浙江2025年高考艺体类二段平行投档分数线发布

2025-07-28 17:06 浙江考试 评论

根据浙江省2025年高考录取工作进程,艺术类统考批第二段和体育类第二段平行志愿于今天下午投档。接下来由各招生高校审录,并通过录取检查后,本次投档录取结果预计于7月30日晚发布。


投档后,相关高校专业投档分数线出炉。考生可按照自己填报的志愿顺序,将高校专业的投档分数位次与本人成绩位次逐一比对,以此预判自己的投档去向。




浙江省2025年普通高校招生艺术类

统考批第二段平行投档分数线

上下滑动,查看更多

图片
图片


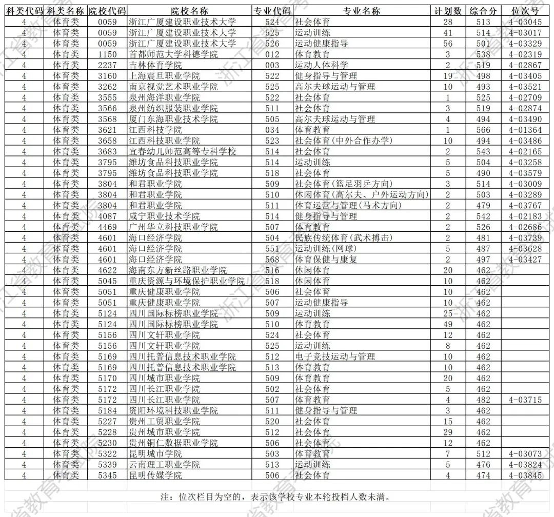
浙江省2025年普通高校招生体育类

第二段平行投档分数线


图片

登录高考直通车APP
查看完整试题答案
好的
查看完整试题
特别声明:
1. 本站注明稿件来源为其他媒体的文/图等稿件均为转载稿,本站转载出于非商业性的教育和科研之目的,并不意味着赞同其观点或证实其内容的真实性。如转载稿涉及版权等问题,请作者在两周内速来电或来函联系,本站根据实际情况会进行下架处理。
2. 任何媒体、网站或个人未经本网协议授权不得转载、链接、转贴或以其他方式复制发表,违者本站将依法追究责任。
举报理由选择
确定
高考直通车官网

哇哦!快加入高考直通车APP,发现更多精彩内容,与学霸一起交流学习吧!