重要的应当是坚持自己的立场”,并阐述理由。
第四段围绕核心观点“坚定守好立场”展开论证。先指出“守住立场”即“确定了自己相处的原则”,接着阐述“有自己的原则”与“合理的判断”之间的关系,进而得出其能促进人与人之间“健康的相处”。所引“君子与小人”“孔子与七十二弟子”“王安石与司马光”与现代“金庸表明立场”等事例很好地辅助了论证。
第五段进一步指出并非在任何情境下都只能从自己的立场出发,相处之道应取“中庸之义”,引用康德名句作分析,提出“在坚定守好自己立场的前提下”,还“可以去尝试理解他人,充分尊重他人”。末段以青年人的身份发出呼告,收束有力。
全文立意准确、观点鲜明,能将自身的观点置于不同的情境中讨论;立场坚定且不失偏颇,论证有深度且富有思辨;论据丰富。
不足之处在于,在论证“坚守立场”与“站在对方的立场考虑”的选择时稍显生硬;局部文脉略显拖沓,阐述观点时个别用词不够精准自然。
发展等级打在“深刻”。
评分:19+19+19=57
3 号文
评语:
本文属论述类一等文。
文章标题对举工整,切合材料与题意,落实写作任务比较到位。开篇设置情境,巧妙勾连材料;两个问句既有互动性又引人思索,自然引出观点。中心观点表述清晰、严谨,立场明确。
第二段先设置“与人相处产生矛盾摩擦”这一前提,指出在生活中常见的摩擦与纠纷中,多站在对方的立场考虑可以促成彼此理解,进而达成和解;接着,详细论述冲突产生的原因与解决方法。本段论证较有针对性,补充了材料中的逻辑链条——什么情况或前提下,要求我们注重换位思考、多站在对方的立场。
第三段与上段构成递进关系,论证站在对方立场考虑问题之于良好社会风气的重要性。以“豆花咸甜之争”作为素材,强调换位思考的社会性意义,文气顺畅。
第四段笔锋一转,反向思考,体现思考的辩证性、严谨度,可贵之处在于在思辨后能回归自己的观点,强调站在对方立场考虑问题仍是更加重要的。
文章审题精准,观点清晰;论证思路清晰,关键处不乏思辩;语言自然流畅。
不足之处在于,“挖姜男孩”的素材运用不够具体,影响论证的说服力;行文起承转合平稳,论述的张力稍弱。
发展等级打在“深刻”。
评分:18+19+18=55
4 号文
评语:
本文属论述类一等文。
文章开篇以弈棋之道为喻,指出与人相处之道也有两种;在此基础上顺势提出自己的观点:突围自我时,要坚守自己立场;集体协作时,要考虑对方。尽管观点涵盖两方立场,但因申明了具体前提条件,观点还是很具体明确的。
第二、第三两段为分论部分。第二段重点阐释考虑对方立场的价值及意义;议论时能结合毛泽东和张桂梅的例子,分析到位,扣住“合作”这一情景,论证较为充分。第三段重点讨论坚守自我立场的价值及意义;所选例子是李白和陈祥榕,事例较上段简化,但例后分析较为深入具体,突出了实现自我权利的具体情景。
第四段小结,指出要辩证看待相处之道的立场选择;第五段再次重申两种立场缺一不可。
文章结构完整,能全面分析相处之道的两种立场及意义;事例充分,语言流畅,论证比较到位。但全文平均用力,没有凸显“最好”或“最重要”等核心要素,议论的深刻及扣题等方面有待加强。
发展等级打在“丰富”。
评分:17+18+17=52
5 号文
评语:
本文属论述类一等文。
文章开篇回应了材料的核心问题,站在新时代青少年的立场,明确提出了“站在对方的角度考虑问题更为善”的观点。
第二段紧承开头对“考虑对方立场”和“守住自己立场”进行权衡比较,进一步阐述理由,指出“考虑对方立场”既能更好了解对方忧虑和需求,还能促进团队协作,共同发展。
第三、四、五段分别从个人、社会、国家三个层面阐述“站在对方角度考虑问题”的意义。第三段立足个人层面,以夫妻相处、长晚辈相处为例,运用假设论证阐明“只坚守自己立场”的弊端及“为对方着想”的意义。第四段立足社会层面,以盲道设置为例指出“站在对方立场”有利于构建和谐美满社会。第五段立足国家层面,将我国“一带一路”政策与西方霸权主义相对比,指出“站在对方角度考虑”是合作的要义。
第六段总结全文,重申观点,提出“站在对方的立场考虑问题”是构建长期发展关系的第一要义。
这篇文章观点立场鲜明,能兼顾“站在对方立场考虑问题”和“守住自己的立场”两个方面,有权衡选择和内容侧重,思路清晰,论理有序,阐释比较充分。能运用对比论证、假设论证、举例论证等多种论证方法,语言流畅。但文章的三个分论点的详略处理不够到位,“设置盲道”一例与“相处之道”不够贴合,从个人到社会、国家的层进论证结构相对老套,在现实针对性与思辨色彩上还显不足。第四段末尾出现一个错别字,“视会”应为“社会”。
