江苏高招接近尾声
而2021届高考生也进入高考倒计时
新高二学生也面临选科的问题
不少考生和家长可能听过
3+1+2、赋分制、合格性考试等名词
但是具体是什么意思可能有点迷糊
今天小车就带大家梳理一下
新高考最基础的一些知识
什么是3+1+2模式?
新高考模式为“3+1+2”模式
3指语文、数学、外语
为所有考生必考,不分文理,使用全国卷
1指考生在物理、历史中选择一门考试
2指考生从政治、地理、化学、生物中再选两门
考生可以选择哪些组合?
新方案除语、数、外所有考生必考外,另外的1+2共有12种组合,具体如下:
高考总分是多少?
语数外各150分,其中外语包含听力30分
其余科目各100分
其中物理、历史以原始分计入总分
其余4门科目以等级分计入总分
对于某一再选科目,考生该科目的合格性考试成绩达到合格后,转换时赋分起点为30分,满分为100分。
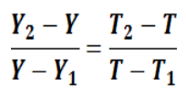
具体转换规则和步骤如下:

等级转换的具体公式:
其中:
Y1、Y2分别表示原始分区间的下限和上限;
T1、T2分别表示转换分区间的下限和上限;
Y表示原始分;
T表示转换分。
这一部分可能比较难理解,而且还涉及到再选科目的保障机制,所以之后会单独出一篇文章给大家介绍一下!
学业水平测试怎么考?
上面提到的1+2,其实是选择性考试,是纳入高考总分的,而学业水平考试还包括合格性考试,虽然不算在总分内,但考生也需要取得“合格”的成绩。
合格性考试和选择性考试的区别,可以参考下表:
新高考怎么录取?
高校将按物理等科目类、历史等科目类,分开计划、分开录取,考生填报志愿时,需满足高校提出的相关专业选考科目要求。
与现行方案按“院校”投档不同,新方案按“院校专业组”投档,对于进档考生,高校将根据考生的分数等,录取到“院校专业组”中考生所填报的专业(类)。
那么,什么是“院校专业组”呢?
院校专业组是指对考生选考科目要求相同的专业的集合。一个院校可设置多个专业组,各组可包含多个专业,组内专业的选科要求相同。

其中首选科目为“物理或历史均可”、再选科目为“不提科目要求”的专业,将同时出现在物理专业组和历史专业组中,在录取时,会分别在两个专业组投放一部分招生计划。






