根据教育部学生司及广东省教育厅有关做好2025年重点高校招生专项计划工作要求,现公示广东省2025年重点高校招生专项计划资格审核通过考生名单,公示期10天。
个人或单位如对公示名单有异议,可向地级市教育局、招生办或省招生办反映,反映意见须内容真实且具体明确,属个人反映的需签署真实姓名、联系电话,属单位反映的需加盖公章、注明联系方式,否则不予受理。省招生办联系电话:020-62833628。
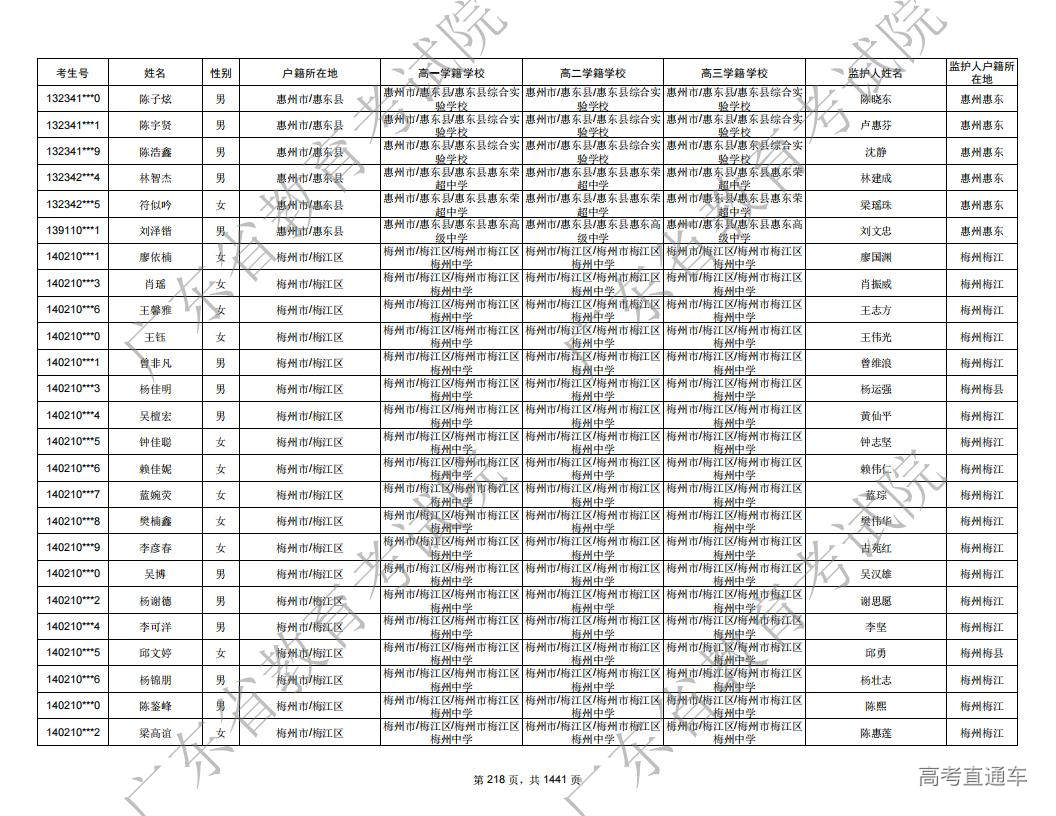
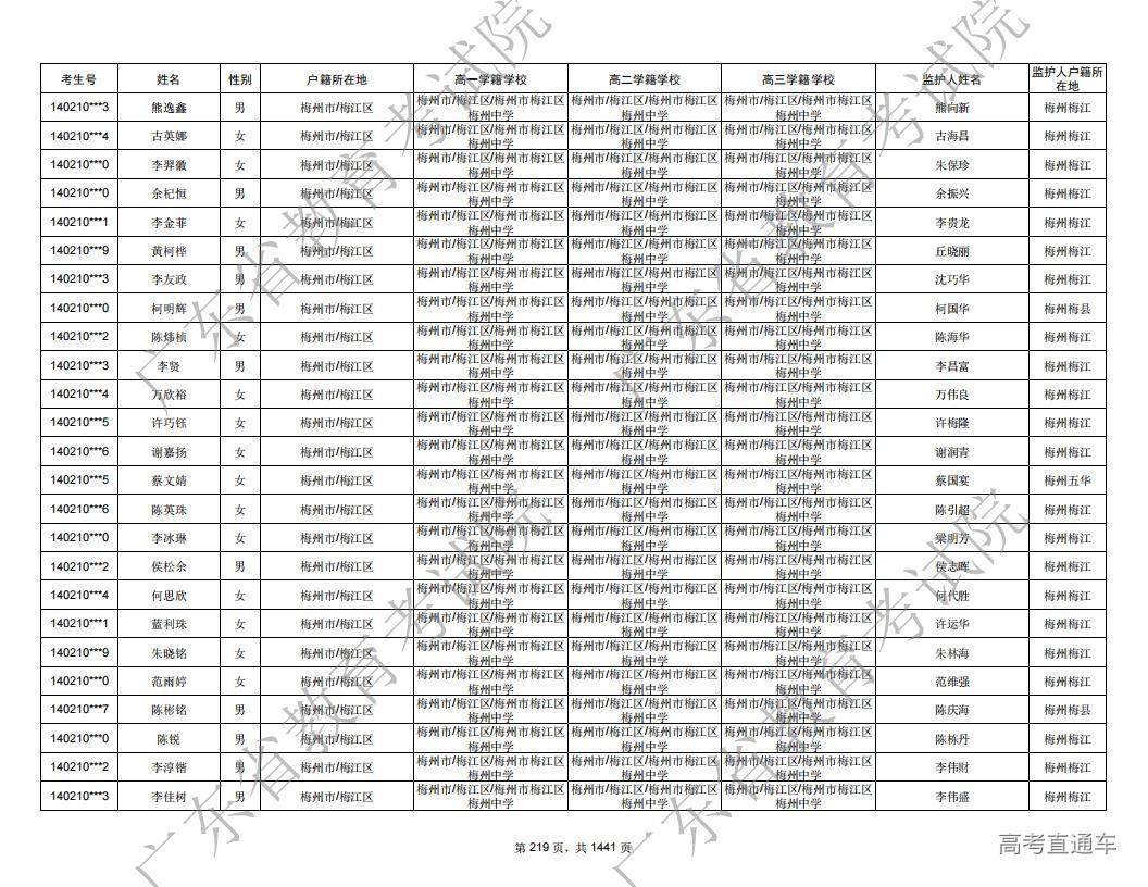
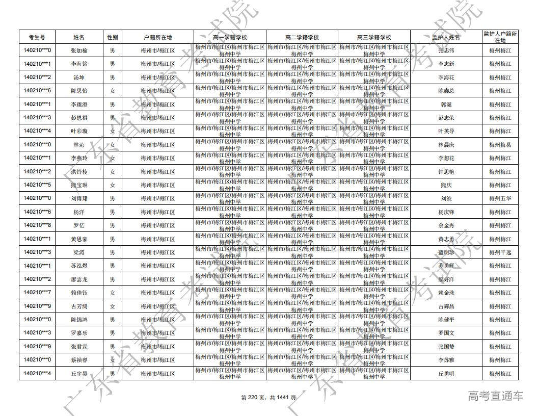
