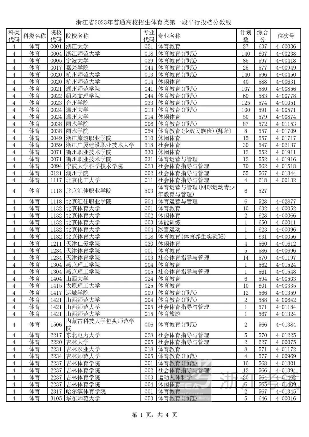
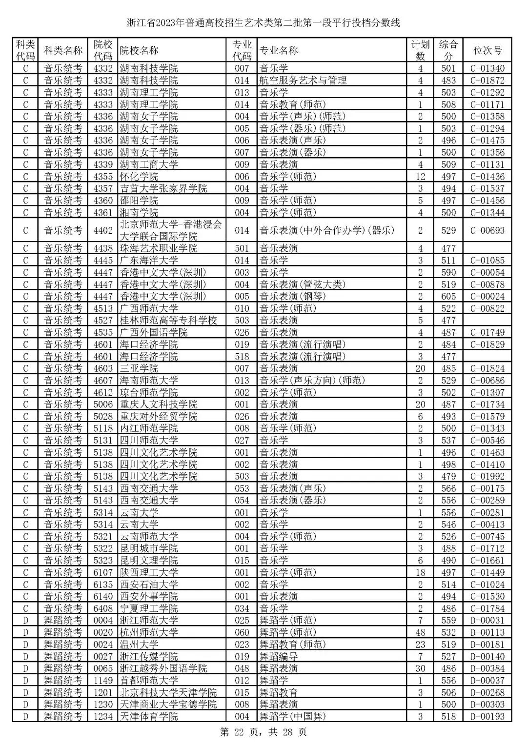
我省2023年高考艺术类第二批第一段、体育类第一段平行志愿已投档。相关考生可根据自己的志愿顺序和位次,对照查看相应院校专业投档线和位次号信息,估计自己投档去向。
艺体类平行投档规则 艺术类第二批和体育类平行志愿,分二段进行投档录取。投档时,以考生符合所填报志愿的选考科目范围为前提,艺术类分8个大类以各类别综合分为依据(体育类以体育类专业综合分为依据),实行专业平行志愿投档,直接投到考生所填报的具体高校的具体专业。投档比例均为1:1。综合分相同时,考生综合分位次在前者优先投档,位次相同时志愿顺序在前者优先投档,位次和志愿顺序均相同则一并投档。被投档到某院校专业的最后一名考生的分数,即为该院校专业投档线,由计算机投档后自动形成。 浙江省2023年普通高校招生 艺术类第二批第一段平行投档分数线
浙江省2023年普通高校招生 体育类第一段平行投档分数线 除艺体类首段平行志愿外,普通类提前录取第二段传统志愿也已投档。预计7月17日晚,有关考生可通过浙江省教育考试院网站(www.zjzs.net)和“浙江考试”微信公众号,查询录取状态。











