8月10日,广东省教育考试院官网对2024年普通高校招生专项计划录取考生名单(即“高校专项计划”和“地方专项计划”录取考生名单)进行公示。因篇幅较长,高考直通车将通知原文及完整录取名单附于文末,考生、家长可自行查看。
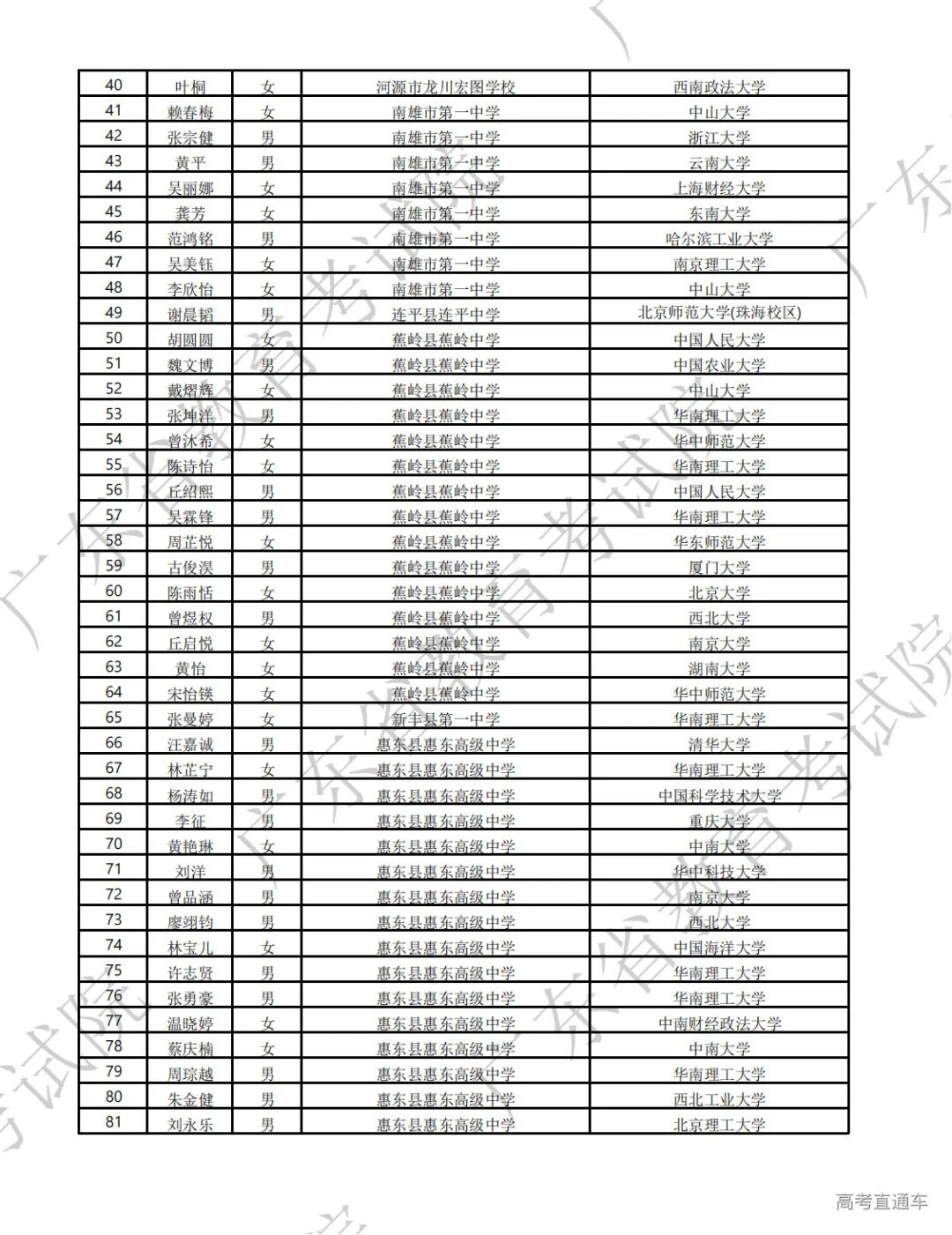
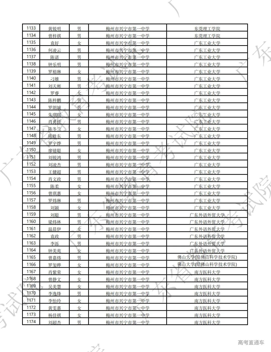
从省考试院公布的名单来看,通过专项计划被录取的考生合计2667人。其中,地方专项计划录取2460人(比2023年的2379增加81人),高校专项计划录取207人(比2023年177人增加30人)。 高校专项计划录取名单中,从毕业中学来看,人数最多的是广东梅县东山中学,37人遥遥领先。其次超10人以上的中学还有惠东县惠东高级中学、蕉岭县蕉岭中学、南雄中学、梅州市兴宁市第一中学。其余中学均是1-9人不等,具体如下图:
从录取的高校来看,省内具有高校专项计划招生资格的华南理工大学和中山大学录取人数最多,分别有36人和26人。今年广东考生通过高校专项计划考入清华、北大等71所高校,其中,34所985高校共录取154人,36所211高校共录取51人,1所双非高校(西南政法大学)共录取2人。具体如下图:
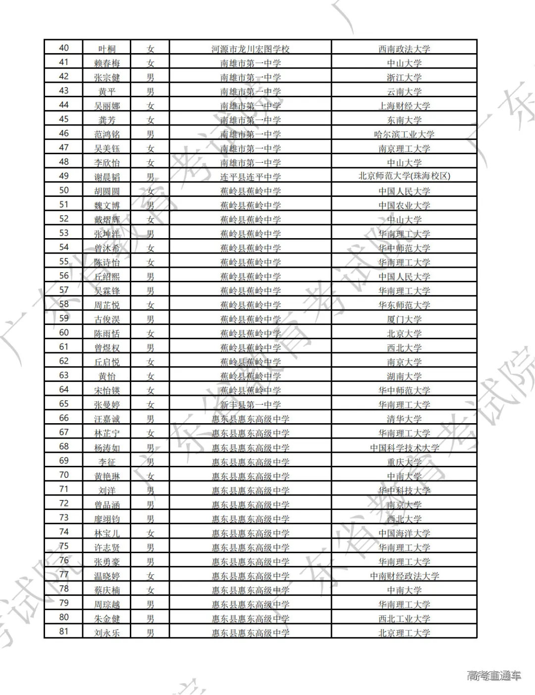
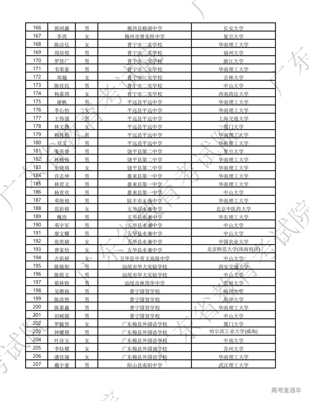
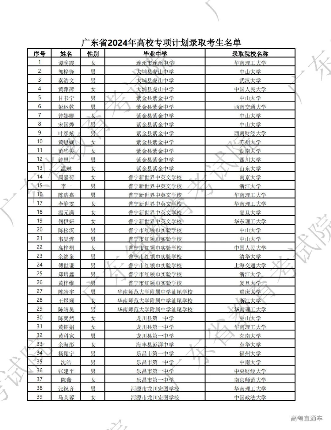
附:广东2024年高校专项计划录取考生名单👇
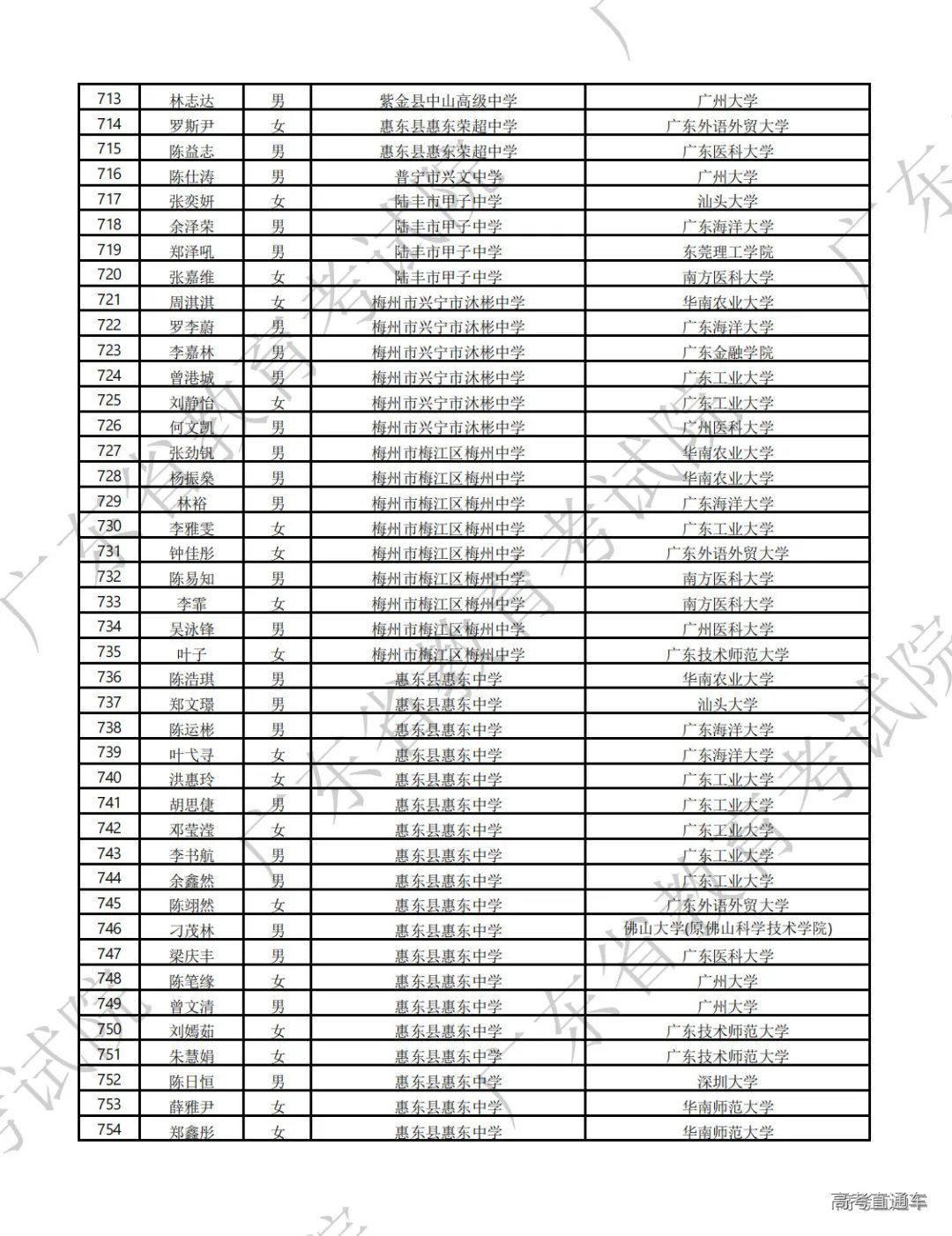
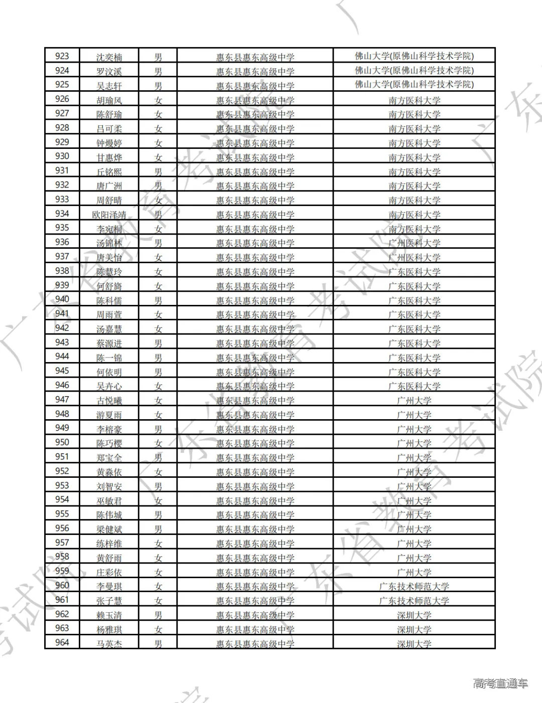
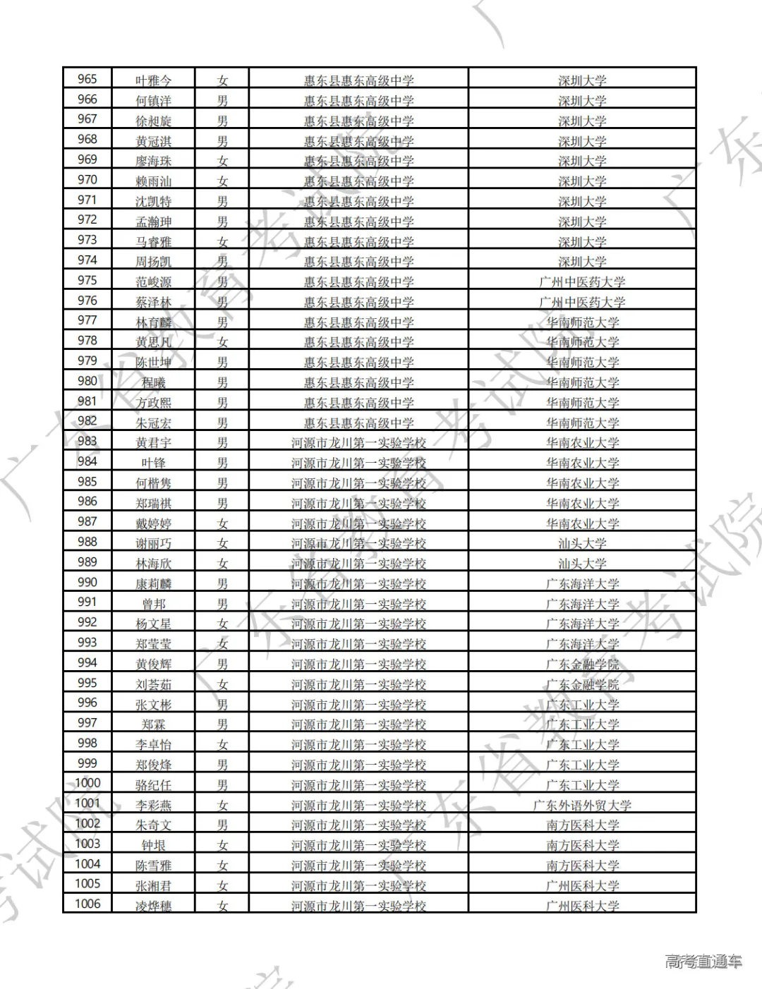
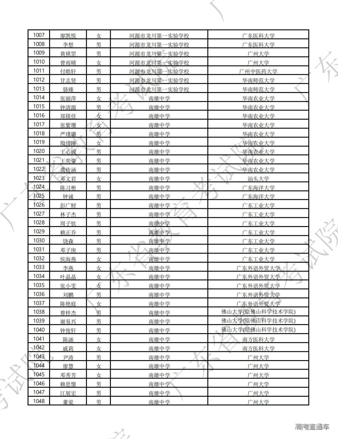
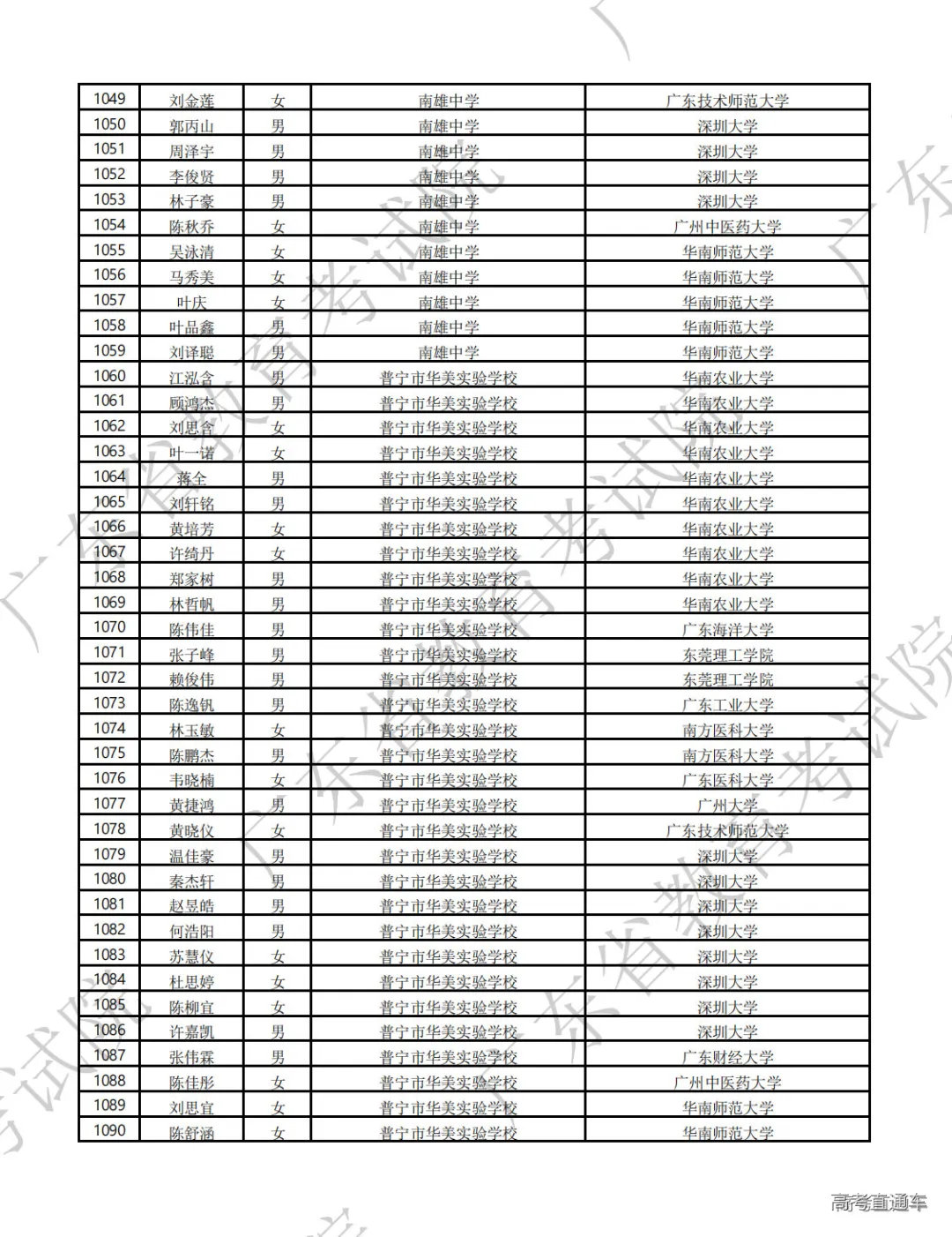
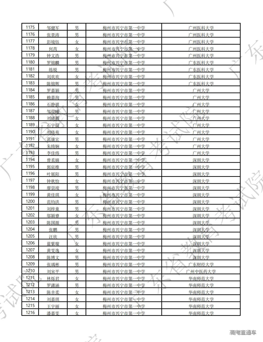
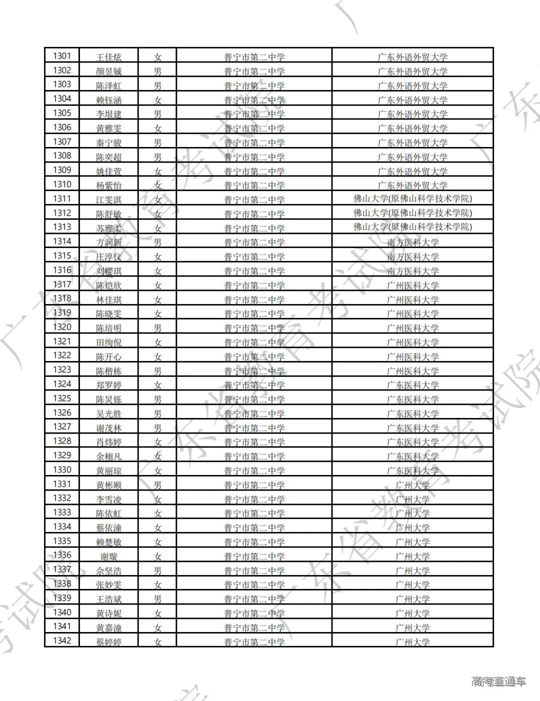
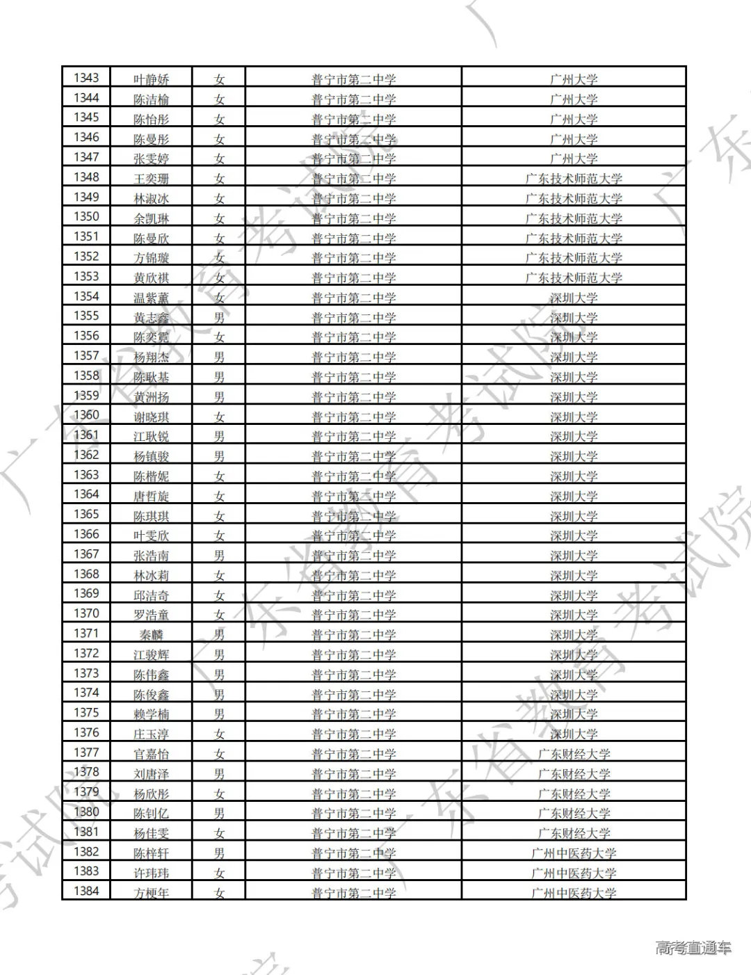
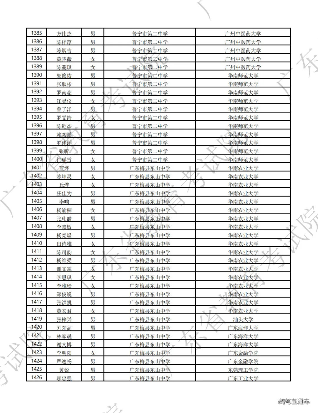
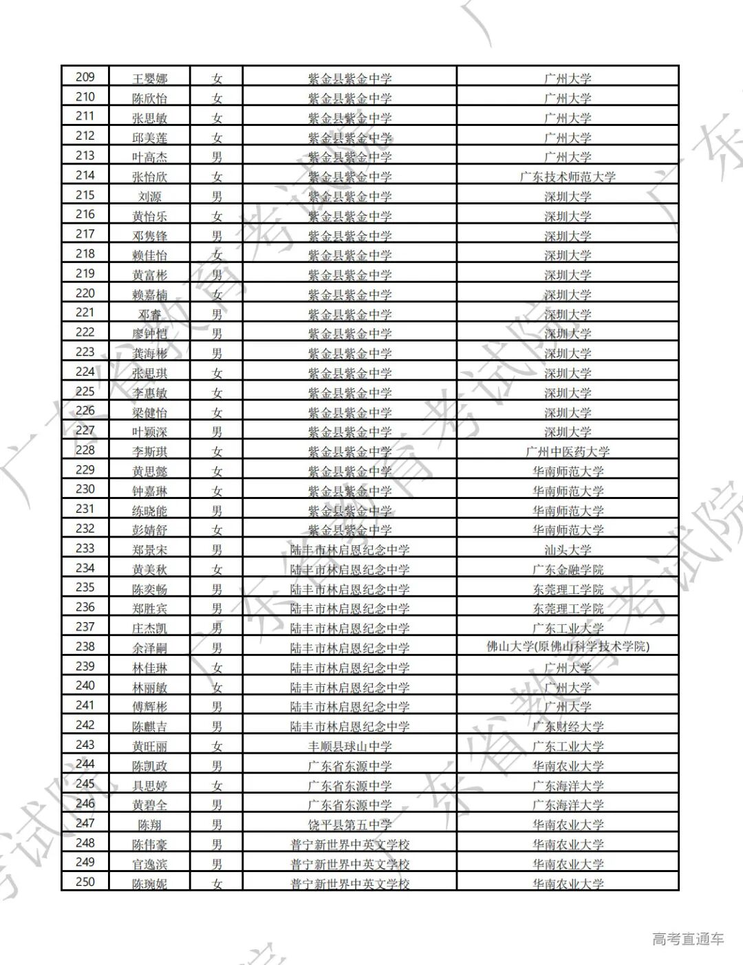