发展等级打在“丰富”。
评分:16+17+17=50-1=49
6 号文
评语:
本文属论述类一等文。
文章开篇先抛出问题再提出观点,强调两种相处之道各自适用的不同情境:若为日常小事则站对方立场化解矛盾,若为人生观世界观则守自身立场坚守正道,具有明确情境性。
三、四两段为分论一,从看清问题、化解矛盾的角度论证站在对方立场对解决日常行为中的摩擦上的积极作用。先对站在对方立场的内涵进行解读,再罗列日常生活中交往行为的摩擦背后的苦衷和目的,论证站在他人立场才能看到真相、化解矛盾、收获和谐人际关系。
五、六两段为分论二,从守住正道、不入歧途的角度论证站在自己立场对解决思想上的是非冲突的重要意义。通过苏武、屈原、鲁迅和钱学森等例子,论证当他人立场与正道相违背时应当坚守自身的正确立场。
第七段将眼光投向当今时代,进行总结升华,进一步论证根据不同情境做出不同的立场选择的重要性。结尾再次重申观点,提出呼吁。
文章围绕“什么才是最好的相处之道”这一核心问题,从“小事”和“大道”两个情境指出两种不同的相处之道适用的具体情境;结构清晰,表达简练。不足之处是“小事”“大道”的情境性稍弱,析理不够深刻;文至末篇气渐衰,倒数第二段升华不足;“是非”误写成“事非”。总体而言,仍不失为一篇有一定思辨性的优秀考场作文。
发展等级打在“深刻”。
评分:16+17+16=49-1=48
7 号文
评语:
本文属论述类二等文。
文章开头通过引用论语和诗句,提出中心观点:我们应平和理智地在他人立场思考,同时冷静坚定地守好自己的立场。此观点未明确回答材料中“什么才是最好的相处之道”的问题,立场不明确。
第二段先提出分论点“站在他人的立场考虑问题,意味着主动理解对方处境的人文关怀”;然后对此观点进行阐释,分析过程较完整,但未扣住“人文关怀”;接着列举郑和下西洋、和平共处五项原则和金砖国家等三个论据,叙例时未能很好体现“站在他人的立场考虑问题”,但析例时能扣回“站在他人的立场考虑问题,有助于谋求共同利益的最大化”的观点。
第三段先提出分论点“守好自己的立场,意味着冷静判断所处处境”,然后联系信息时代的特点,强调坚守自身立场冷静观察局势的必要性,并运用一段排比句强调我们不应丧失自己的立场而成为“从众者”“功利主义者”“泄愤者”,句式整齐,富有气势,但忽略了材料中“人与人相处”这一具体情境。
第四段在前文基础上,进一步论述“站在他人的立场考虑问题”与“守好自己的立场”的关系,提出思考。
文章结构完整,语言流畅;最大的问题在于,论述过程中针对性弱,且未很好地完成引导语中“请明确立场观点”这一写作要求。
发展等级打在“较丰富”。
评分:15+16+16=47
8 号文
评语:
本文属论述类二等文。
开篇提出观点“与人相处,应先守住个人立场,再从对方的立场考虑问题”,表明本文论证的是“应该如何相处”,而不是对“最好的相处之道”做出自己的判断,立场不鲜明。
第二段提出“与人相处,要坚定守住自己的立场,充分表达自己的主观意见,切勿随波逐流”;第三段以我国外交代表拒绝签署《巴黎和约》为例,正面论述“守住自己立场”的意义。本段论证有理有据,条理清晰,但是分论点是“与人相处”,但论据选择的是“国与国之间的相处”,与论点不是很贴合。
第四段提出“与人相处,要站在对方的立场考虑问题,充分理解对方的心理需求和意愿”;第五段正反对比,论证了站在对方立场考虑问题的重要性。论据较丰富,但第三个论据依然存在不贴合的问题。
第六段强调在两者之间,要“寻找一个平衡点”,有权衡但立场不鲜明,还是没有做出比较。结尾段重申观点,强调“守住自己的立场”的意义,没有对比,依然没有明确的立场。
本文的主要问题在于没有明确立场与观点,仅就材料中的两个方面展开议论;思维较弱且论证单薄。
发展等级打在“较丰富”。
评分:15+15+15=45
9 号文
评语:
本文属议论类二等文。
文章开篇将人们个体差异和立场观点不同的现象进行简述,顺势提出中心论点“在相处之中,面对矛盾与冲突、差异与不同,站在对方的立场考虑问题是最好的相处之道”。
第二段指出“站在对方的立场考虑问题,有利于增进信任与关系”。以材料中“站在对方的立场考虑问题”为话题,谈对方因为感到自己的立场被尊重、被重视而产生了“舒服”“被理解”的快感,让相处更融洽,从而证明观点。再引用“空巢老人”得到关爱,子女用陪伴代替金钱以解决父母养老问题,再次强化分论点。
