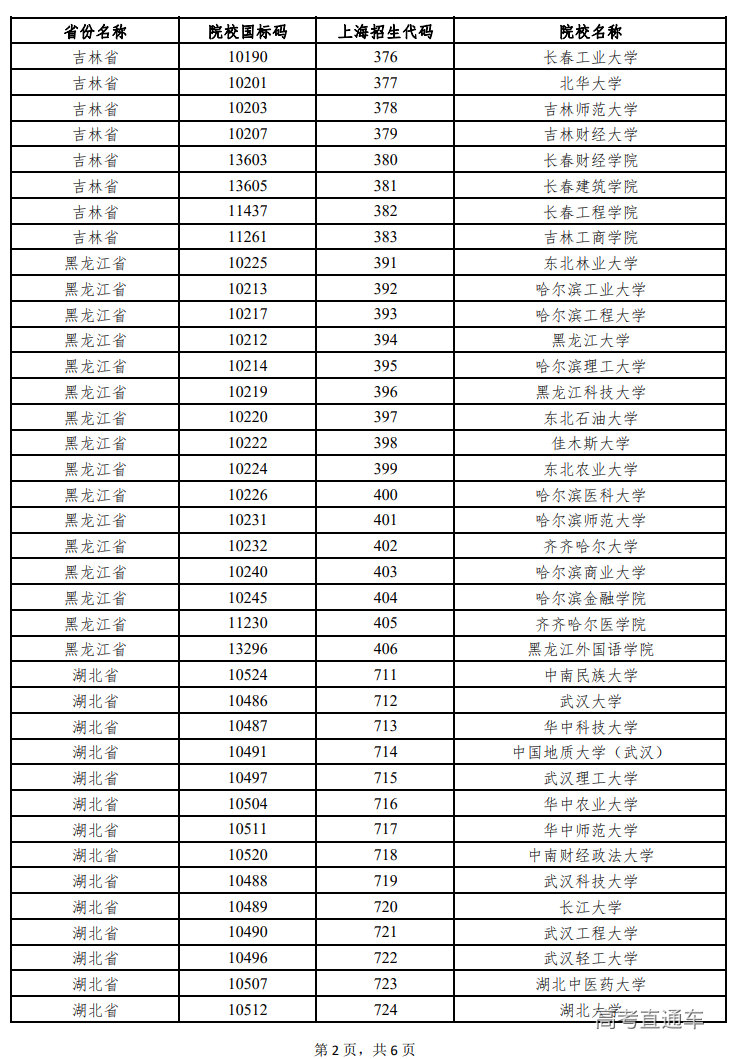
根据《上海市教育委员会关于2022年继续对报考外省市普通高校的本市生源考生实行优惠政策的通知》(沪教委学〔2022〕15号)的精神,凡在本科普通批次、专科普通批次中填报广西、甘肃、陕西、重庆、四川、贵州、云南、内蒙古、黑龙江、吉林、新疆、辽宁(除大连市)、青海、宁夏、西藏等省、自治区、直辖市高校以及湖南、湖北、山西等3省少数生源长期不足的普通高校(具体高校名单由上海市教育考试院公布),并被上述高校录取的具有上海市常住户口的本市生源考生,可获一次性补贴1000元;征求志愿填报而被录取的可获一次性补贴500元。现公布一次性经济补贴发放范围名单。
查看完整试题
登录查看完整试题答案
阅读数:1.3 k
特别声明:
1. 本站注明稿件来源为其他媒体的文/图等稿件均为转载稿,本站转载出于非商业性的教育和科研之目的,并不意味着赞同其观点或证实其内容的真实性。如转载稿涉及版权等问题,请作者在两周内速来电或来函联系,本站根据实际情况会进行下架处理。
2. 任何媒体、网站或个人未经本网协议授权不得转载、链接、转贴或以其他方式复制发表,违者本站将依法追究责任。
1. 本站注明稿件来源为其他媒体的文/图等稿件均为转载稿,本站转载出于非商业性的教育和科研之目的,并不意味着赞同其观点或证实其内容的真实性。如转载稿涉及版权等问题,请作者在两周内速来电或来函联系,本站根据实际情况会进行下架处理。
2. 任何媒体、网站或个人未经本网协议授权不得转载、链接、转贴或以其他方式复制发表,违者本站将依法追究责任。





