2026年春季高考已进入最后冲刺阶段。不同分数,竞争究竟有多大?
以去年学考为例,450分的总分,最高分达到436分——这意味着平均每科只能丢5分,每门都要接近145分。
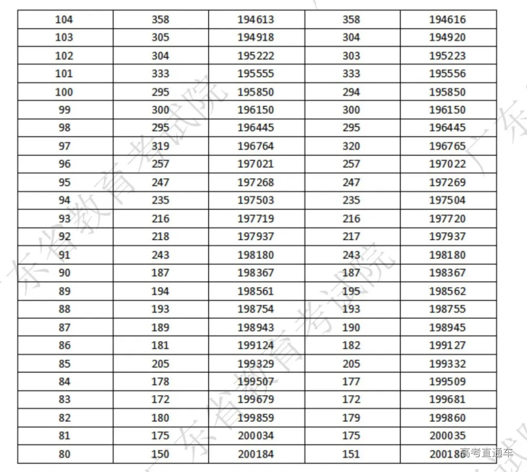
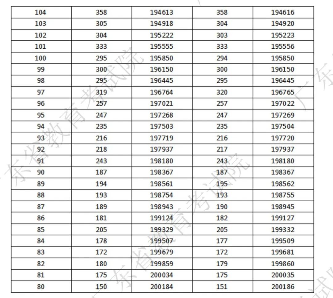
而去年学考省控线是190分,对应的全省最低排位是373103名,排位低于这个数,就失去了填志愿的资格。如果你现在分数还在200分左右,一定要警惕起来,最后几天抓紧回顾基础,争取再提几分。
了解自己到底排在哪。比如去年有考生考了290分,表上显示他排在20.7万名左右,和他同分的有2165人——这样你就能更清楚自己处在什么竞争段位。
参考往年高校录取的位次范围,合理设置“冲、稳、保”的志愿。假如你今年排在第9.9万名左右,就可以把去年录取位次在9-9.5万的学校作为“冲”,10-10.5万的作为“稳”,10.5-11万的作为“保”。当然,如果分数优势不大,建议保守一点,多选几所保底学校,避免滑档。
从近年情况看,各分数段竞争格局正在发生一些变化。高分段方面,2025年400分以上考生人数有所减少,一定程度上反映了试题难度或考生整体发挥的波动。
与此同时,350-400分区间人数也比往年降低,竞争压力相对缓和,这个分数段的同学在填报时可以更积极一些。 值得注意的是,2025年考生在300-349分区间明显聚集,人数同比大幅增加,导致报考公办院校的竞争变得异常激烈,常常一分之差就能拉开几千人的位次。回顾2024年,360-369分曾是最集中的分段,超过了2.5万人,而2025年同分段减少了超过7000人。
另外,300分以下的考生群体依然最为庞大,尤其是250-300分之间的同学。尽管仍有部分非珠三角地区的公办院校可选,但录取时容易受到上一分数段考生保底志愿的冲击,因此考上公办院校依然面临不小的挑战。
据统计,2025年3+证书报考人数超20.3万。随着考生规模扩大,同分段的竞争也更加激烈,有时一分之差,排名可能落后一千名以上。从分数分布来看,达到350分以上的有4832人,300分以上的共有20959人,而超过省控线120分的考生则达到18.6万余人。
















