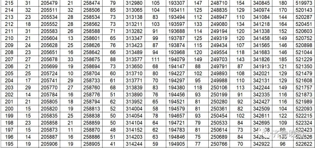
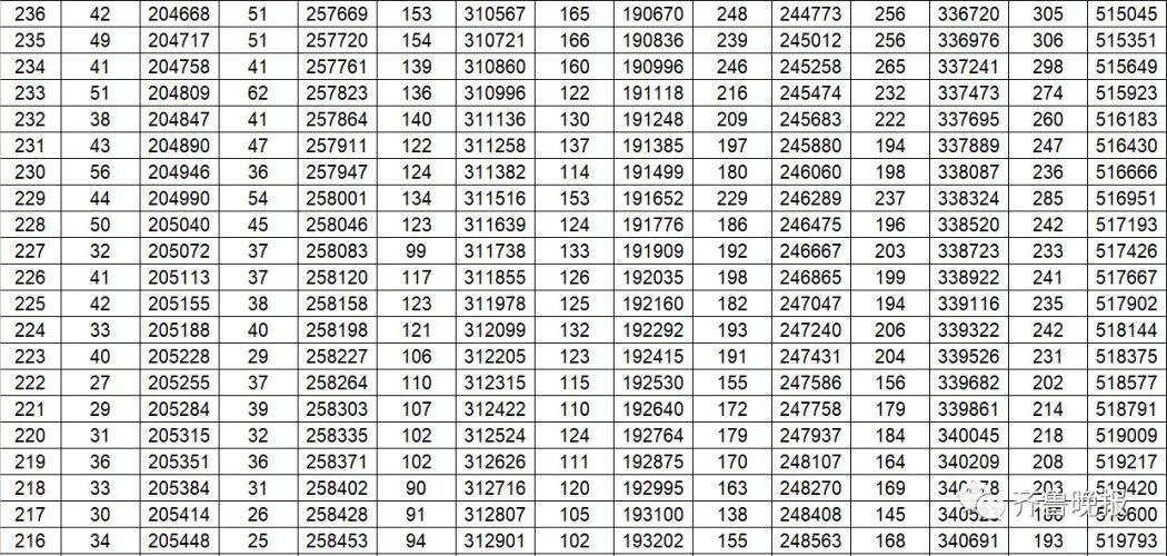
山东省2020年高考一分一段表排名

2020-07-26 17:27 山东省教育考试院 评论

今天下午

随着2020年普通高考成绩信息查询通道开启

2020年山东夏季高考文化成绩

一分一段统计表

也随之发布

什么叫一分一段表:


就是每一个分数,在整个山东省有多少名考生。考生在全省排在一个什么位次上,都能通过这个一分一段表看出来。



登录高考直通车APP
查看完整试题答案
好的
查看完整试题
特别声明:
1. 本站注明稿件来源为其他媒体的文/图等稿件均为转载稿,本站转载出于非商业性的教育和科研之目的,并不意味着赞同其观点或证实其内容的真实性。如转载稿涉及版权等问题,请作者在两周内速来电或来函联系,本站根据实际情况会进行下架处理。
2. 任何媒体、网站或个人未经本网协议授权不得转载、链接、转贴或以其他方式复制发表,违者本站将依法追究责任。
举报理由选择
确定
高考直通车官网

哇哦!快加入高考直通车APP,发现更多精彩内容,与学霸一起交流学习吧!