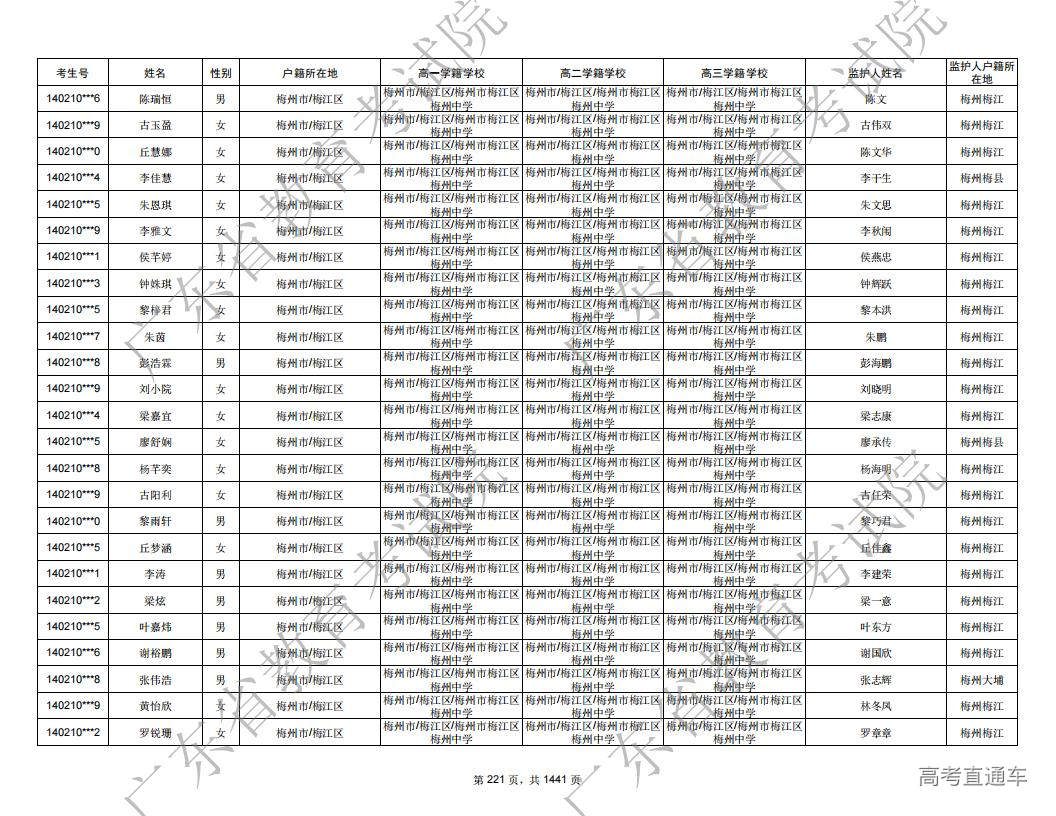
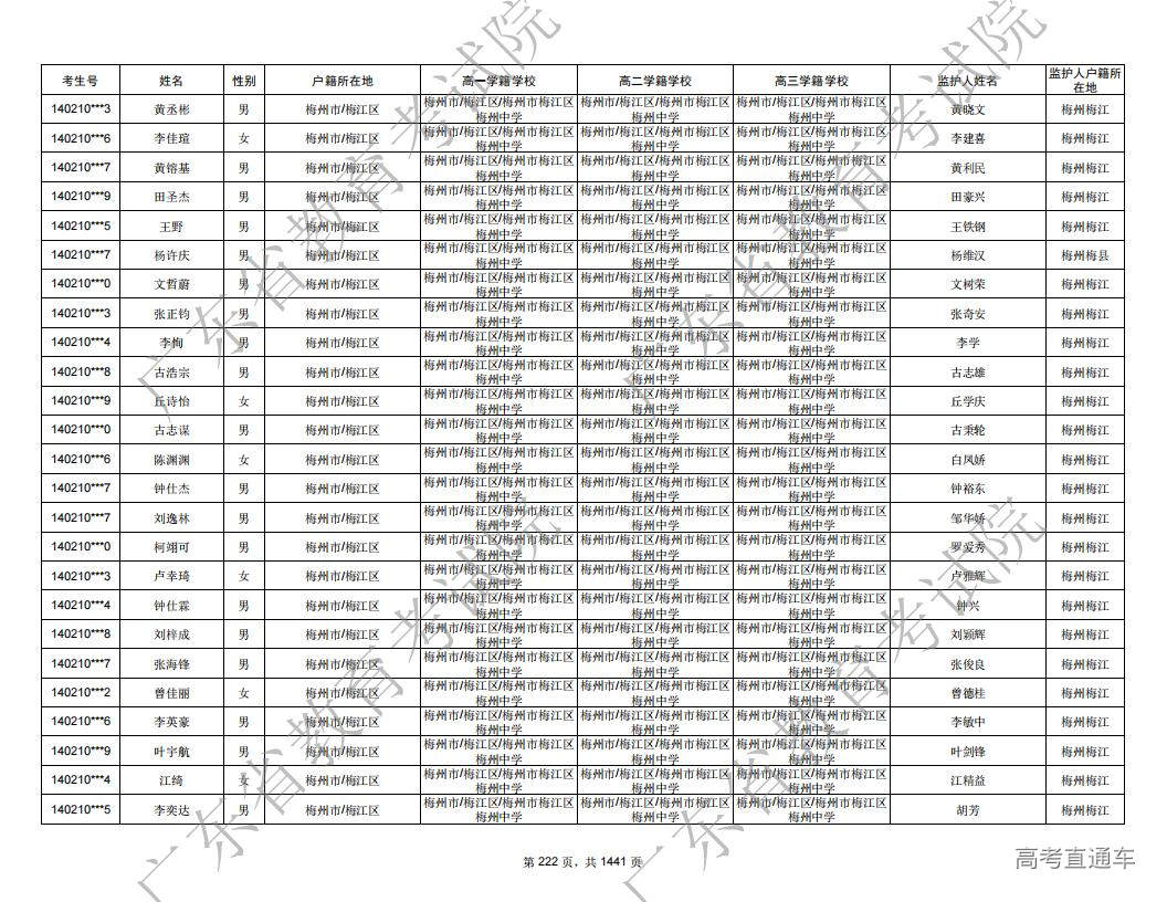
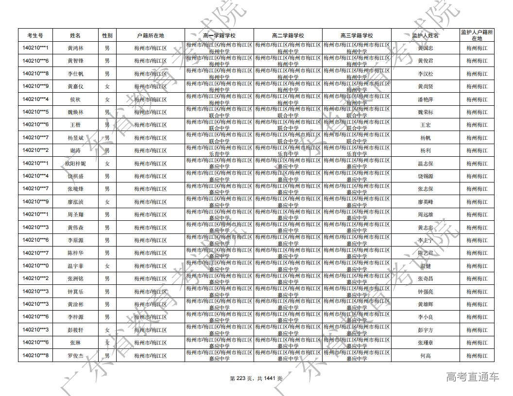
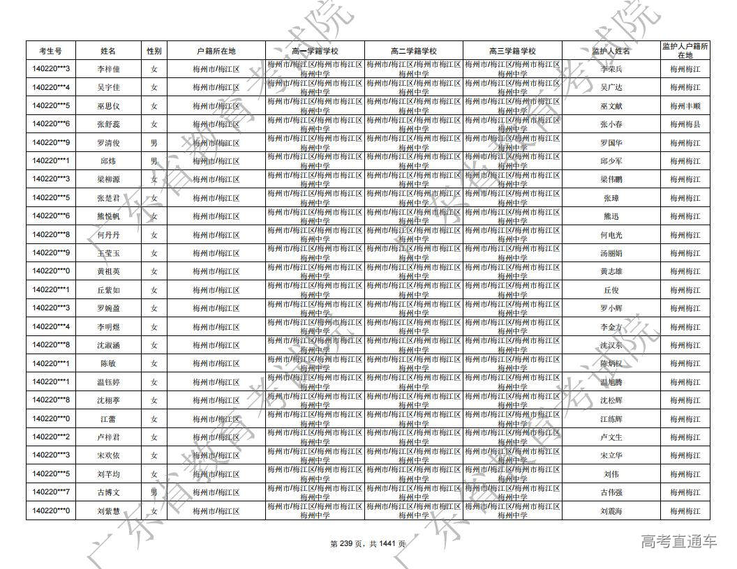
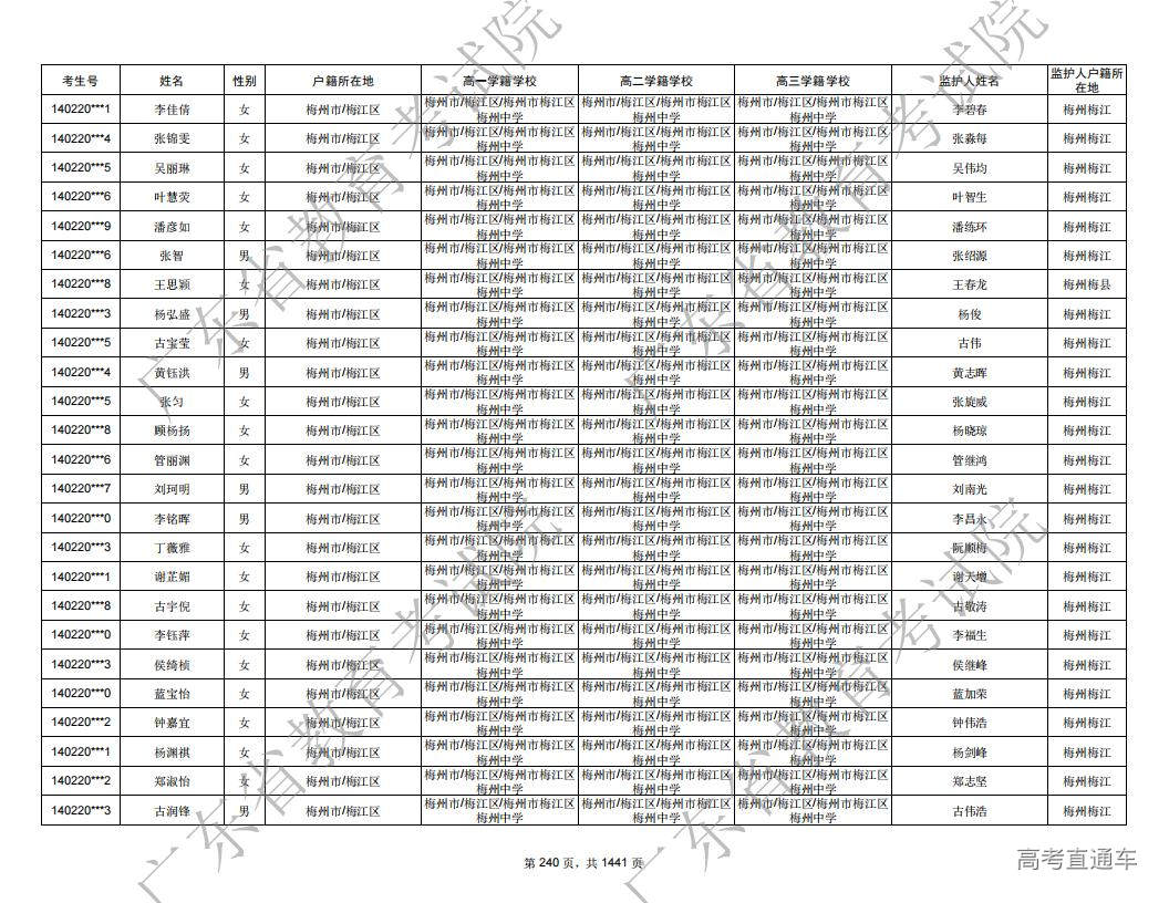
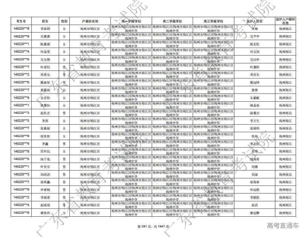
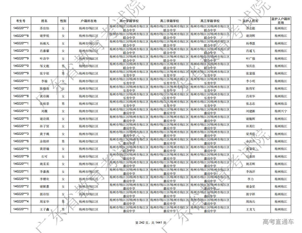
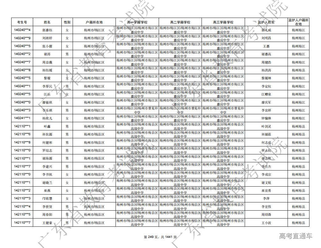