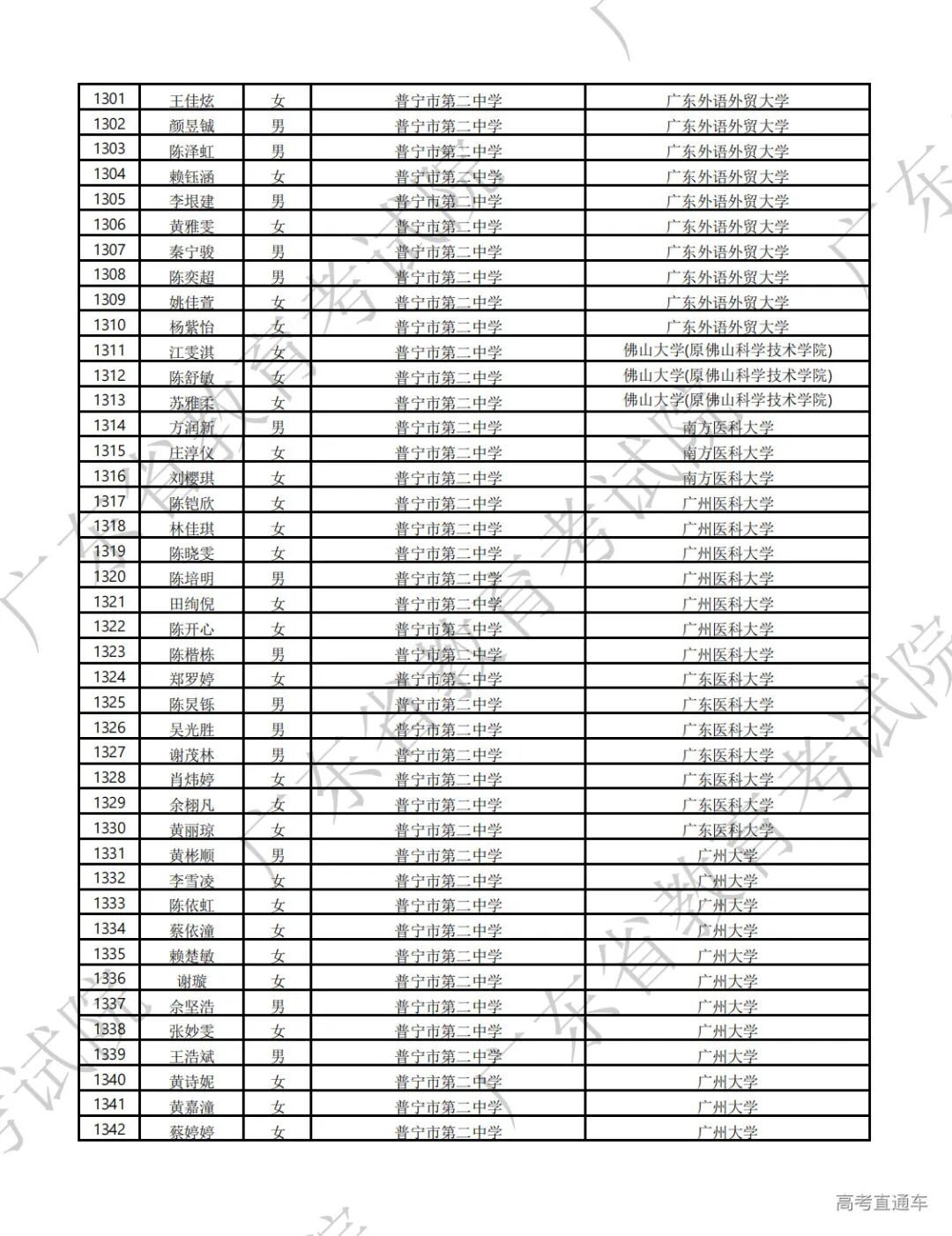
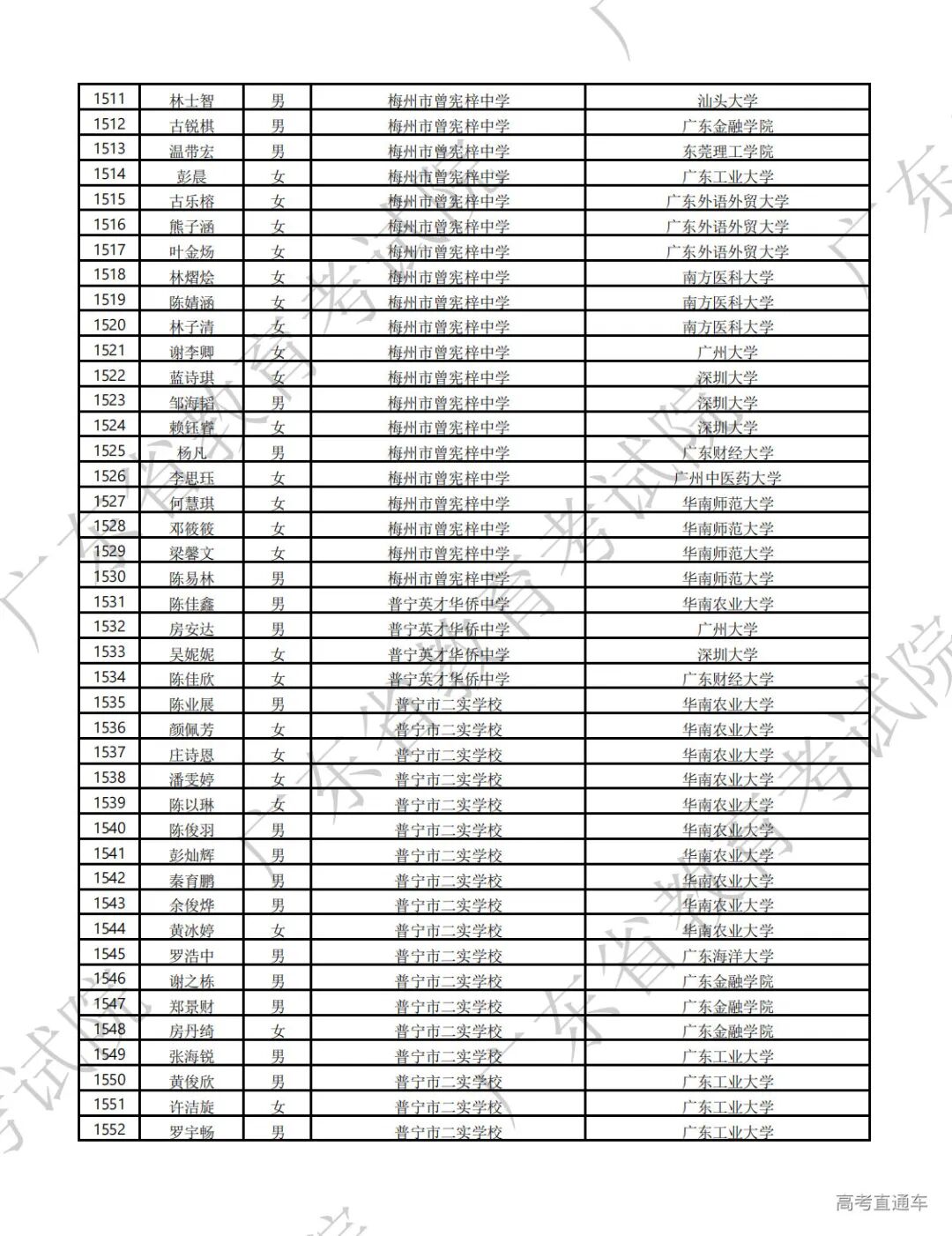
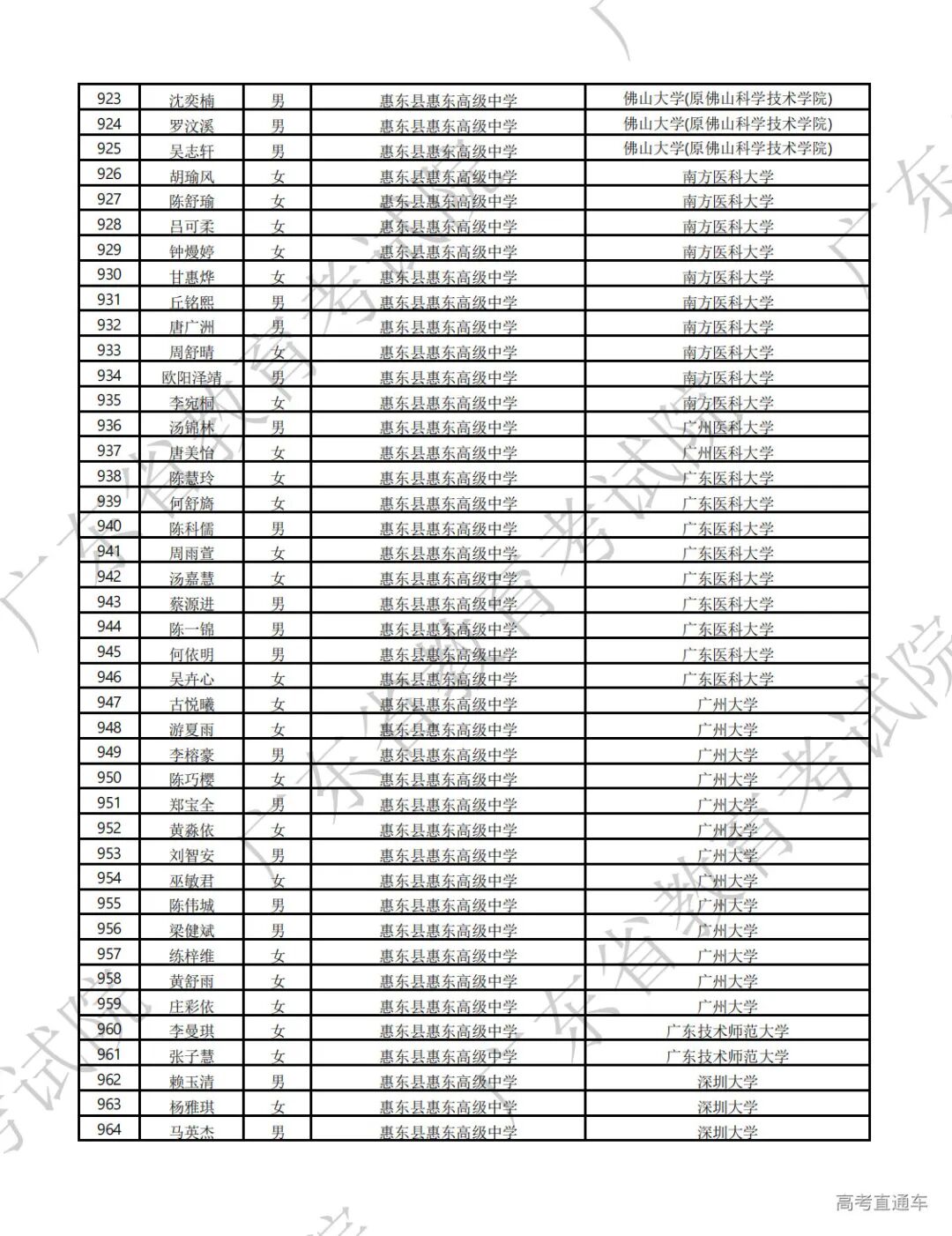
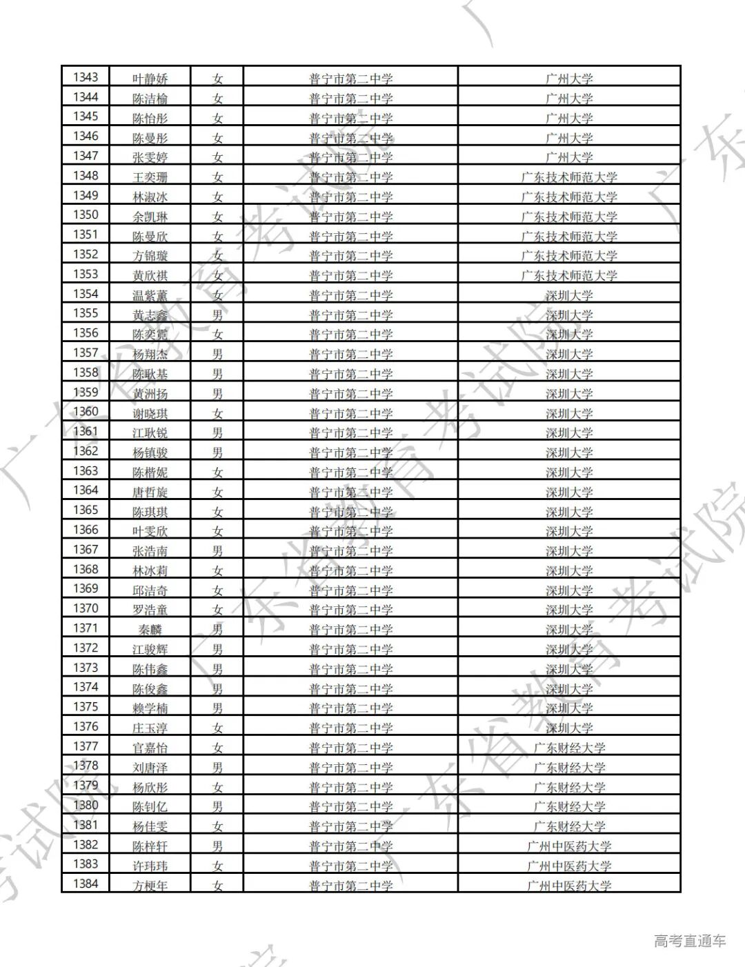
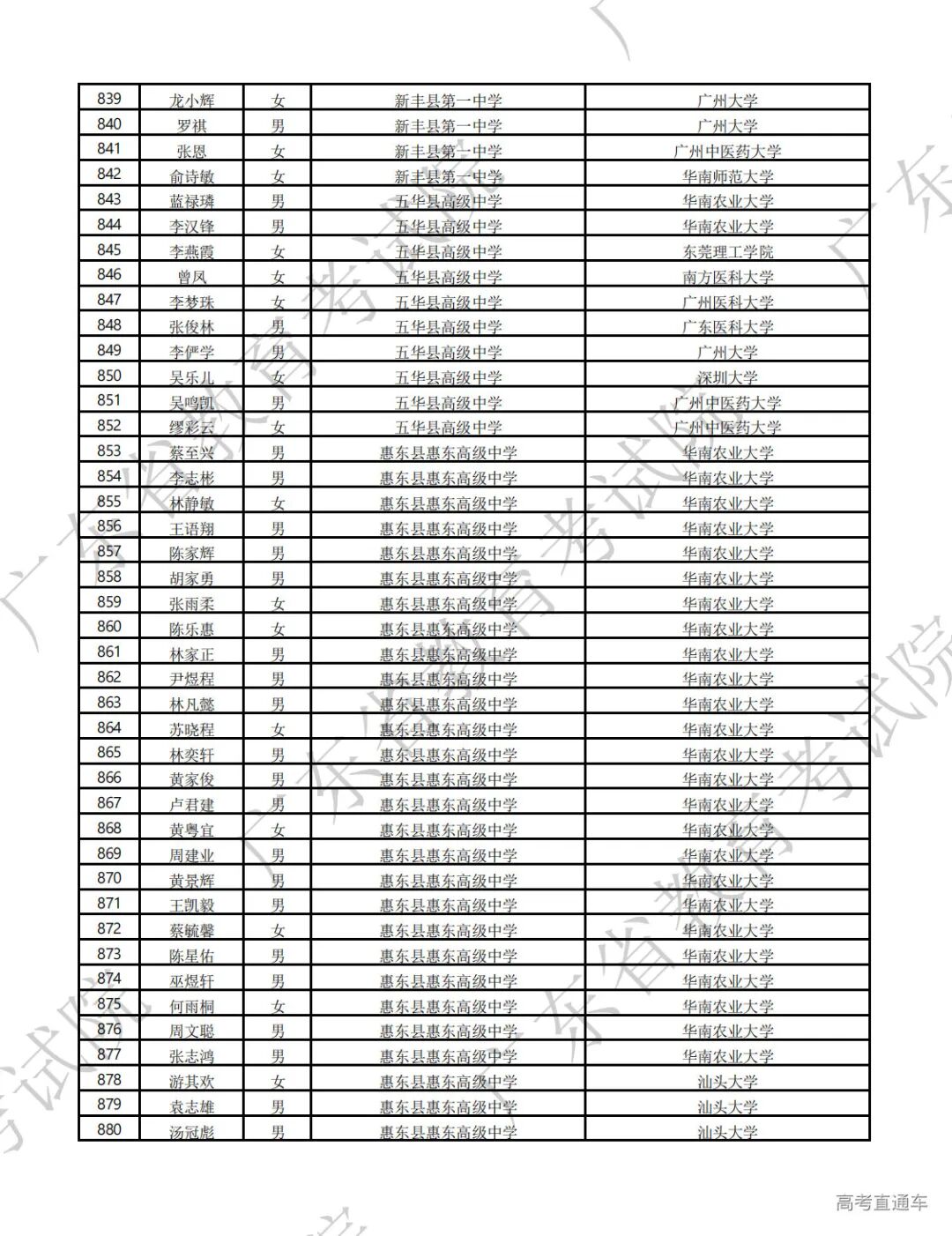
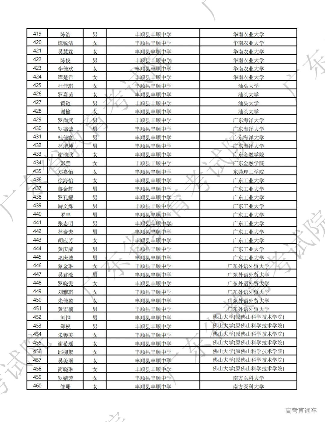
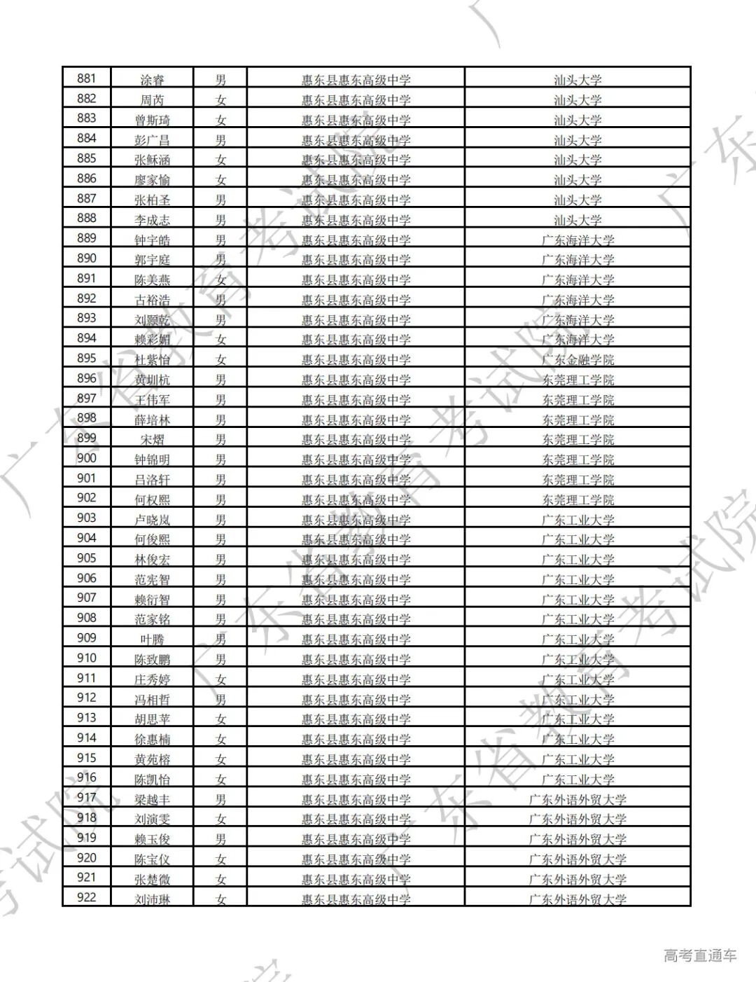
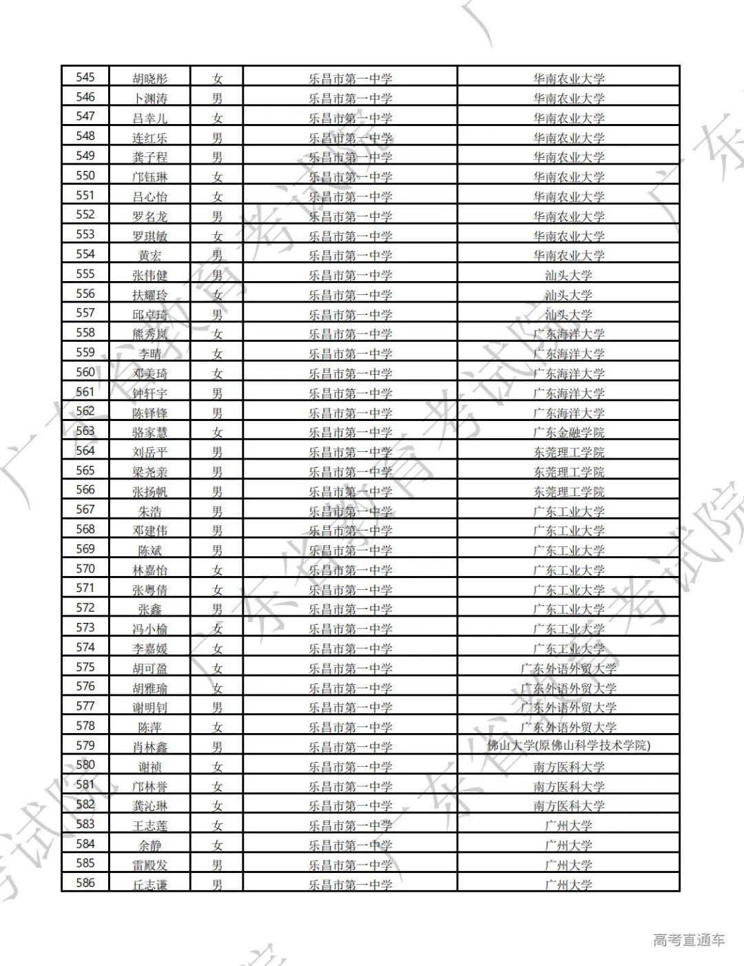
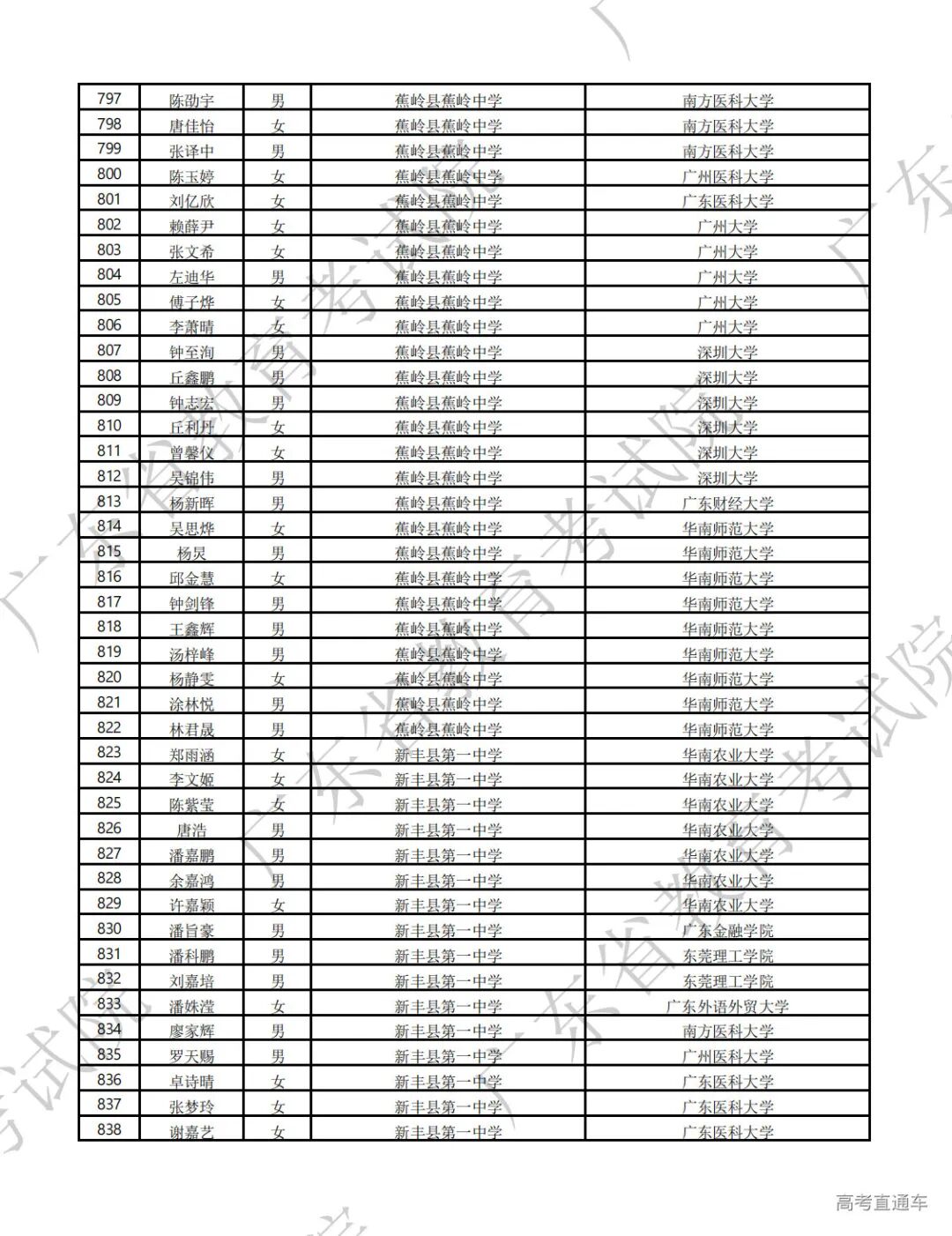
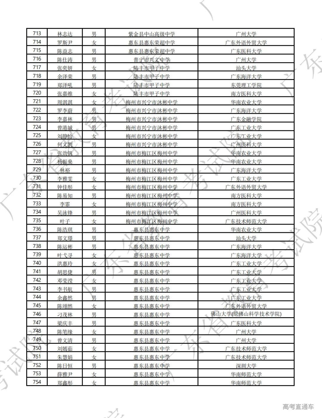
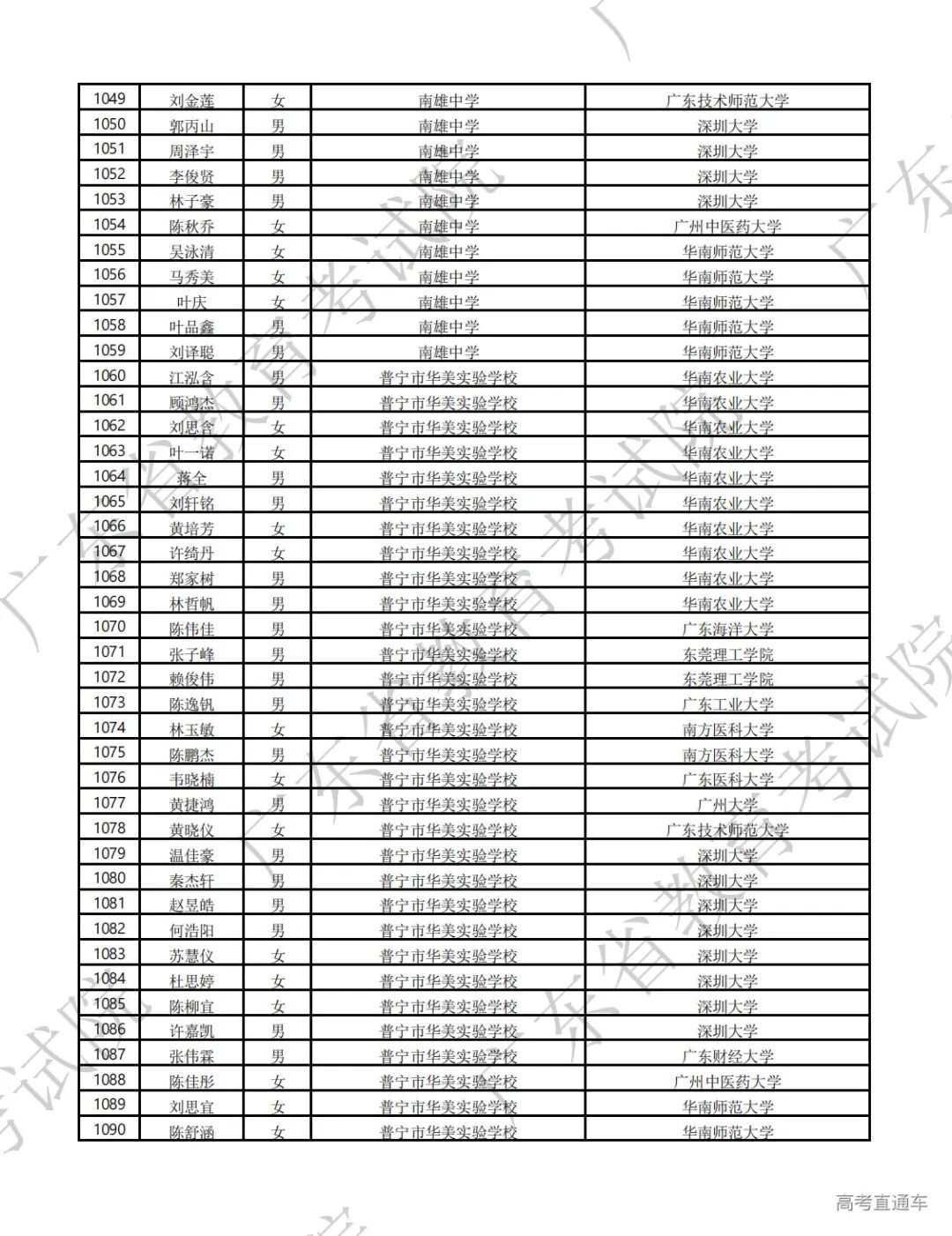
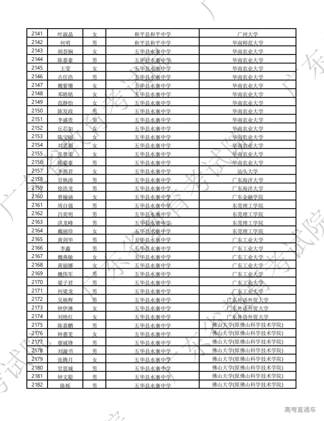
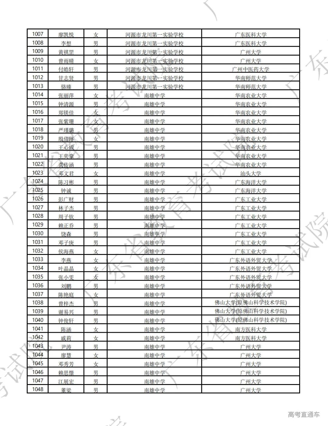
