2025成都各区高中录取分数线汇总

2025-07-03 18:01 网络 评论

近日,成都中考成绩公布,成都中考13个区的划线及一分一段表、各高中录取分数线相继出炉。


值得注意的是,成都中考共设17个招生区域,“5+2”区域为一个区域,其余16个区(市)县各作为1个招生区域。


现在郊县新城出炉的分数线,是针对各区区内的线,面向5+2区招生的分数线,7月7日5+2区域一起公布。



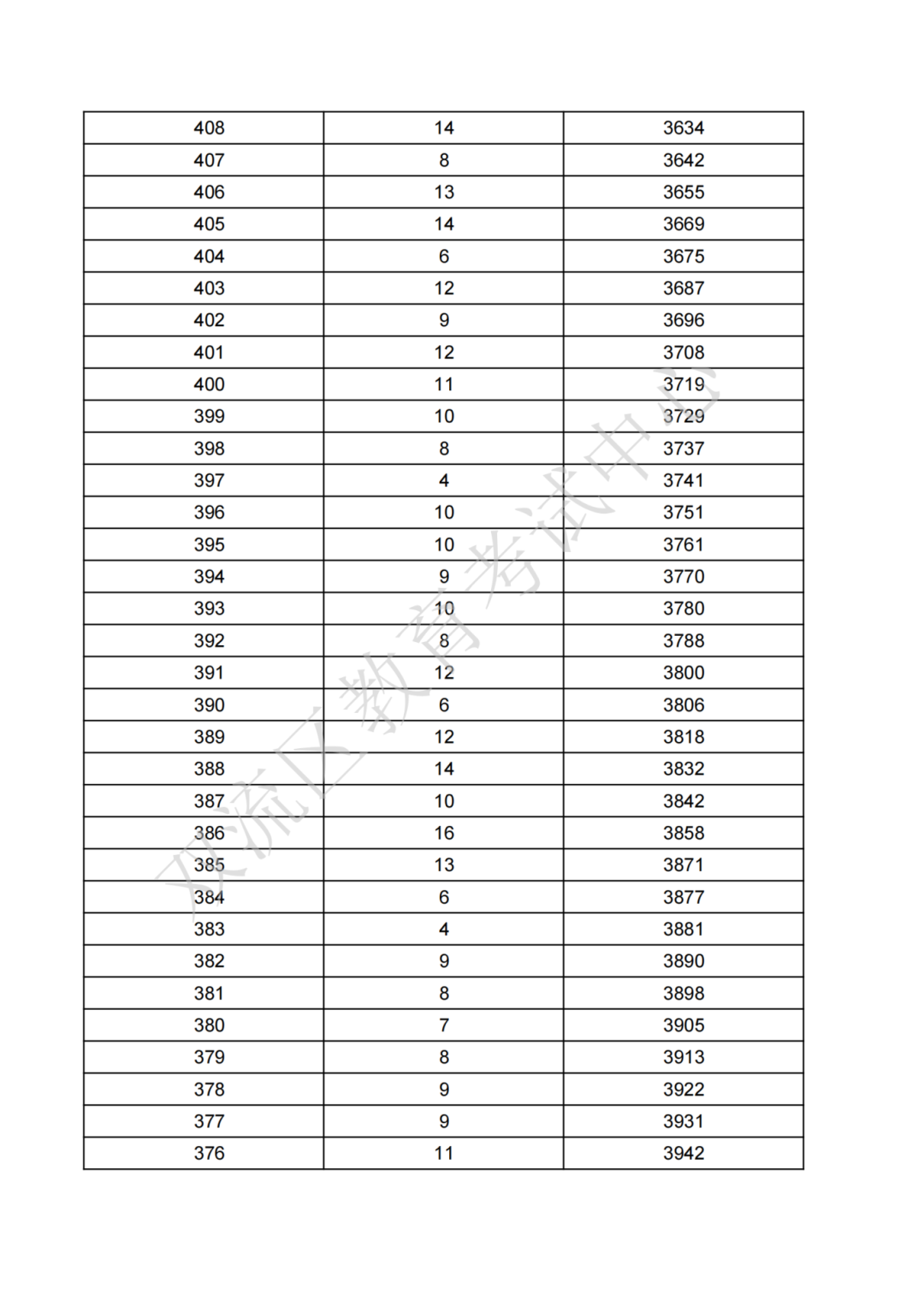
双流区


图片


图片


图片
图片
图片
图片
图片
图片
图片
图片

双流区中考成绩分段统计表



泉驿区


dc686d21ae3654e8af0dfa30ff084295.jpg


f6794a7ea4e149332065a0f266a6106.jpg




1.jpg
2.jpg



郫都区


1751498311328.png
图片
图片
图片
图片
图片
图片


郫都_Sheet1.png



温江区


3180d8c95ba6e93ef8c5d571f99c9c3e.png


图片



新津区


image.png


de24e184387cd3c3afaca41da88701cd.jpg



新都区


高中填报志愿指导线

image.png
294ca579a9038197523be21f39ce5332.jpg
86f907ebc9511b6f10fd984487f33d37.jpg
3e47e276805e3c23e569a2452c663d1a.jpg
73ab78e185b2de352884ea9c16a90a37.jpg
04858eec810d18bb3e3d3e4233cb5d15.jpg



青白江区


image.png
青白江.jpg



邛崃市


1cb13e496358f354830a829a53bc0ea9.png
图片



简阳市


image.png



都江堰市


b53cacb37a89622532c8ea0dbbed6670.jpg


登录高考直通车APP
查看完整试题答案
好的
查看完整试题
特别声明:
1. 本站注明稿件来源为其他媒体的文/图等稿件均为转载稿,本站转载出于非商业性的教育和科研之目的,并不意味着赞同其观点或证实其内容的真实性。如转载稿涉及版权等问题,请作者在两周内速来电或来函联系,本站根据实际情况会进行下架处理。
2. 任何媒体、网站或个人未经本网协议授权不得转载、链接、转贴或以其他方式复制发表,违者本站将依法追究责任。
举报理由选择
确定
高考直通车官网

哇哦!快加入高考直通车APP,发现更多精彩内容,与学霸一起交流学习吧!