第三段提出“站在对方的立场考虑问题,有利于增进理解、完善认知”的分论点,并举出“女权”“女拳”之间的误解与正解,从女性解放的角度呼吁社会上需要相互理解、需要共情力、同理心,巧妙地论证了观点。作者将道理论证和举例论证相结合,叙议结合,娓娓道来,强调了秉持对方立场的重要性。
第四段指出“站在对方的立场考虑问题,也有助于社会和谐”,是对第三段分论点的进一步深化。本段融合了材料中“自身立场”带来的启示,反证了在矛盾和冲突中坚守对方立场,少一点暴戾和欺凌,多一些理解和共识的重要性。论证过程有张有弛,一气呵成。
文章结尾总结全文,以展望性的语言,从个人之间相处之道引申到国家间相处之道,鼓励国与国之间要理解差异、增进共识,以实现和谐发展、美美与共的社会理想。
这篇文章能围绕“站在对方的立场考虑问题”,从三个方面展开论证。不过,全文论据较为单薄、分论点二和分论点一之间有部分内容重复,个别论证略有偏差;主体段逻辑推进有些偏差,一定程度上削弱了论证效果。
发展等级打在“较丰富”。
评分:14+15+15=44
10 号文
评语:
本文属论述类二等文。
文章开篇从“如何与人相处”引入,段尾直接亮出自己的观点:“站在对方的立场考虑问题方是最好的相处之道”,观点明确。
第二段一开始就提出分论点“就人与人之间相处而言,站在对方的立场考虑问题可以很大程度上减少争端”;接着从举“差点赶不上公交的人辱骂公交司机”这一反例来分析司机面临的难处,接着再举生活中插队的例子,通过以上事例证明站在对方的立场考虑问题,可以减少争端。
第三段一开始就提出分论点“就人与自然相处而言,站在对方的立场考虑问题让地球变得更加美好”,列举了德清朱鹮从 7 只增加到过万只的例子,证明(农户)站在对方(朱鹮)的立场考虑问题,做出一定让步与付出,从而使地球更绿更美。
第四段联系到中华人民的优秀美德,为他人考虑,清除利己主义。结尾再一次回应中心观点:站在对方的立场考虑问题,扫除利己主义。
文章观点明确,符合题意,语言比较通顺;但没有提及“守住自己的立场”;文章的第一个分论点符合题意,举例也基本符合要求,但是第二个分论点有点偏离题意,且叙例之后也没有展开分析;第四段的联系现实不太契合中心;结尾只是重申观点,比较简单。
发展等级打在“较丰富”。
评分:13+15+14=42
11 号文
评语:
本文属论述类二等文。
文章开头能从材料出发,但没有提炼出鲜明的观点。第二、三段指出相处时既要站在对方立场,又要守住自己的立场。第四段从辩证的角度对两者进行分析论证,最后做出总结。
文章结构完整,语言较流畅。本文的最大问题在于,开头段落没有提出鲜明的观点,没有比较,没有体现出对“最”的联想和思考,对材料的理解有偏差;论证空洞乏力,语言冗余;书写潦草。
发展等级打在“较丰富”
评分:
13+12+12=37
12 号文
评语:
本文属论述类二等文。
文章第一段,考生表达的观点为“立场的选择,不能一概而论,而是根据情况而变化”,未能做到“明确立场观点”;在第二、三段,则分别论述了“站在对方的立场考虑问题”和“守住自己的立场”,对“最”字呼应不足。总之,立场不够明确。
第二段对“立场”的理解有误。作者结合“见贤思齐焉,见不贤而内自省也”,引申出“站在他人的立场考虑问题,你会发现不同的观点”。将“相处时应站在谁的立场”这一论题,偷换成“观察对方的优点,能更好地向对方学习”的论题。
第三段表述空洞,未能真正论及“在相处过程中,为何要坚守自己的立场”的原因、意义等。
第四段考生主张要“寻找他们之间的平衡并维持”,却又未能给出合理的情境去作有效论证,不能让人信服。
发展等级打在“较丰富”。
评分:11+12+12=35
13 号文
评语:
本文为论述类三等文。
本文开篇提出以“相处之道,应以自我立场为本,化他人立场为镜”观点,提及了材料,但主体段落论述问题太多。如第 2 段举了魏征的例子证明“以他人为镜”,虽然提及“立场”一词,但“立场”在此段中毫无存在的意义;第 3 段论证“国家立场为基”“自身立场的局限性妥协性”,论证观点混乱,完全脱离题意,与材料的关系似有若无;第 4 段似乎又回到了论证“以他人为镜”的角度。
总体来看,整篇文章的主体部分论述与材料关系非常微弱,且观点不清逻辑混乱,考生的审题、构思和写作能力有待提升。
发展等级打在“较丰富”。
评分:10+11+11=32


































