@考上这221所外地院校的上海考生,你有一次性补贴待领取

2020-07-30 09:32 上海市教育考试院 评论

今年打算考外地高校的同学们注意。市教委说,凡在本科普通批次、高职(专科)普通批次中填报部分外省市普通高校(名单见↓),并被上述高校录取的具有上海市常住户口的本市生源考生,可获一次性补贴1000元(点击了解政策详情)征求志愿填报而被录取的可获一次性补贴500元。补贴发放的截止时间为2020年底。详↓




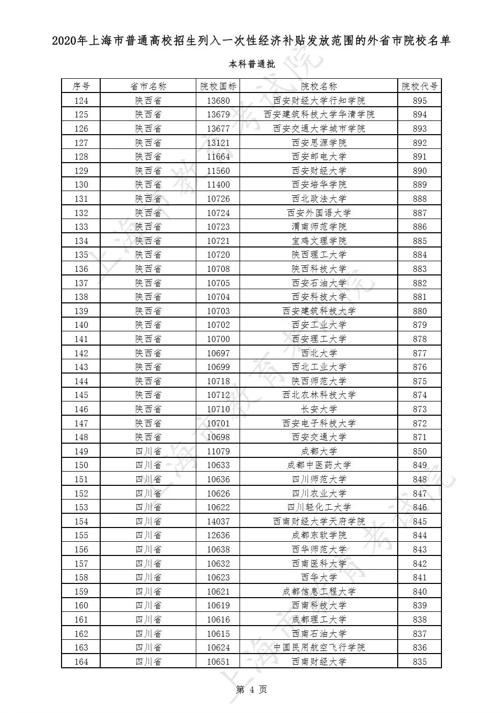
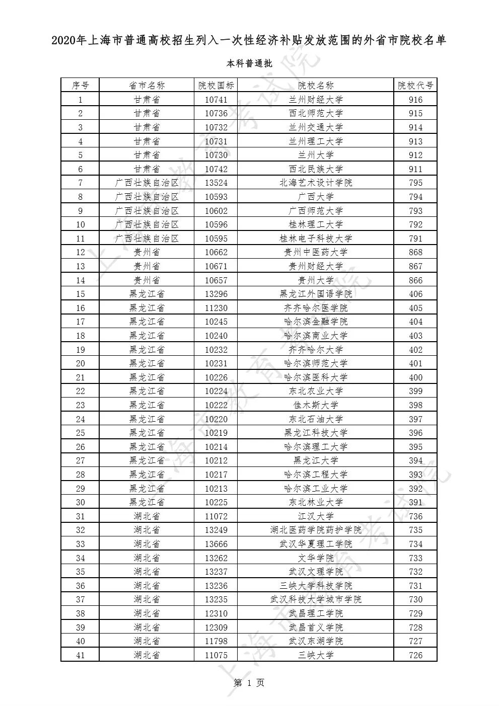
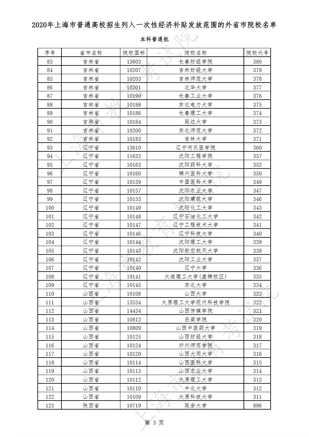
2020年上海市普通高校招生列入一次性经济补贴发放范围的外省市院校名单

(点击图片查看大图)


(一)凡在本科普通批次、高职(专科)普通批次中填报广西、甘肃、陕西、重庆、四川、贵州、云南、内蒙古、黑龙江、吉林、新疆、辽宁(除大连市)等省、自治区、直辖市高校以及湖南、湖北、山西等3省少数生源长期不足的普通高校(具体高校名单由上海市教育考试院公布),并被上述高校录取的具有上海市常住户口的本市生源考生,可获一次性补贴1000元;征求志愿填报而被录取的可获一次性补贴500元。



(二)补贴发放程序

2020年报考外省市普通高校的本市生源考生补贴经费的具体发放继续委托上海市教育考试院办理,一次性补贴发放的截止时间为2020年底。发放办法由上海市教育考试院另行公布。


登录高考直通车APP
查看完整试题答案
好的
查看完整试题
特别声明:
1. 本站注明稿件来源为其他媒体的文/图等稿件均为转载稿,本站转载出于非商业性的教育和科研之目的,并不意味着赞同其观点或证实其内容的真实性。如转载稿涉及版权等问题,请作者在两周内速来电或来函联系,本站根据实际情况会进行下架处理。
2. 任何媒体、网站或个人未经本网协议授权不得转载、链接、转贴或以其他方式复制发表,违者本站将依法追究责任。
举报理由选择
确定
高考直通车官网

哇哦!快加入高考直通车APP,发现更多精彩内容,与学霸一起交流学习吧!