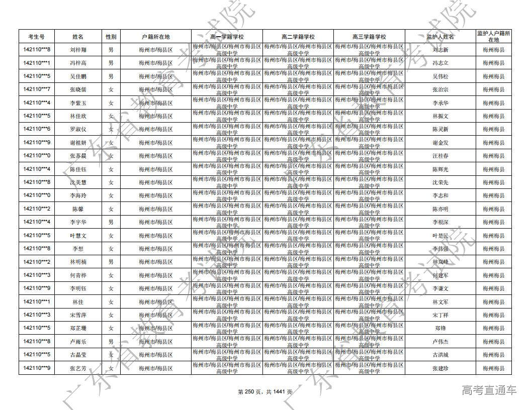
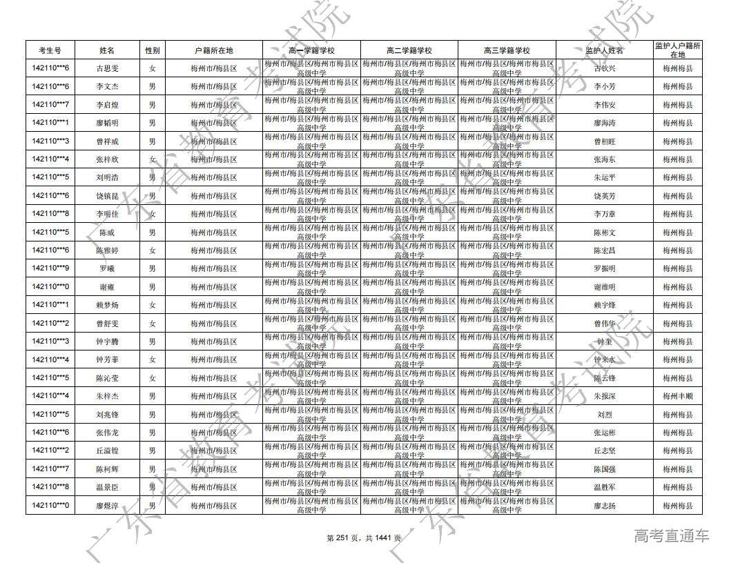
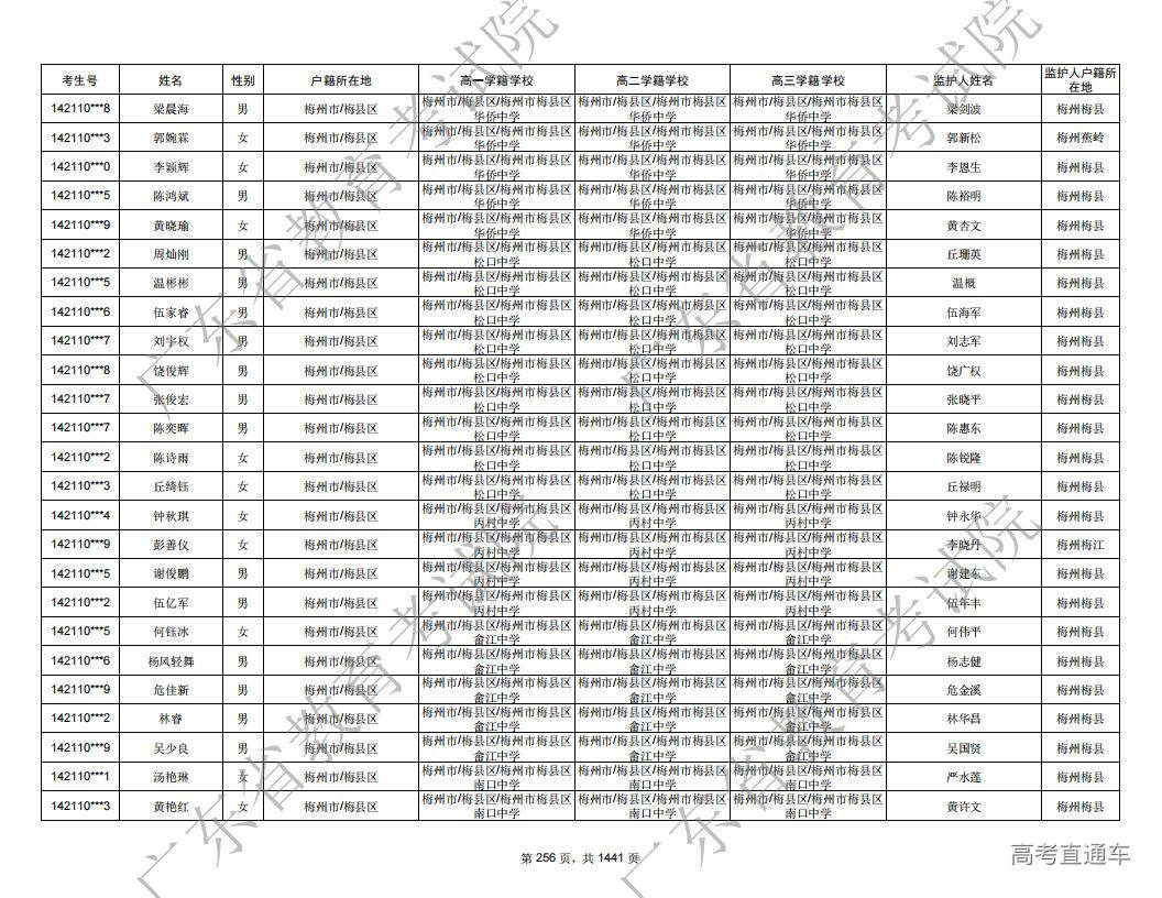
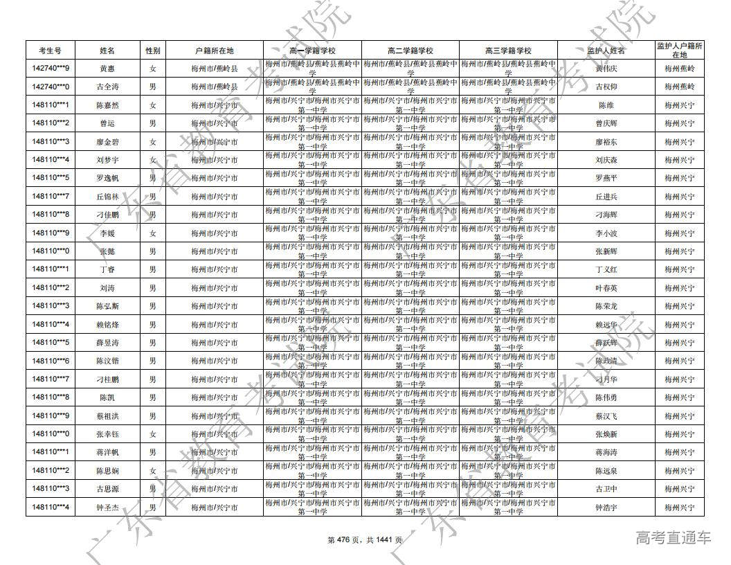
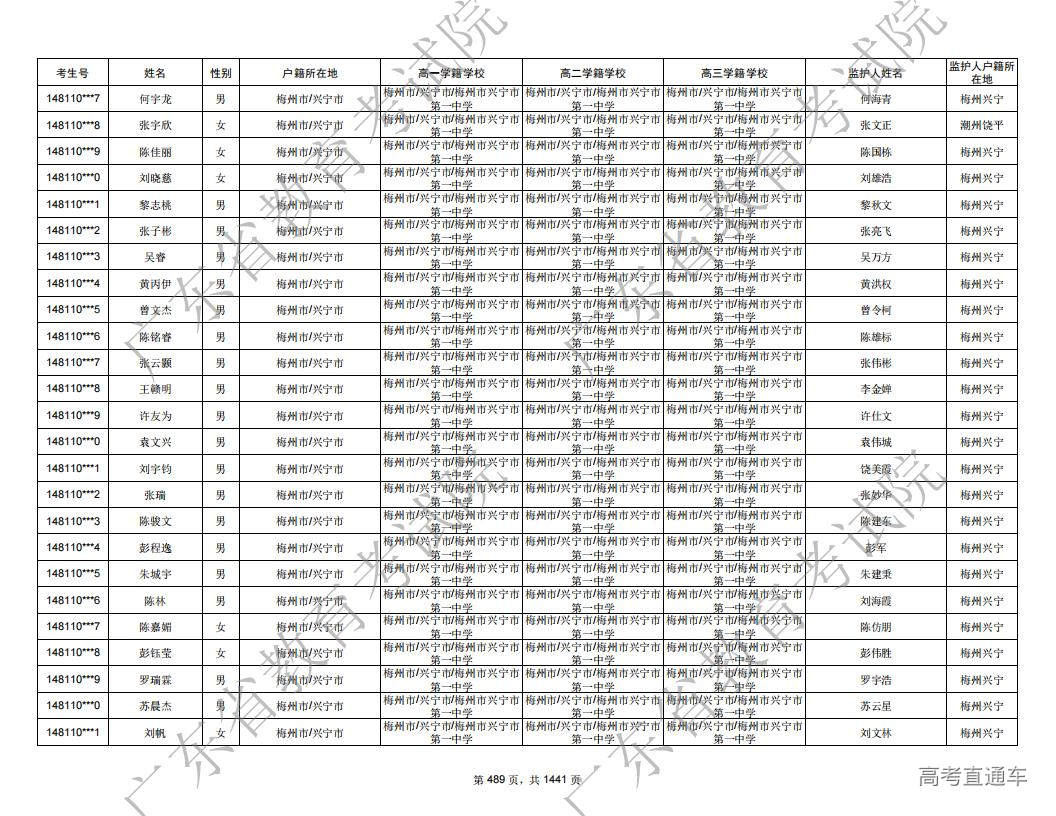
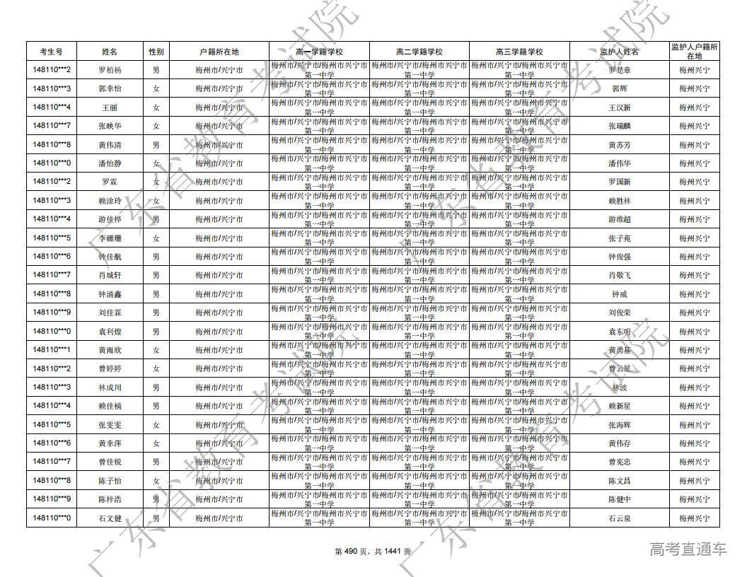
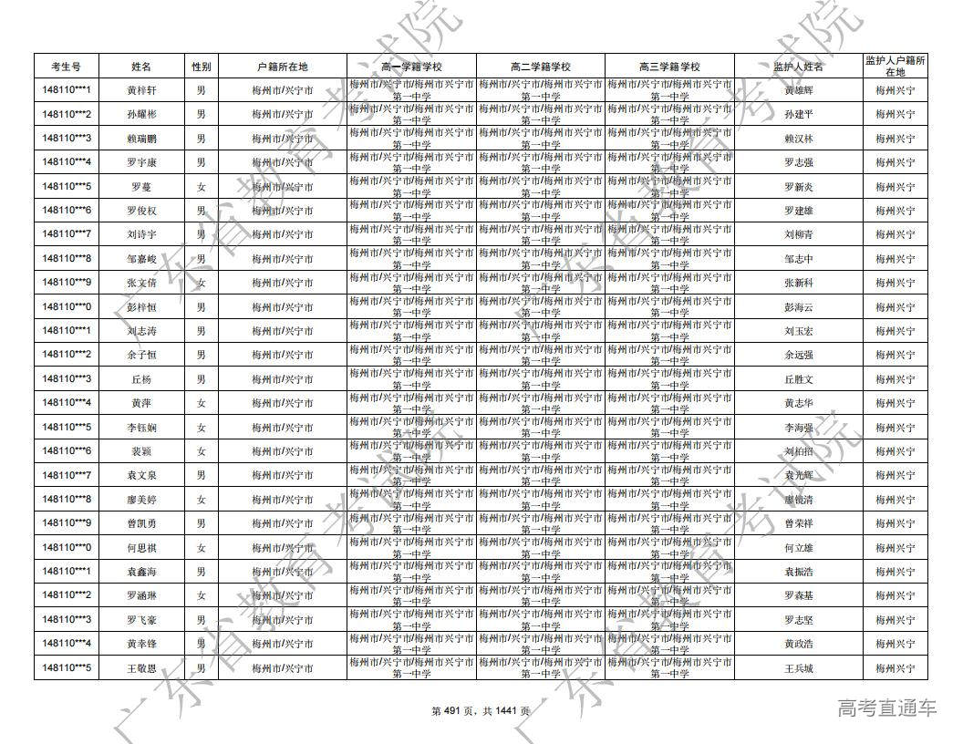
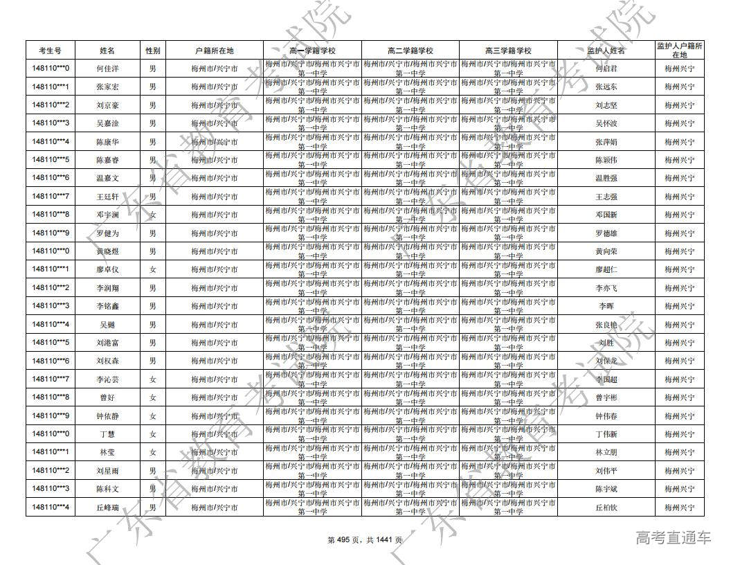