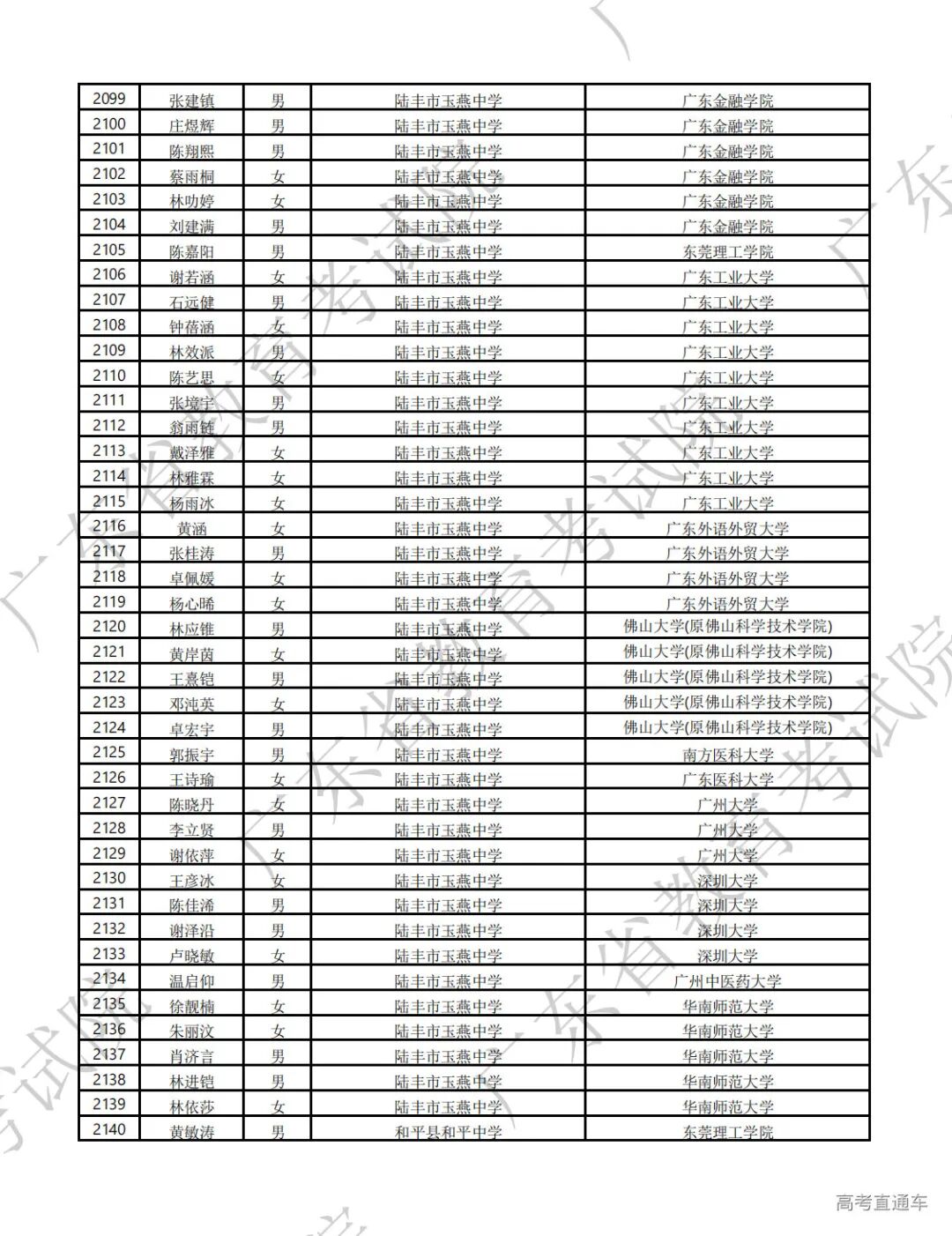
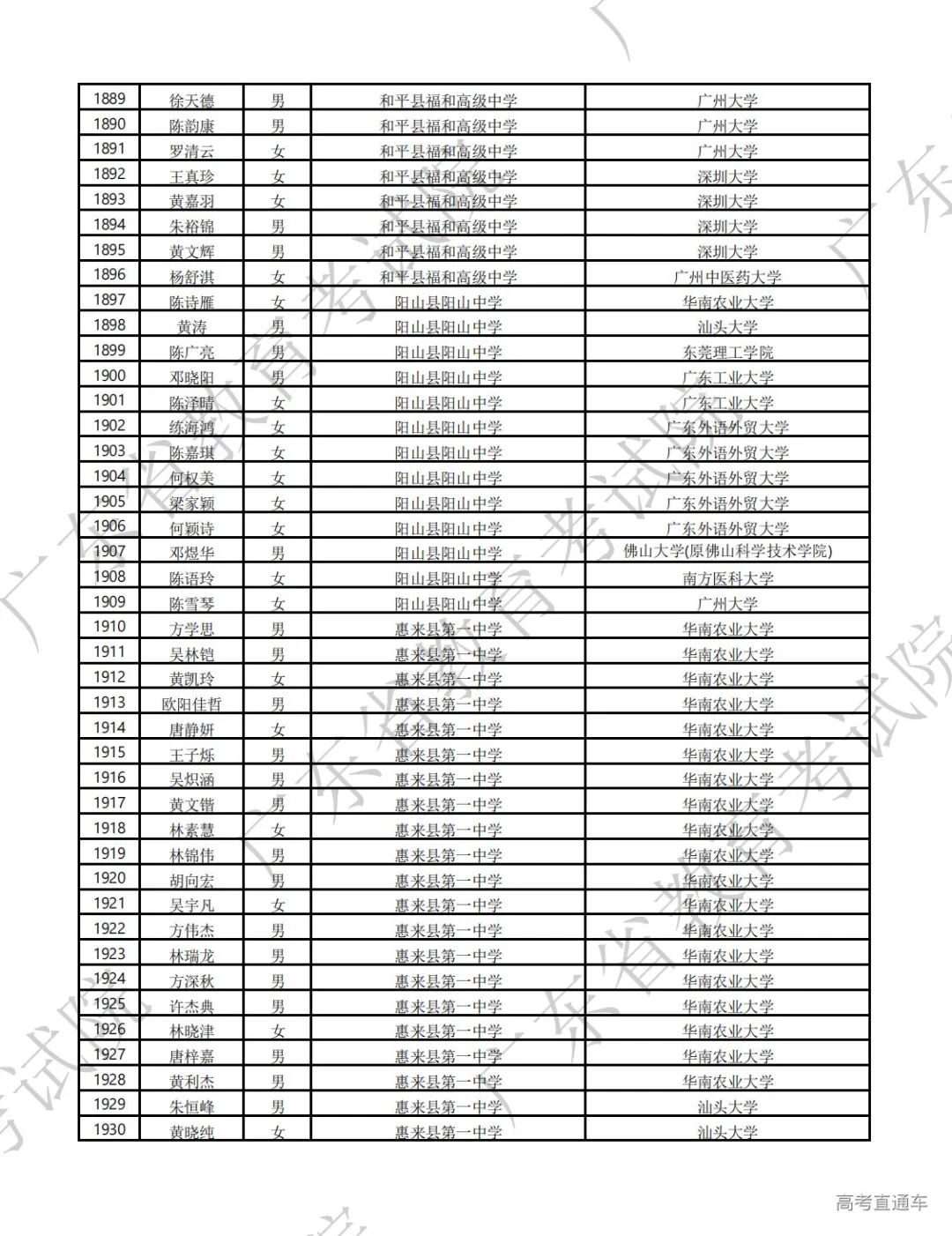
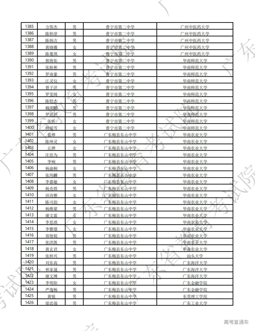
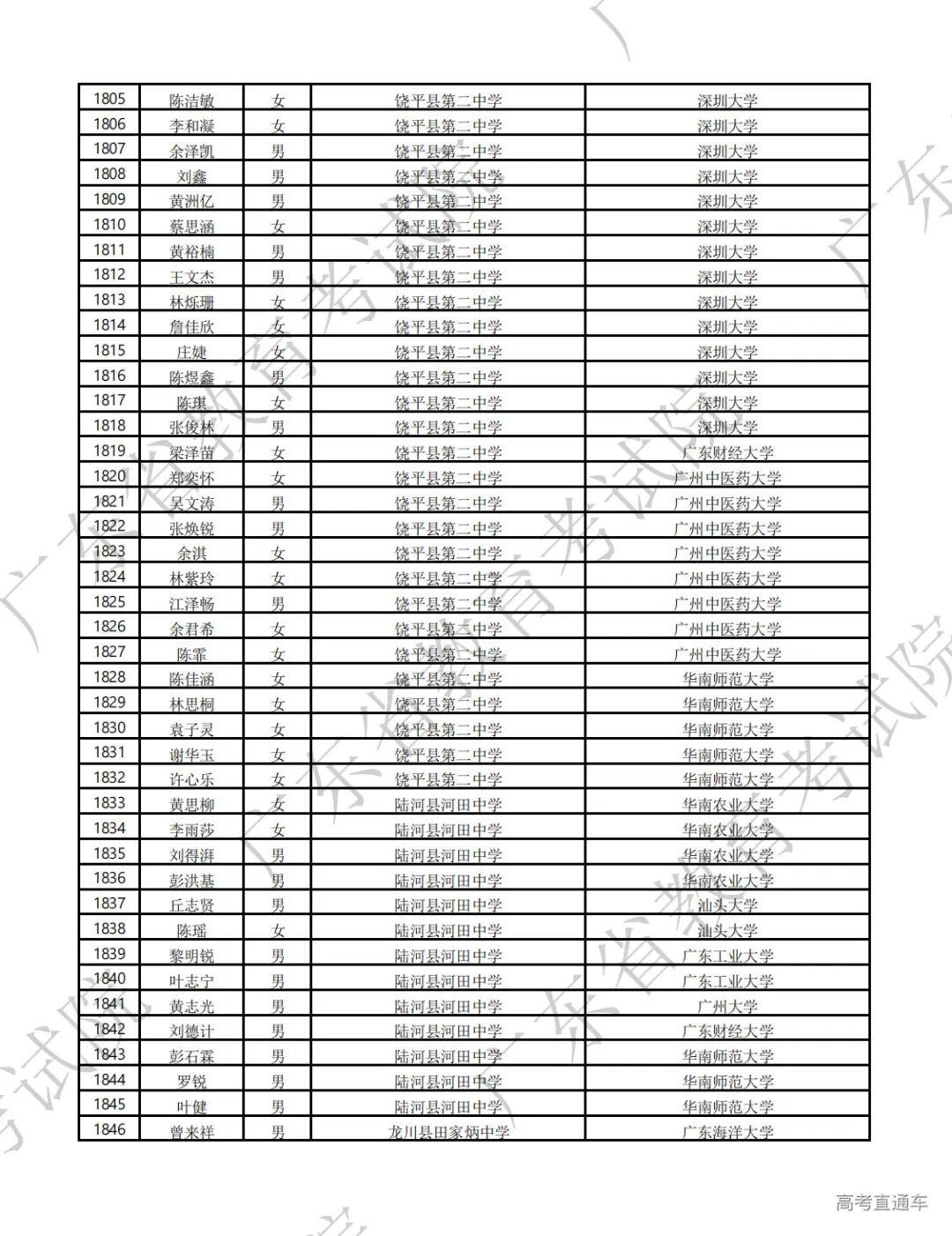
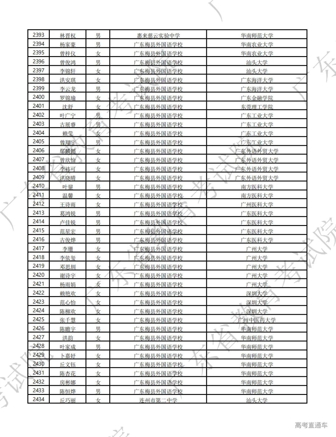
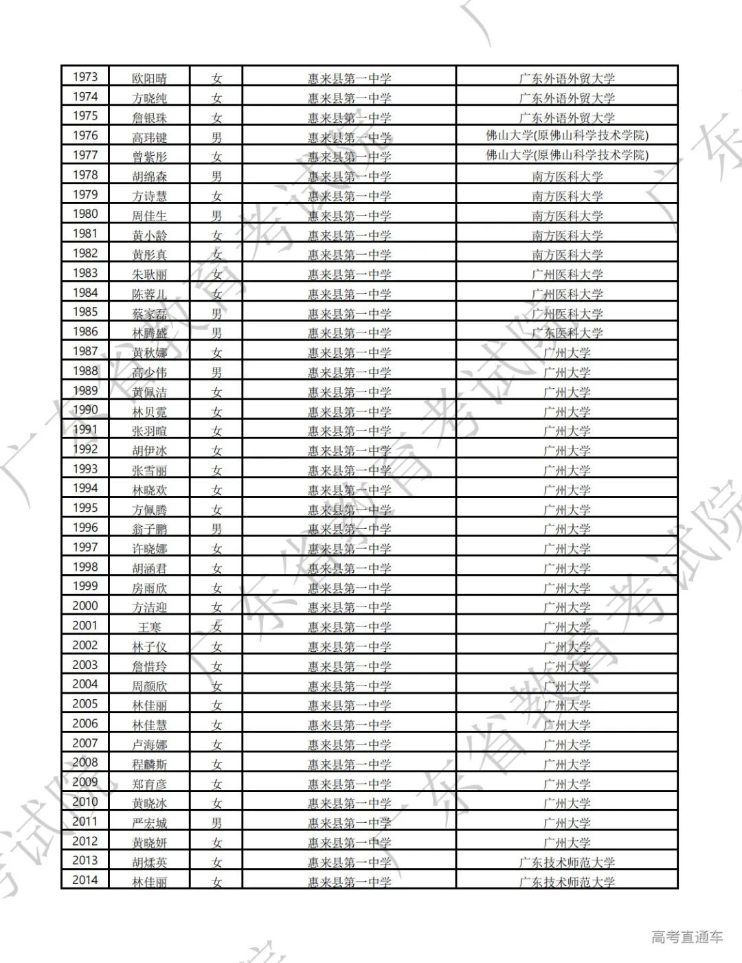
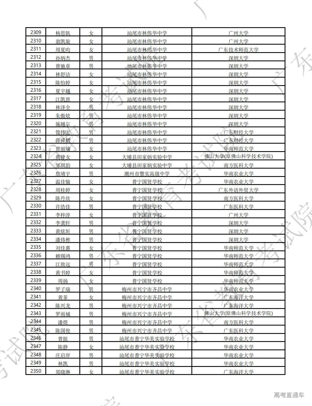
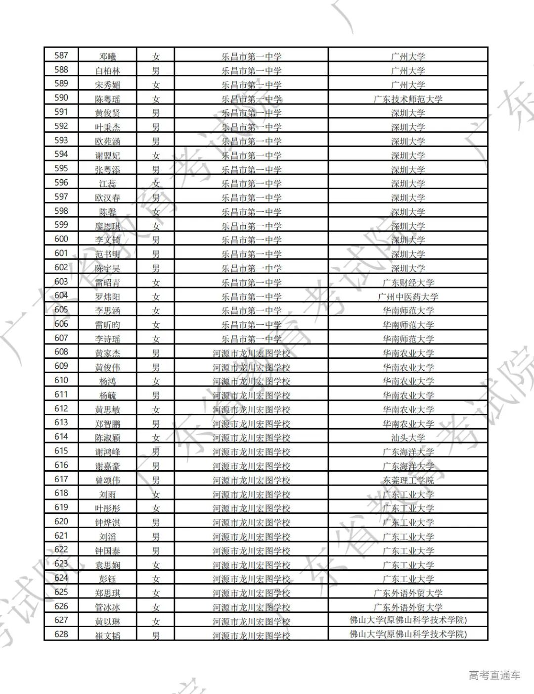
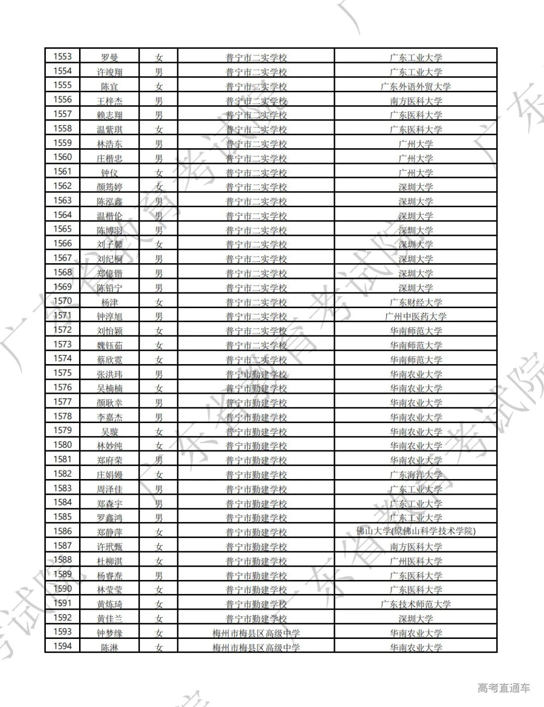
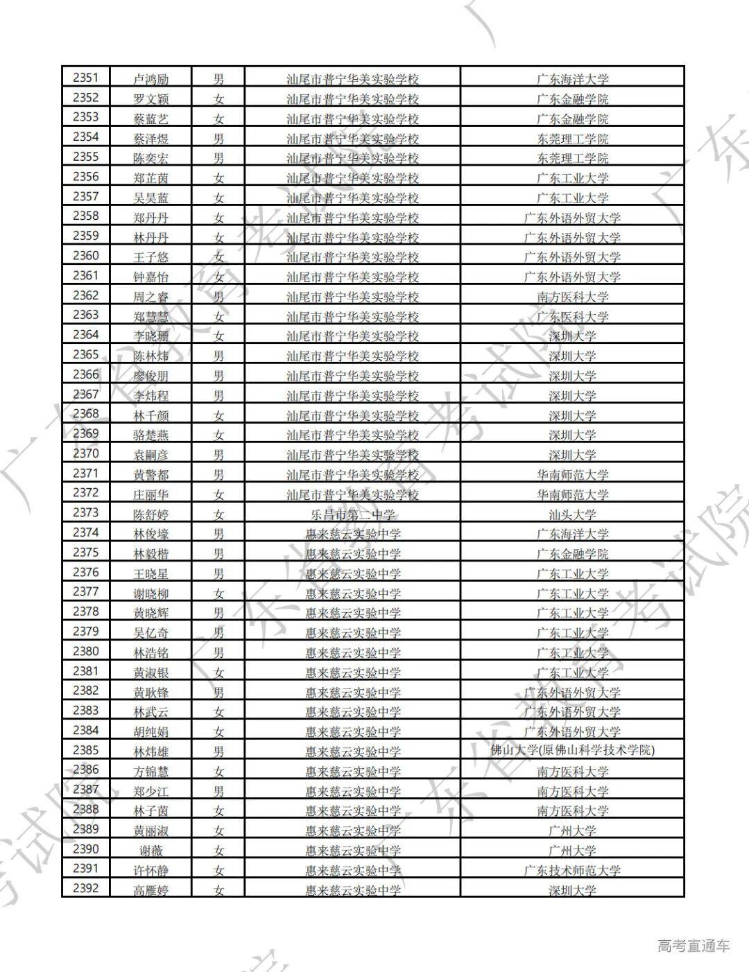
地方专项计划录取名单中,从毕业中学来看,普宁市第二中学被录取人数最多,达179人。紧随其后的是饶平县第二中学、惠来县第一中学、梅州市兴宁市第一中学、惠东县惠东高级中学,均超过130人被录取。具体如下图:
综合高校专项计划和地方专项计划来看,被录取人数最多的是普宁市第二中学。超过100人的还有饶平县第二中学、惠东县惠东高级中学、梅州市兴宁市第一中学和惠来县第一中学。具体如下图:
地方专项计划招生的17所院校全部来自省内本科高校,招生专业以为广东产业转型升级、实施创新驱动发展战略提供支撑的理工类专业以及贫困地区经济和社会发展急需的农林、医学、师范等专业为主。
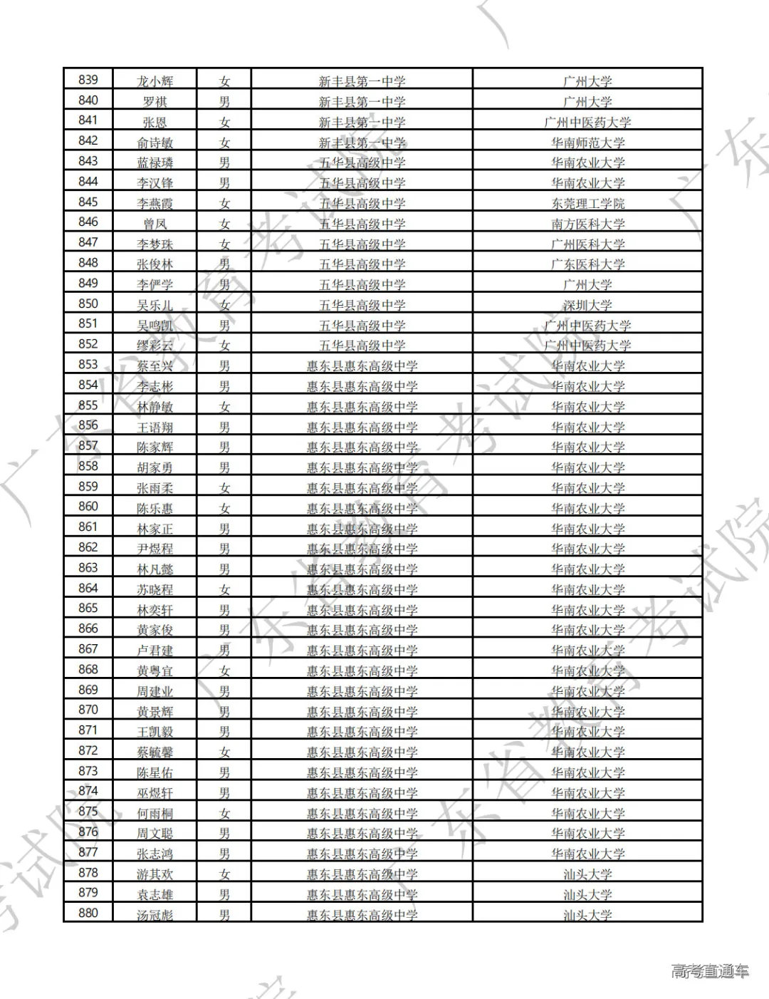
其中华南农业大学录取人数最多,达450人。广东工业大学和深圳大学分别以300人和260人排在第二和第三名。17所高校共录取2460人,与原招生计划安排相较缺额20人(详见通知原文),主要体现在广东海洋大学缺额3人,佛山大学缺额14人,广州医科大学缺额3人;缺额或受选科限制、实施区域限制等影响。具体如下图:
从今年投档情况来看,物理类最高是华南农业大学的239专业组,投档最低分为592分,最低的是来自佛山大学218专业组的512分。历史类最高的是华南师范大学212专业组,投档最低分为583分,最低的是佛山大学226专业组的510分,该校的224专业组更是0投档。具体分析可点链接了解:佛大垫底!广东地方专项各校近2年投档分对比,物理全超520分
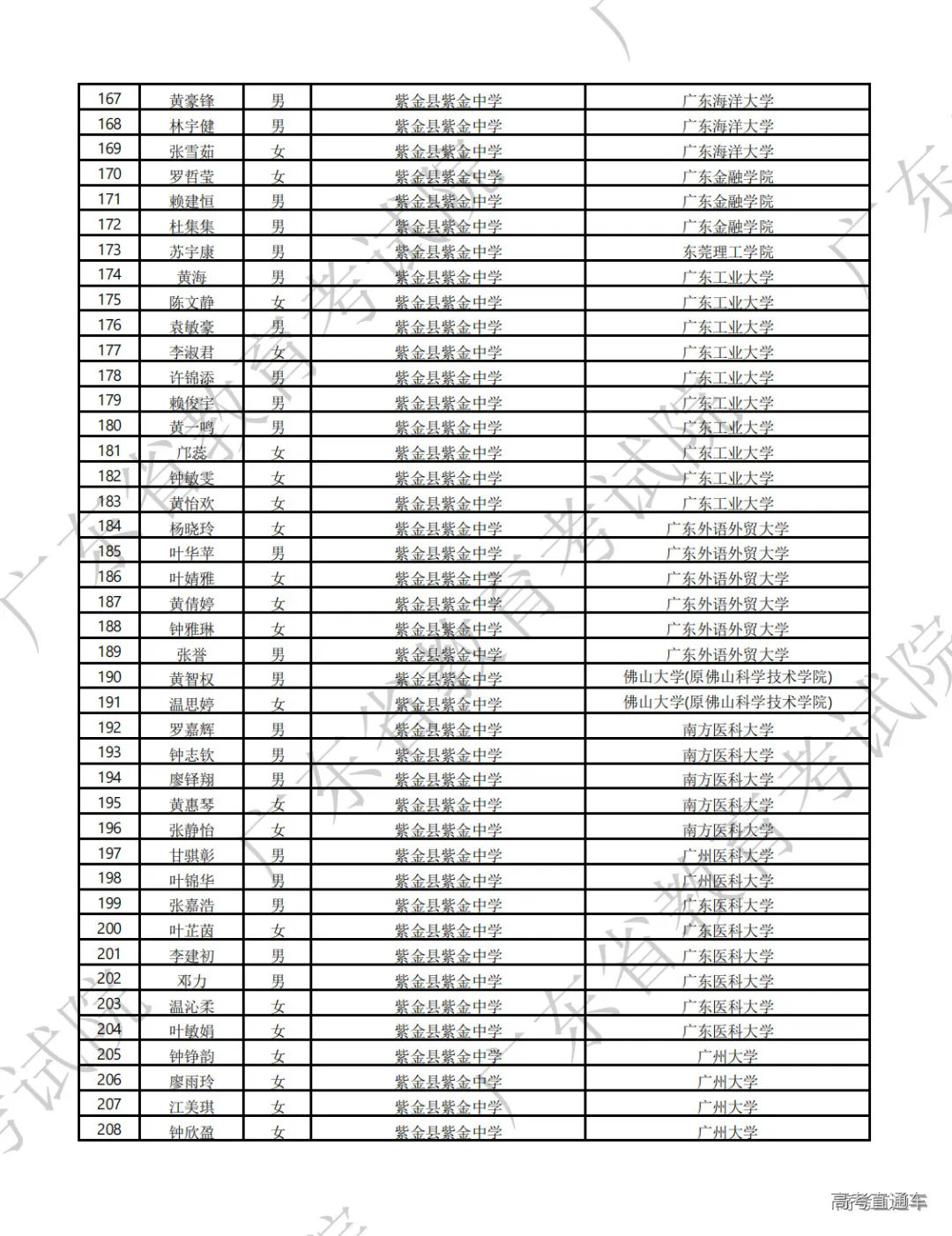
