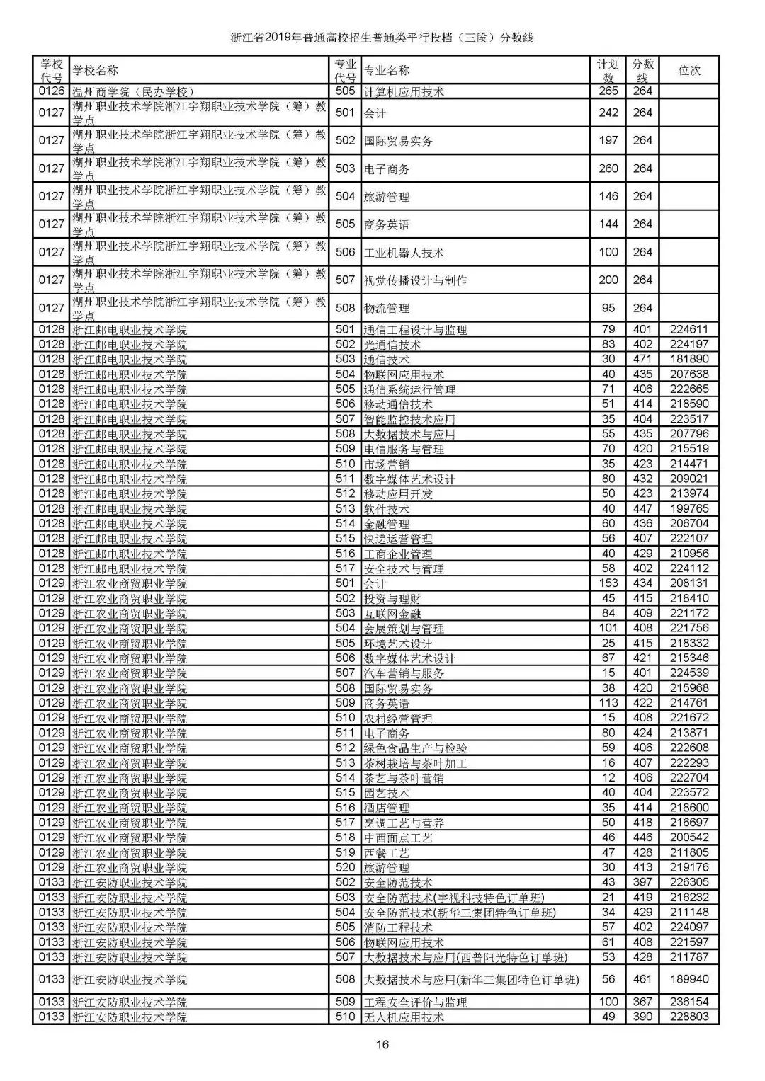
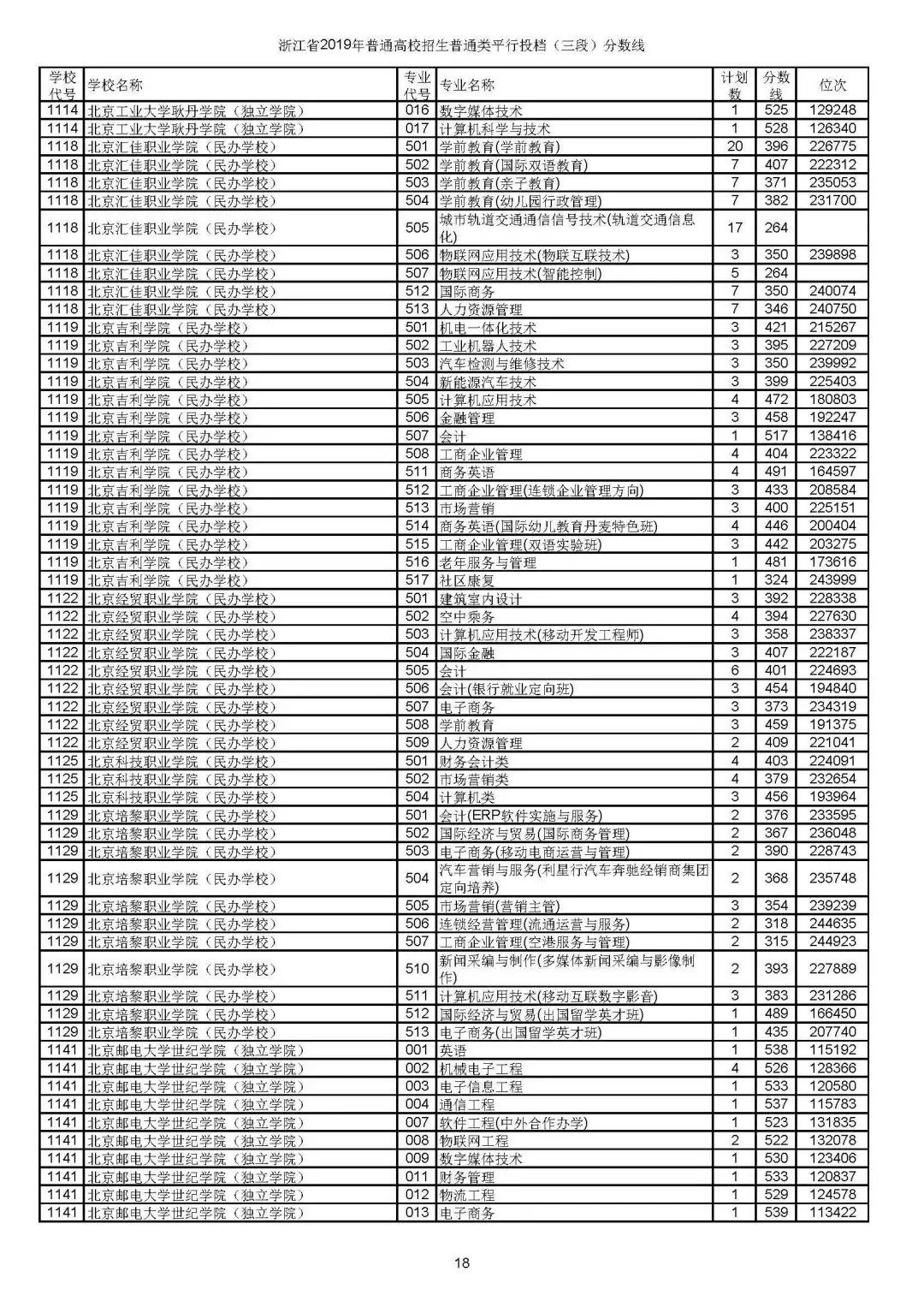
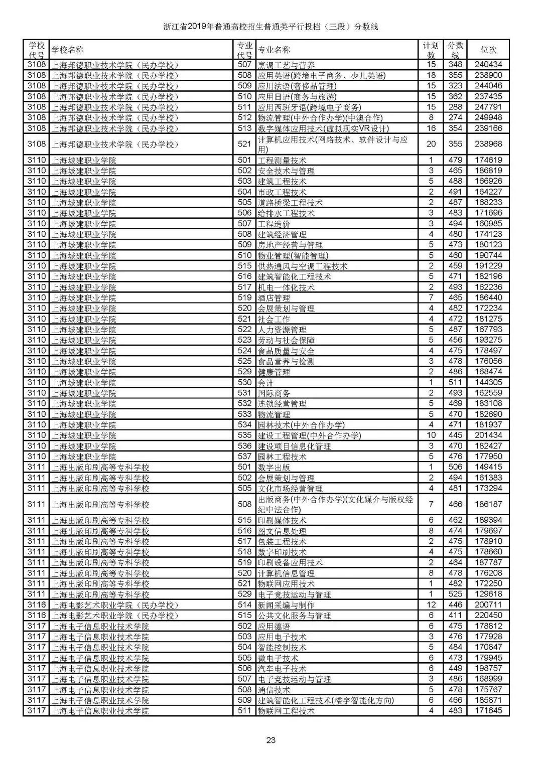
投档后,各高校专业投档分数线随即出炉。专业平行志愿中,各专业投档线是投档到该院校专业的最后一名考生的成绩,是投档后自然形成的。因此,考生可对照自己的志愿清单和相应专业投档线预估自己的档案去向。需注意的是,高考总分相同的考生依据位次、志愿顺序投档,若考生总分上线但位次或志愿序号未达到,仍将无法被投档到该院校专业。
特别提醒:三段线下考生也有升学机会!按照我省高考第三段投档情况,后续还将进行征求志愿。今年我省高职实施扩招,凡高考三段线上未被录取及三段线下的考生,均可参加后续征求志愿填报和投档。按照我省高考录取进程,8月11日将统一公布征求计划,8月12日填报征求志愿。有关考生请密切关注,把握好填报志愿和投档录取机会。
普通类第三段平行志愿专业投档线
















