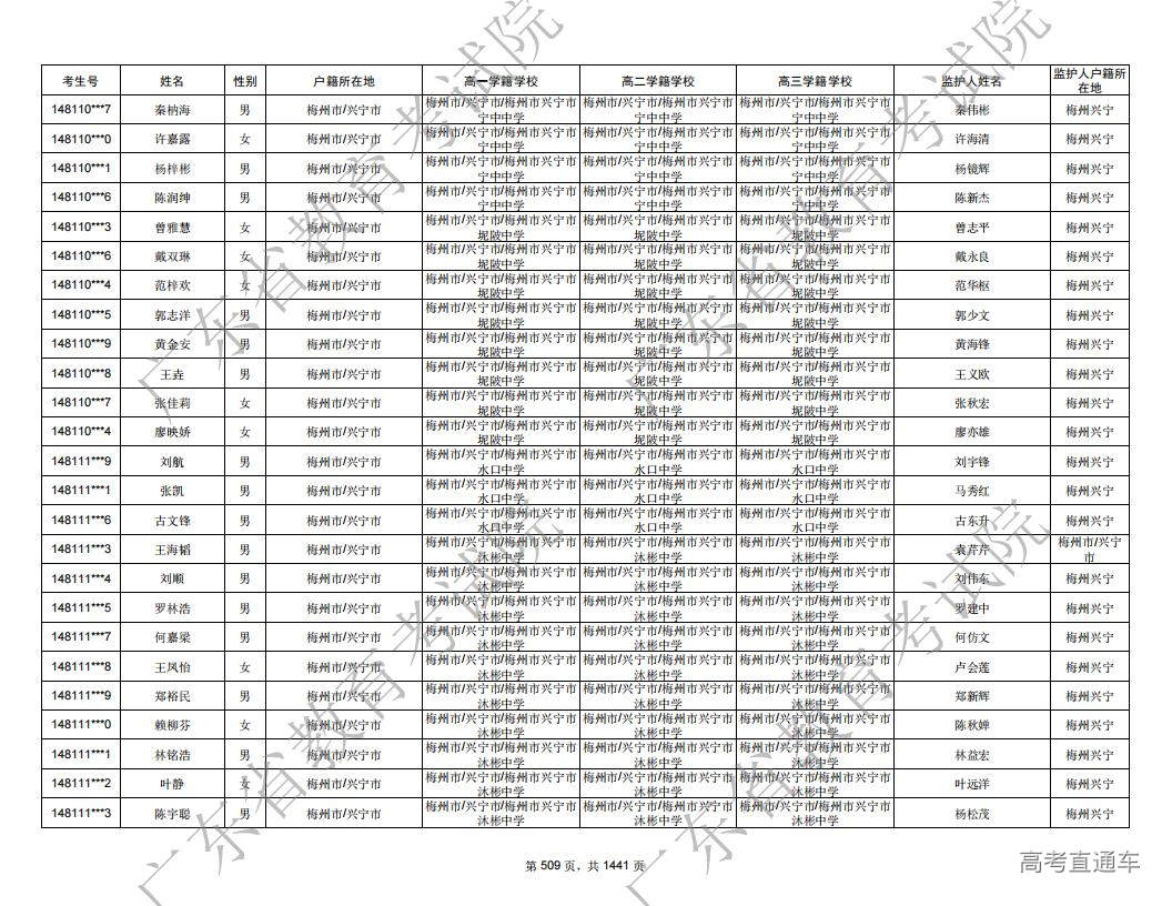
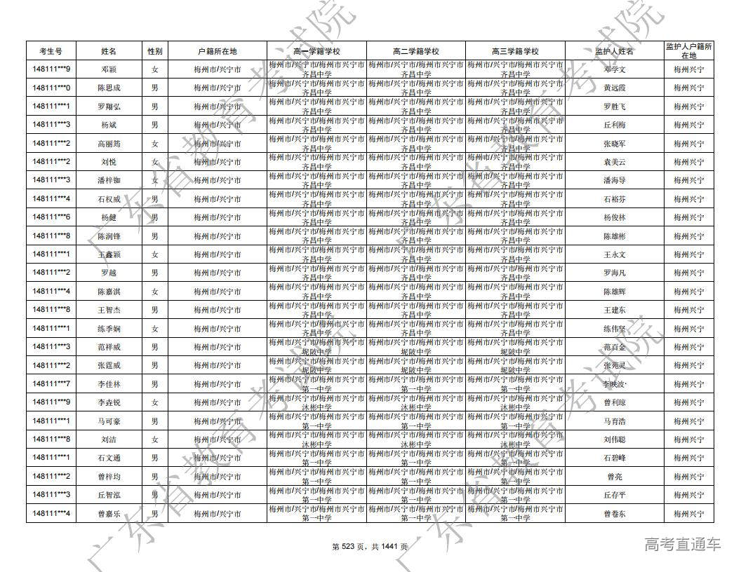
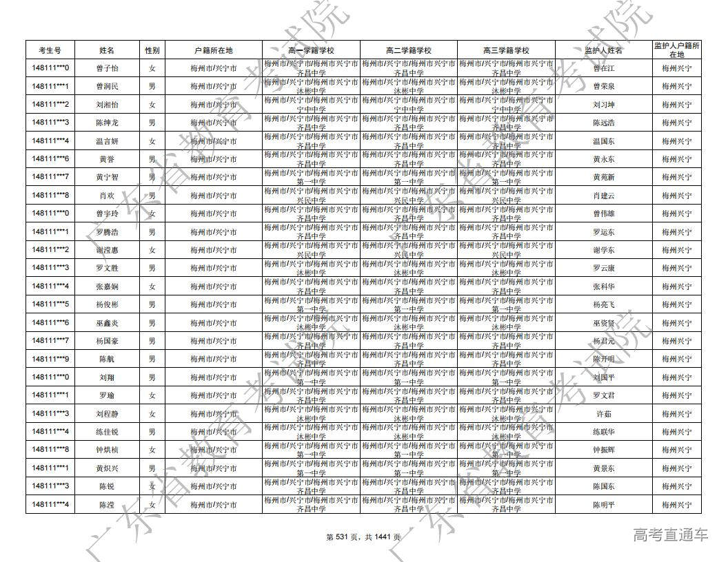
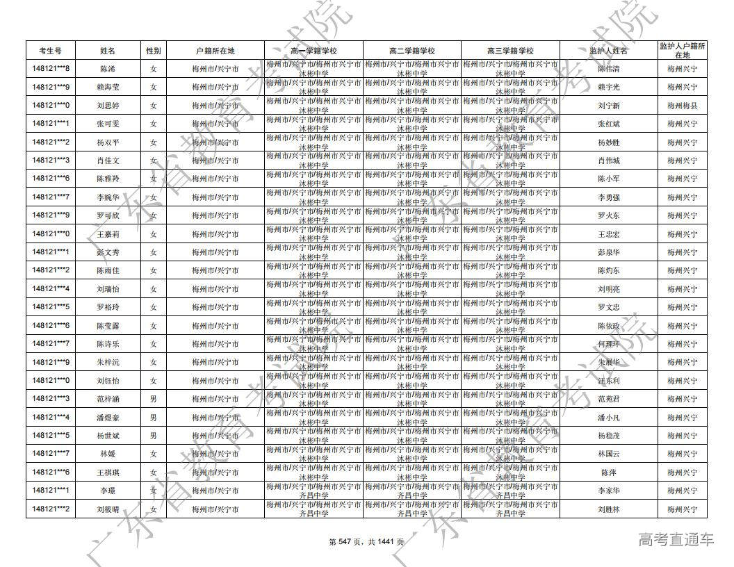
附件:广东省2025年重点高校招生专项计划资格审核通过考生名单
广东省招生委员会办公室
2025年5月15日
































































































































































































































































































































































































































































































































































































































































































































































































































































































































































































































































































































































































































































































































































































































































