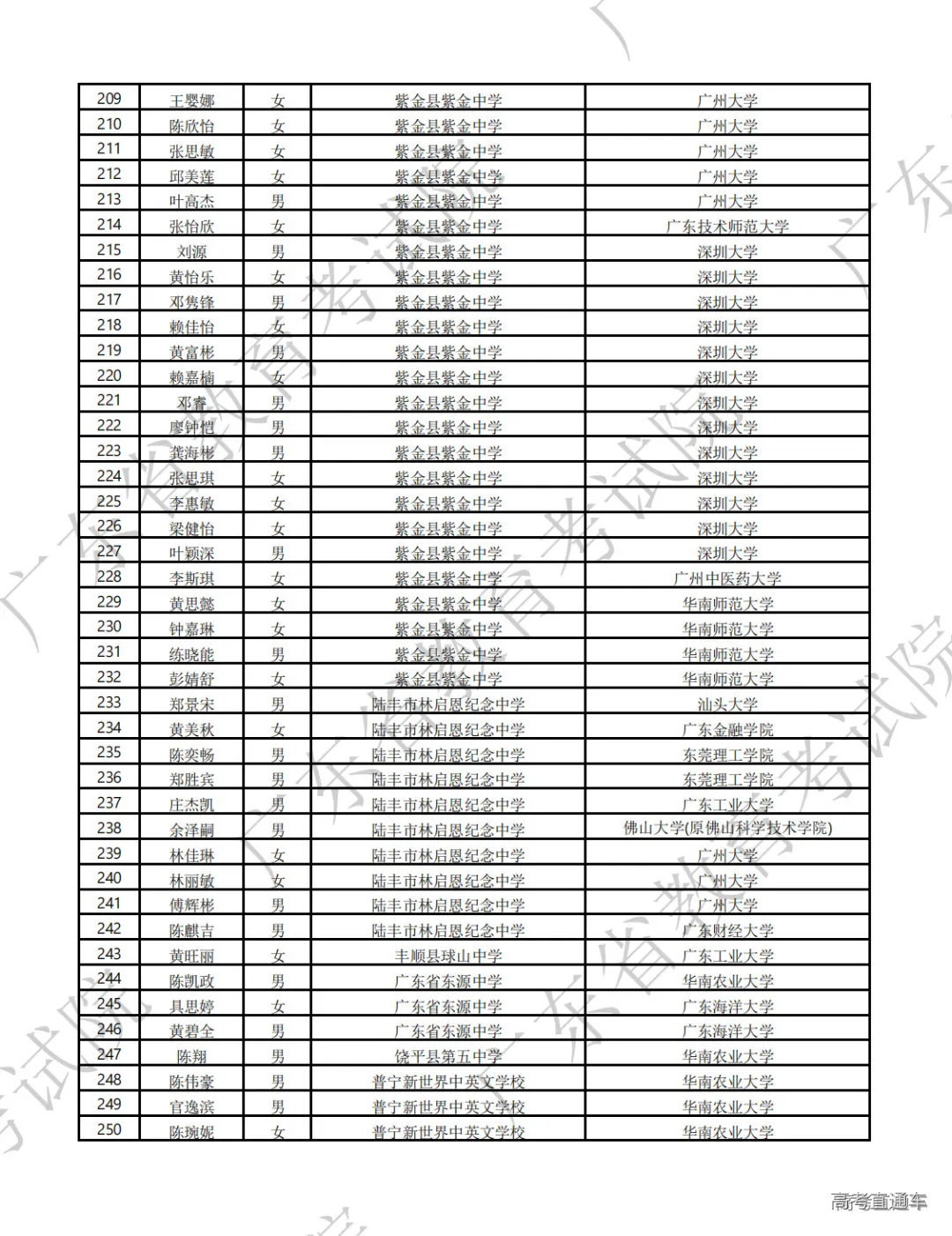
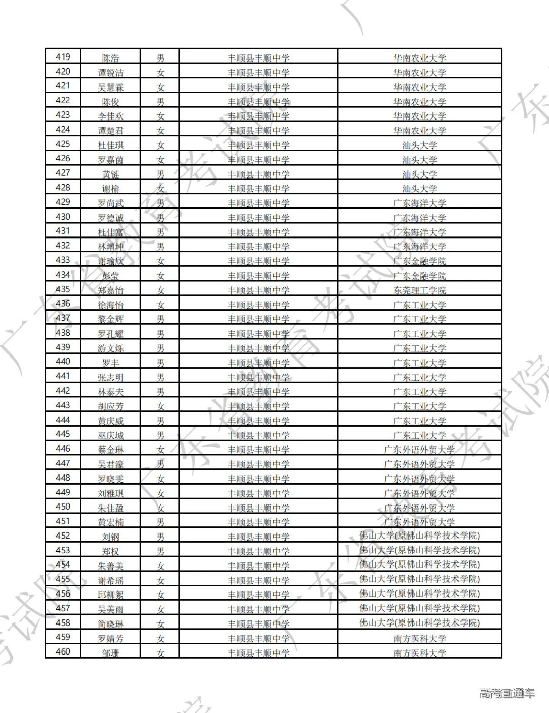
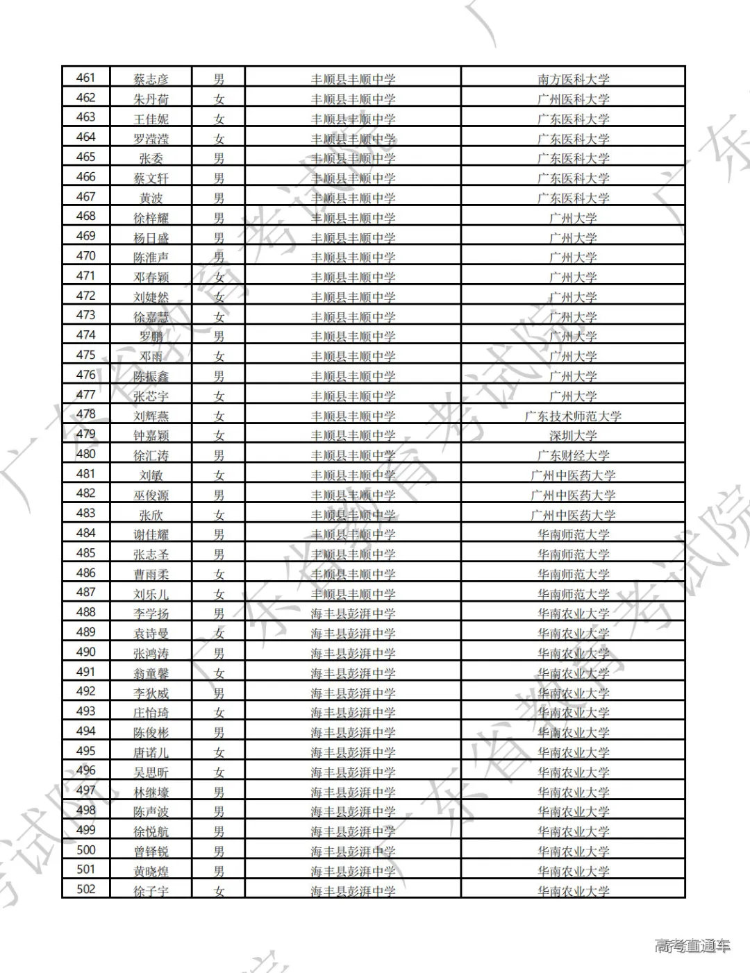
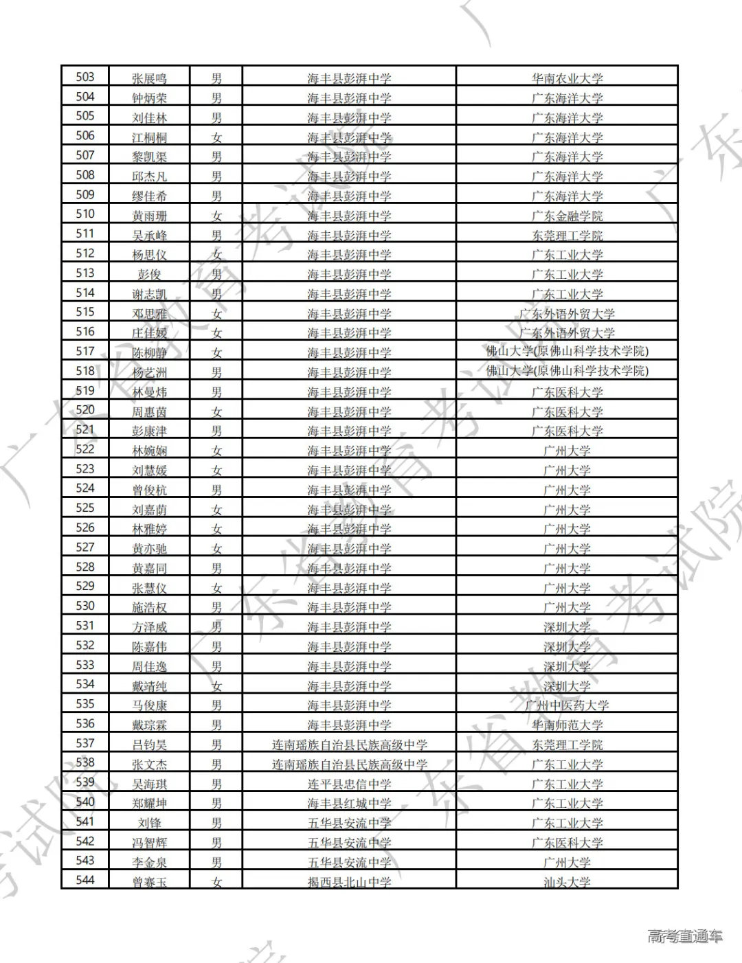
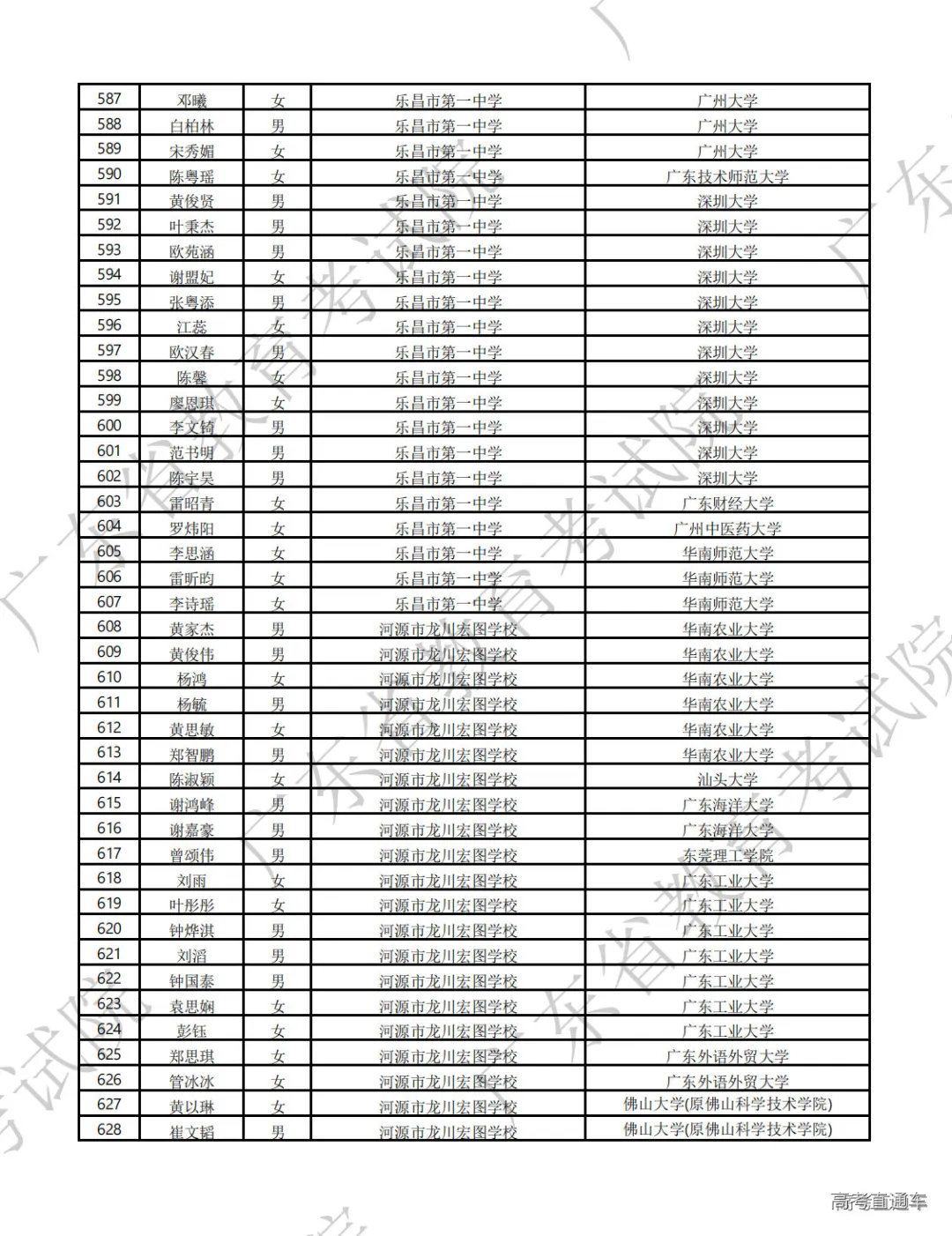
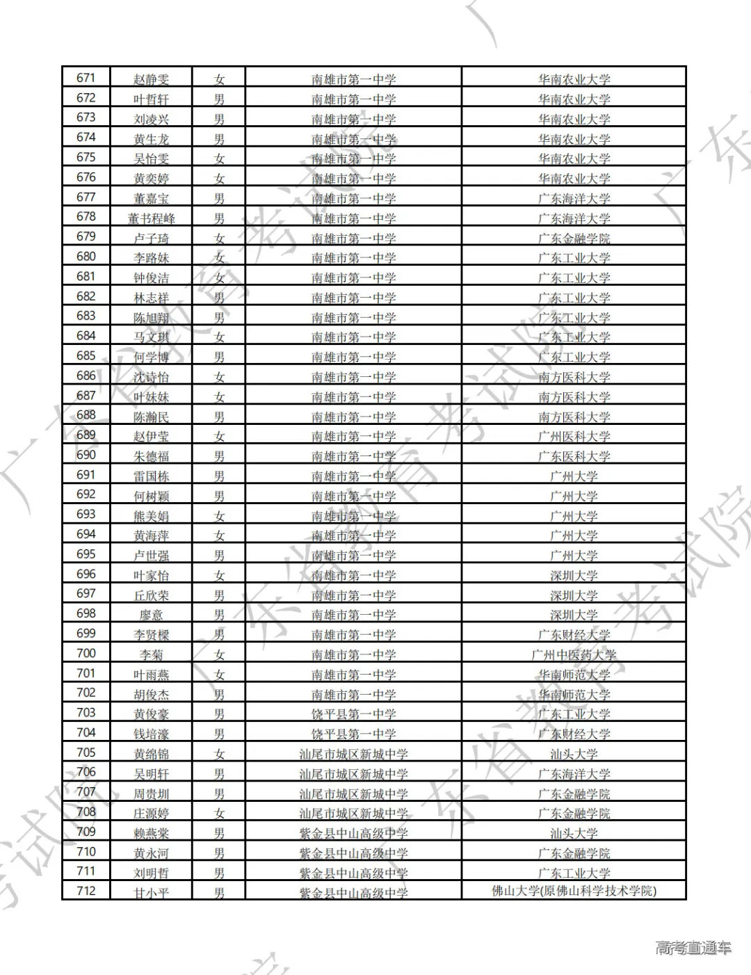
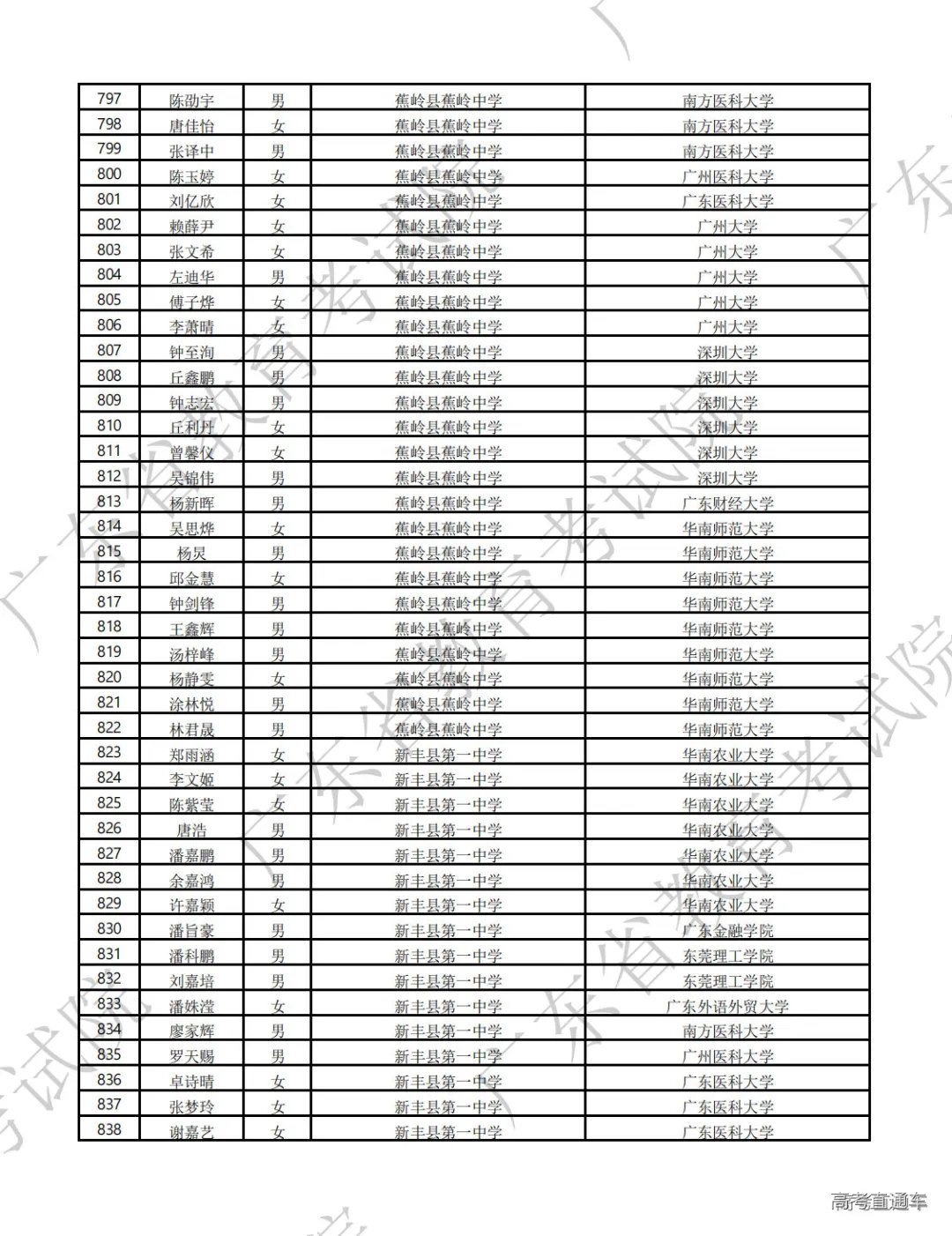
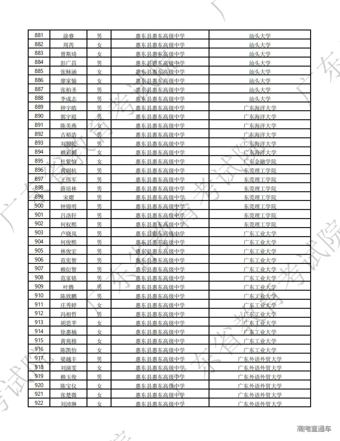
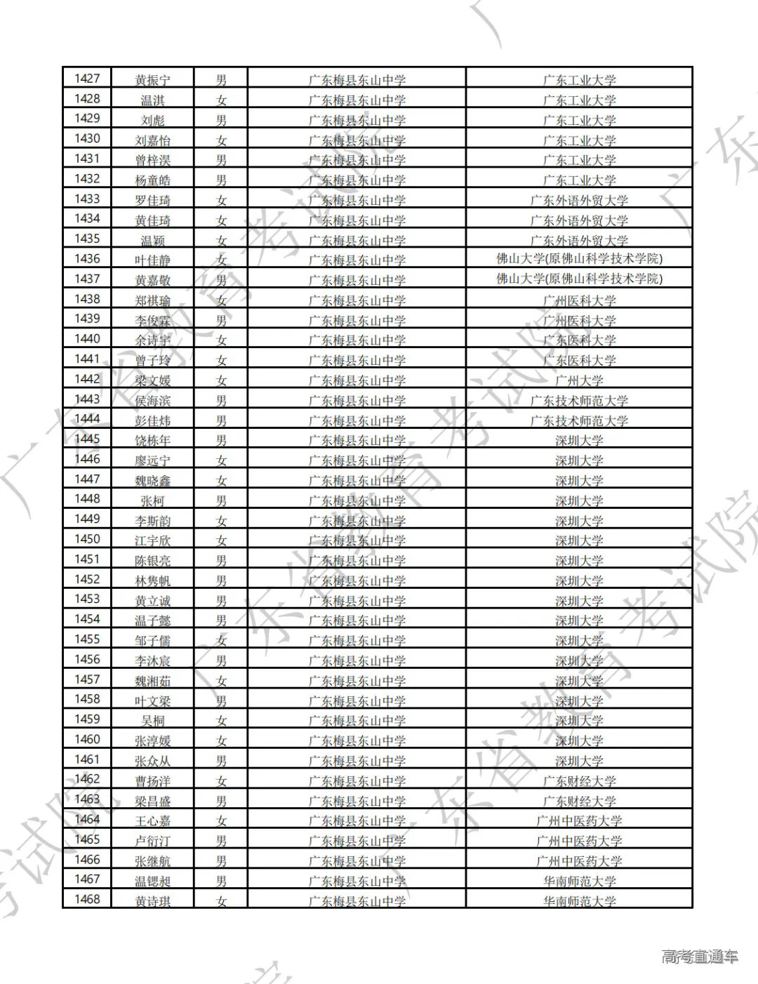
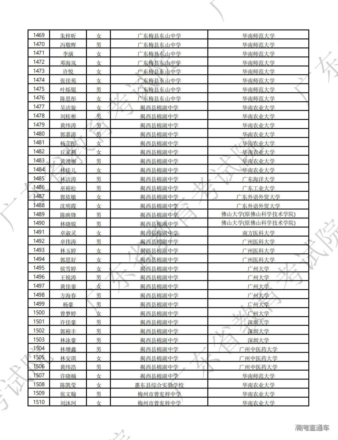
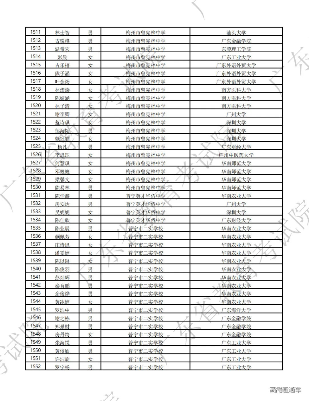
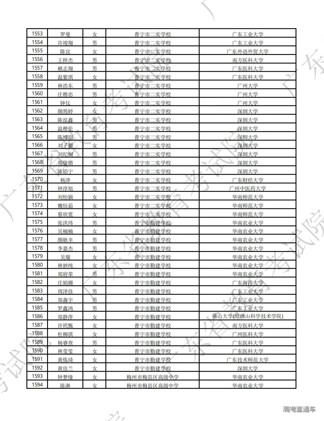
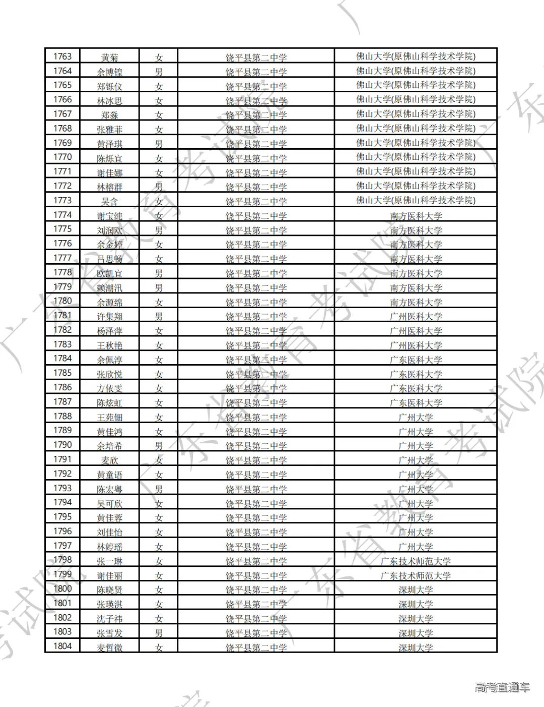
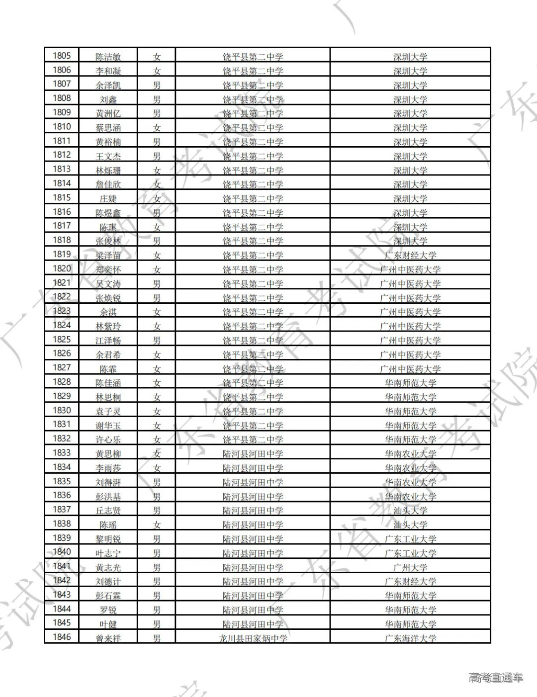
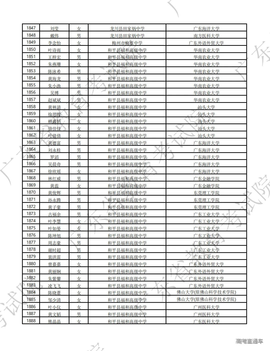
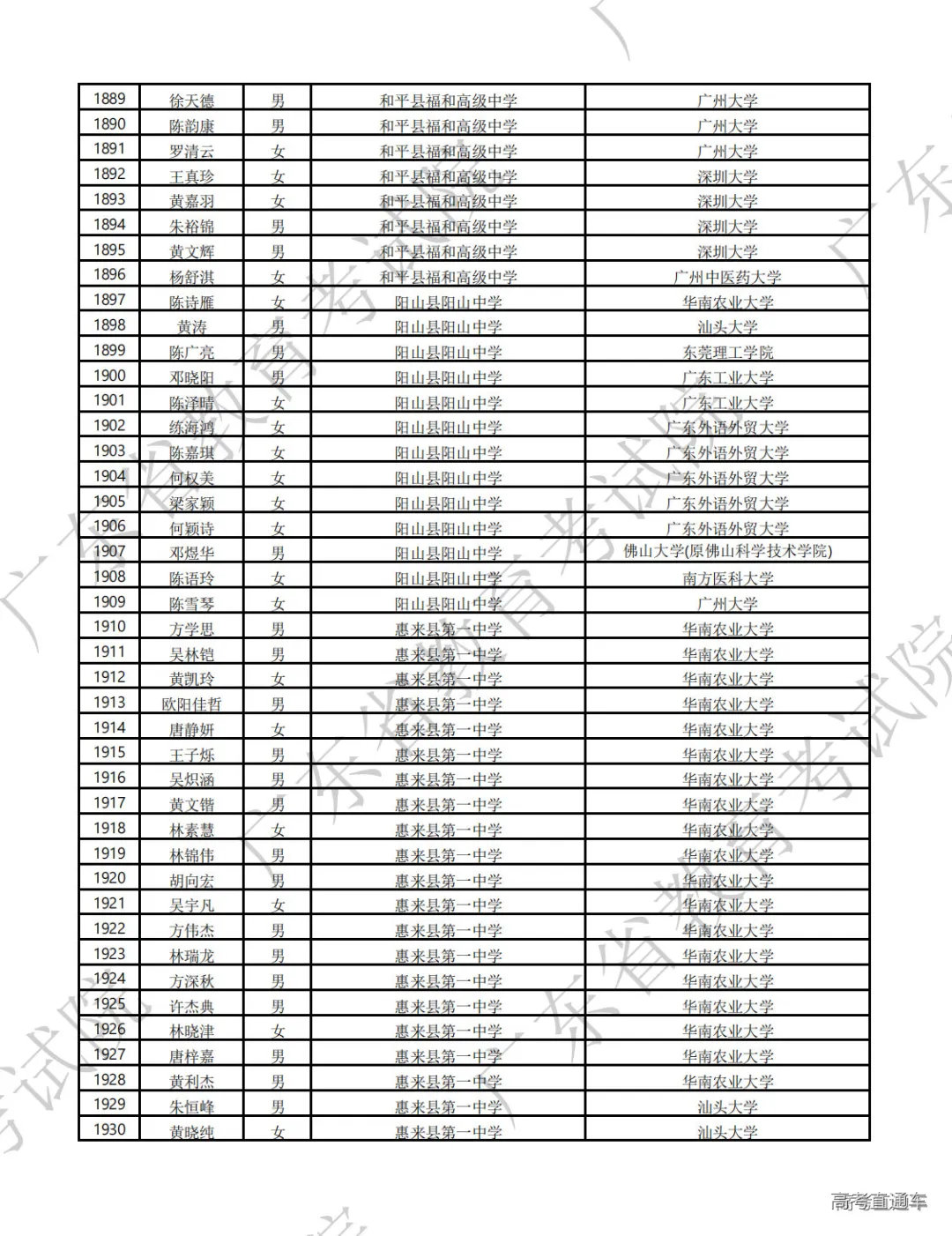
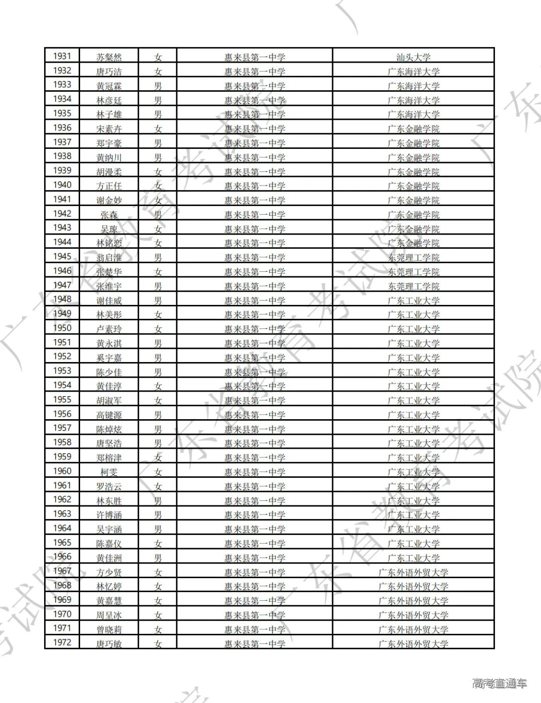
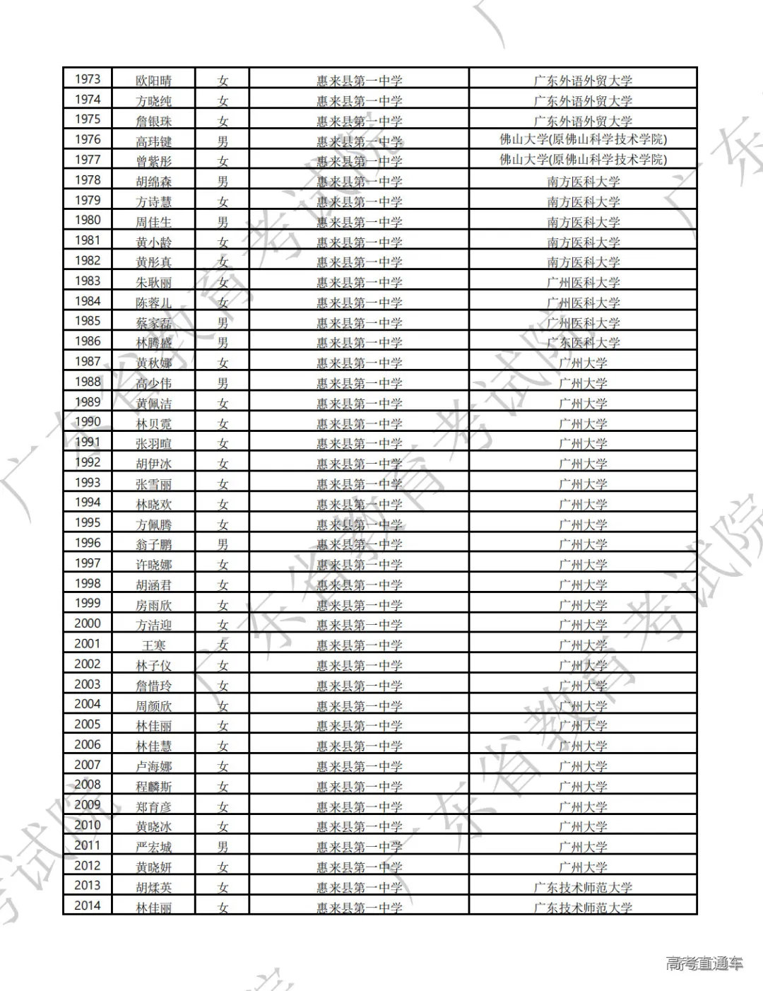
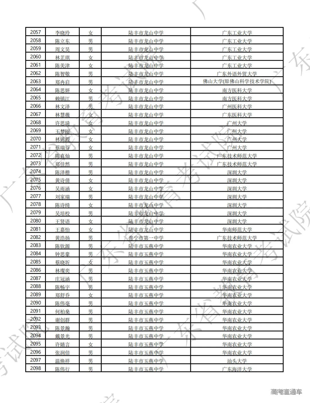
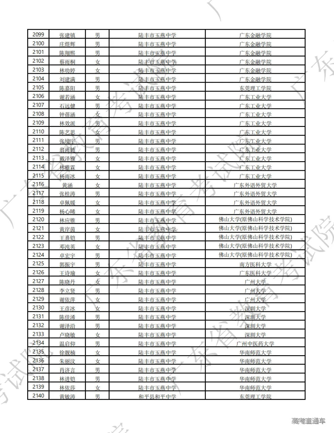
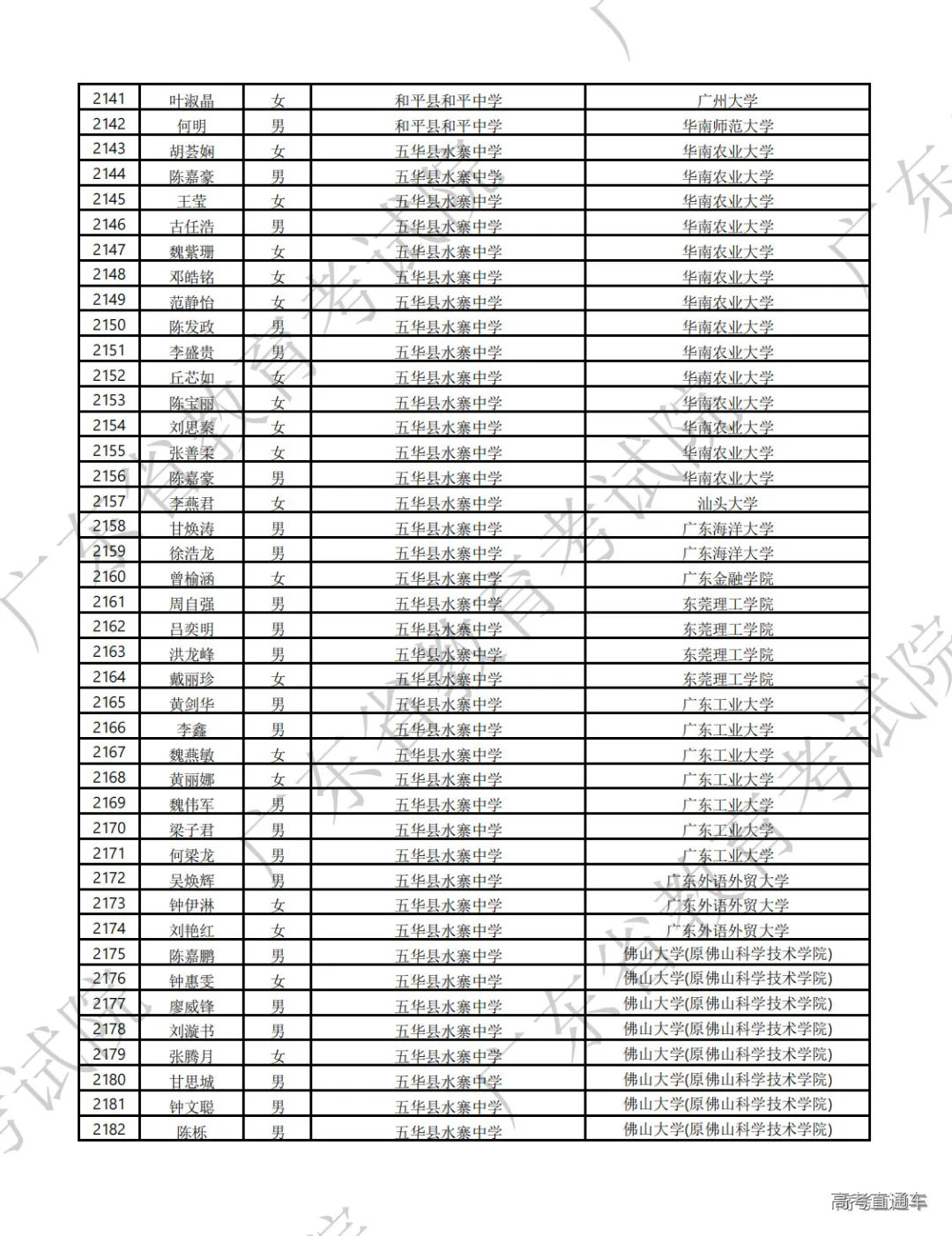
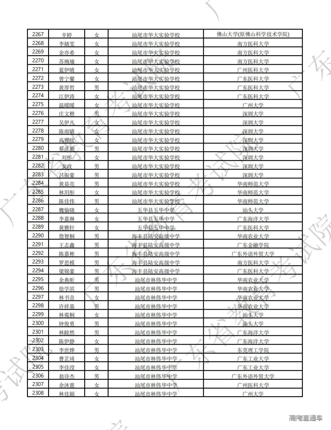
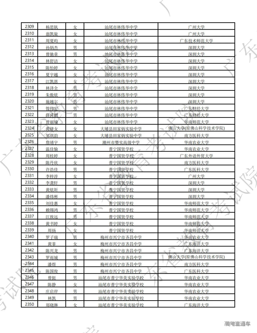
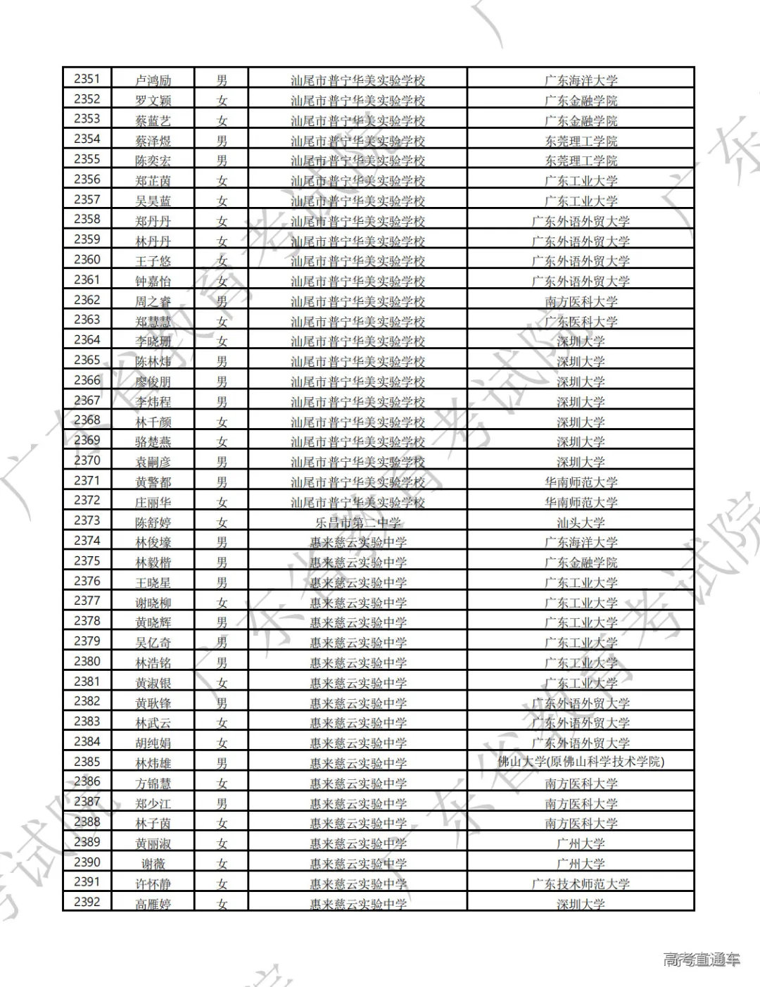
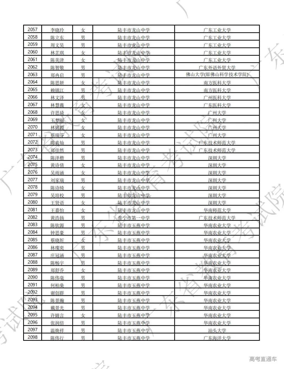
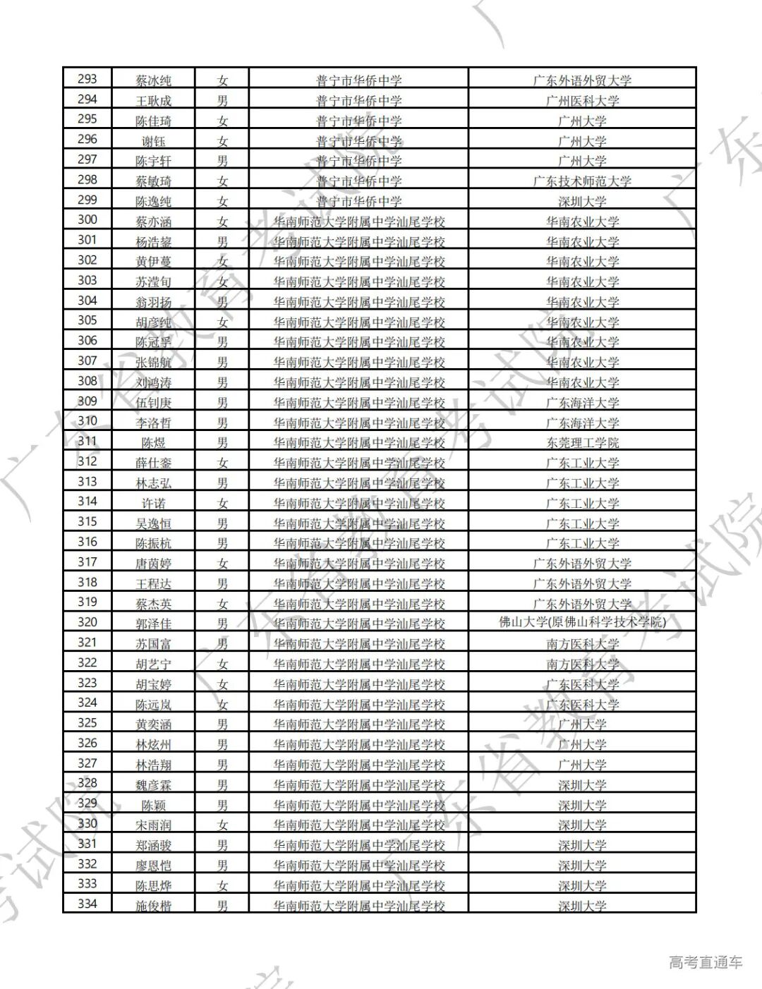
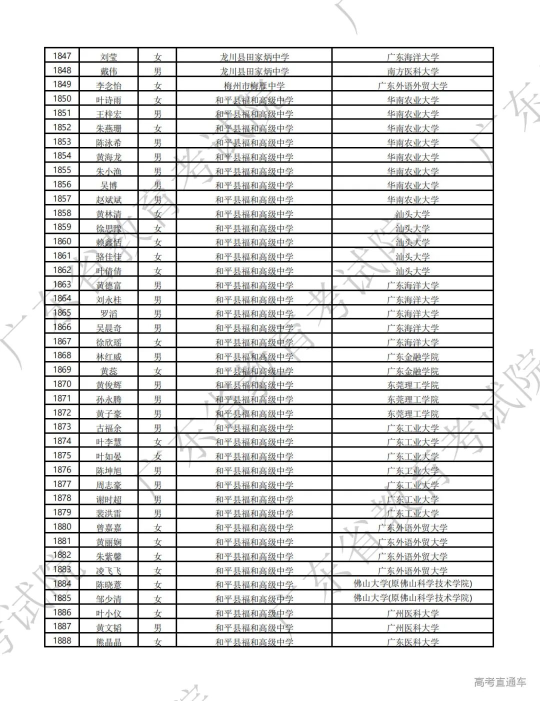
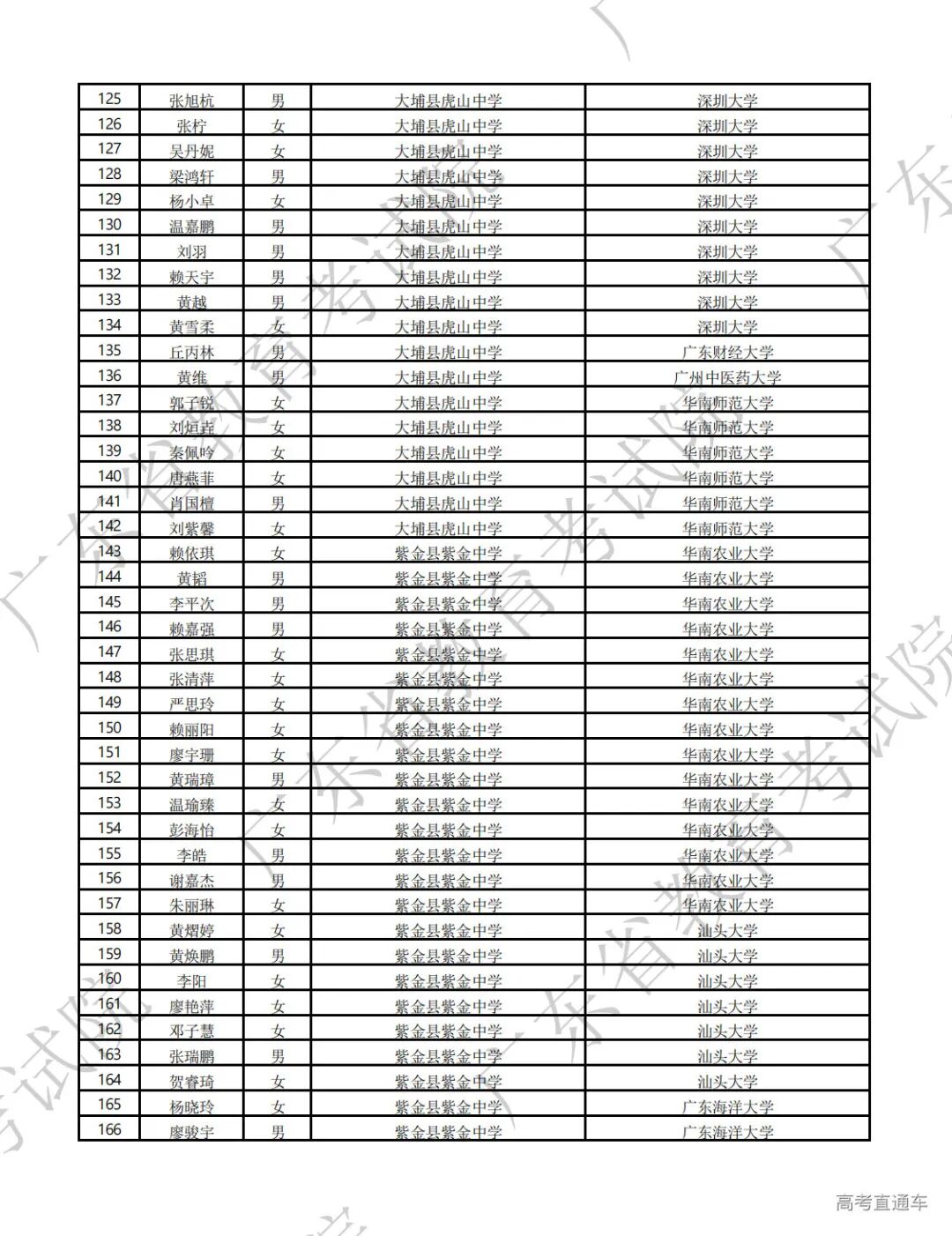
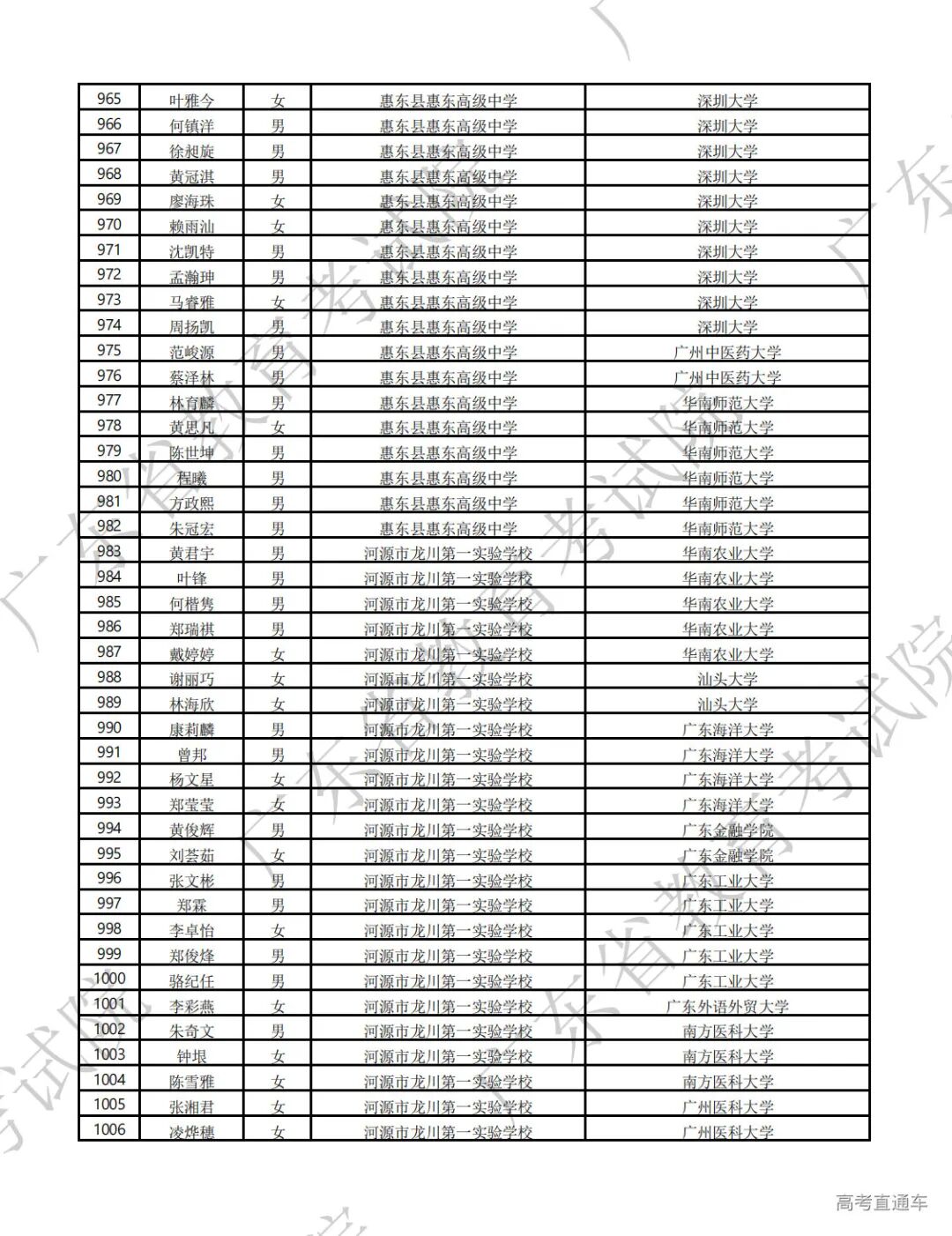
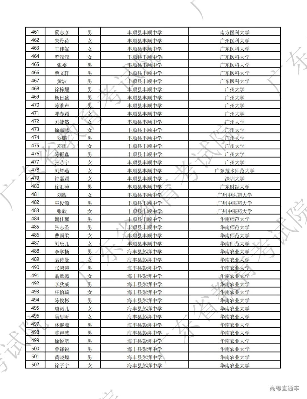
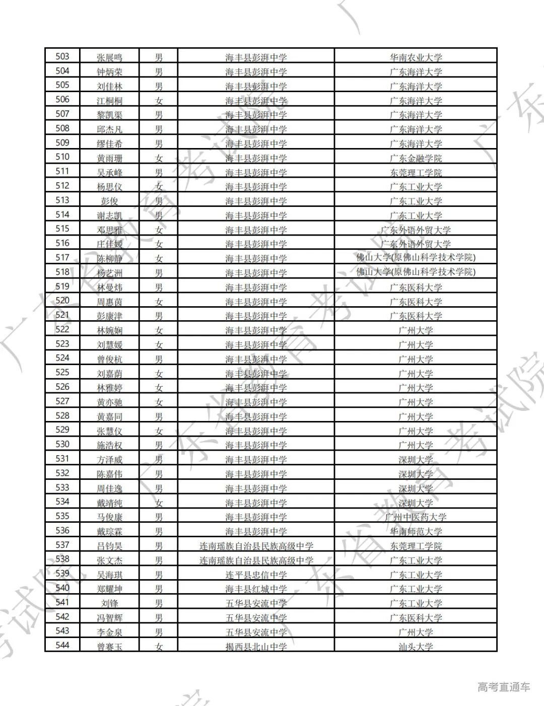
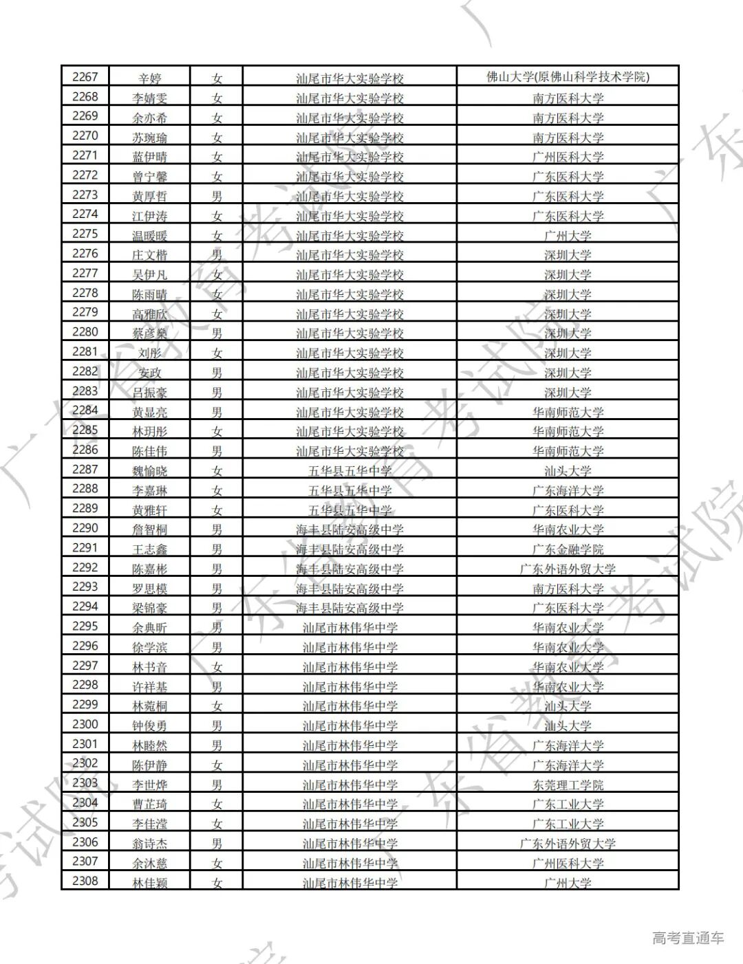
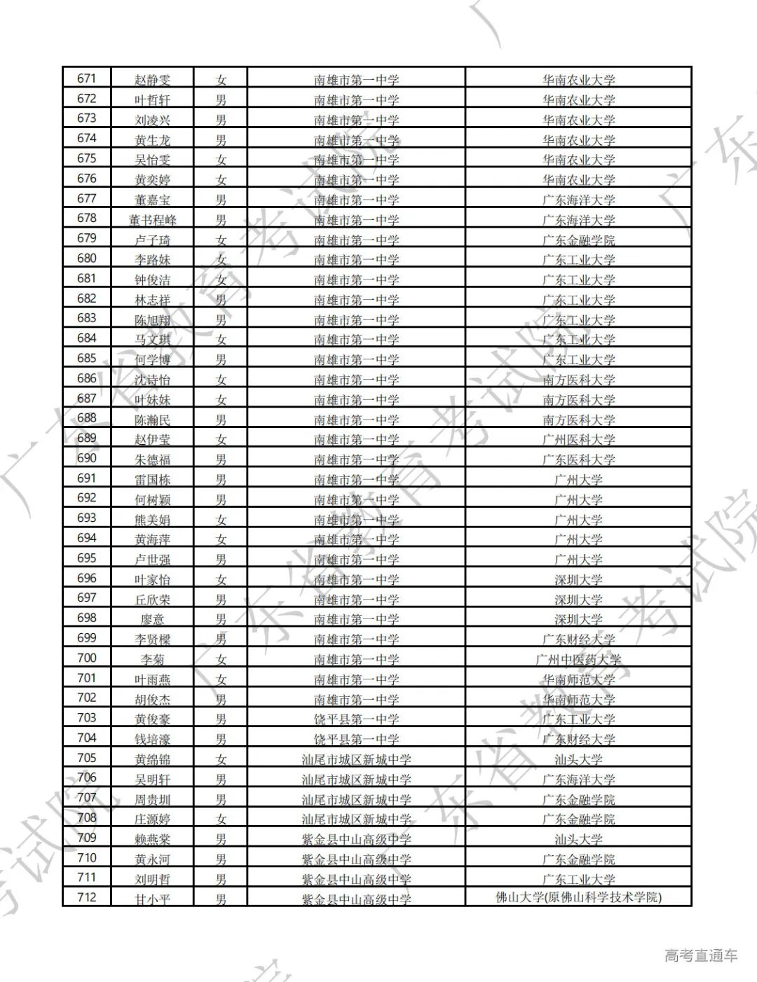
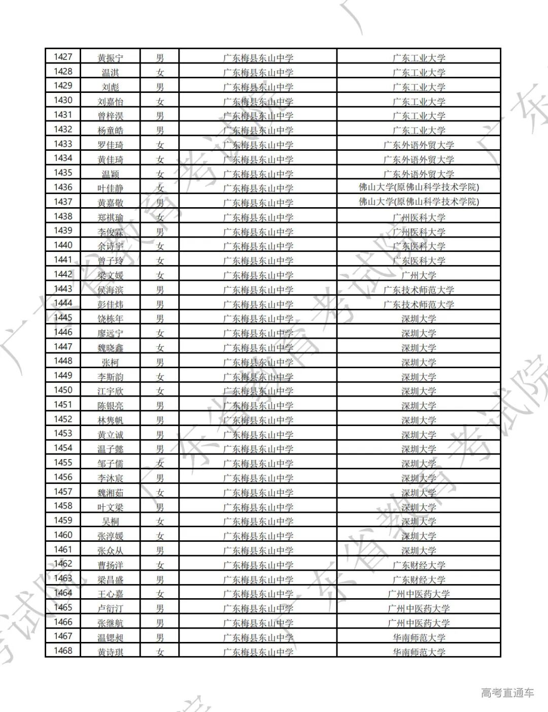
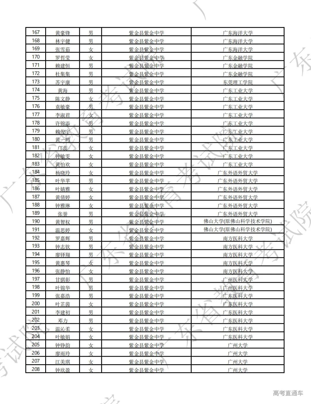
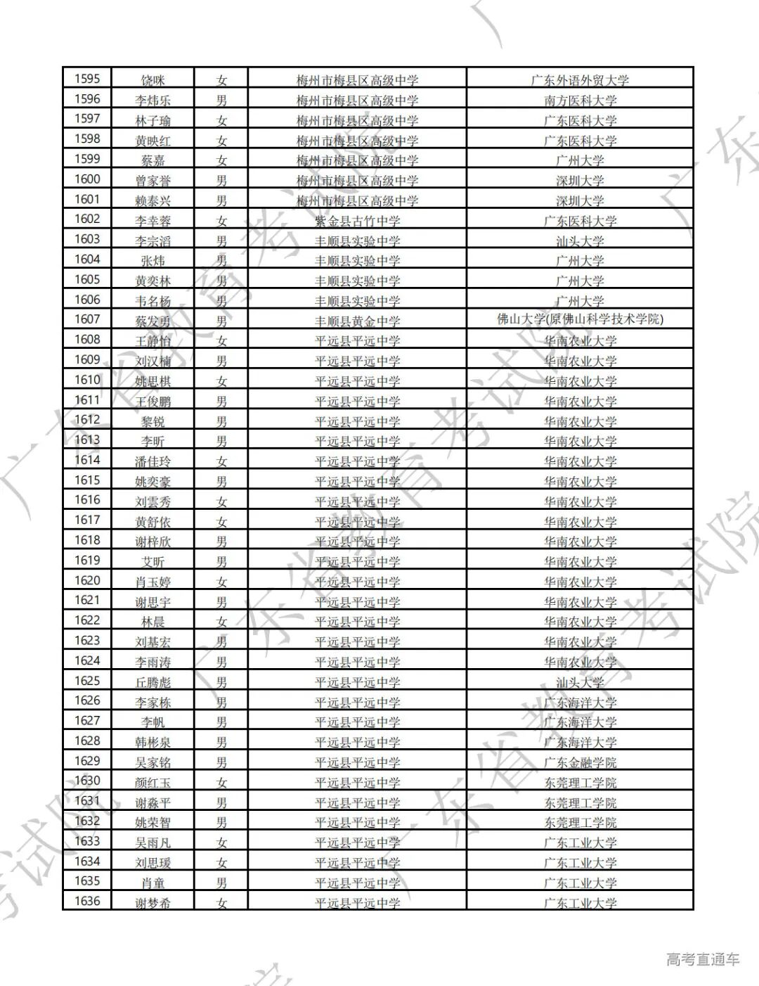
附:广东2024年地方专项计划录取考生名单👇
有意报考专项计划的2025届考生,可以认真阅读下方两个链接的内容,提前了解报考条件、实施区域、所需材料等






































































