按照《教育部办公厅关于印发<普通高校本科招生专业选考科目要求指引(通用版)>的通知》(以下简称《指引》)要求,各高校编报了2024年拟在闽招生的普通高校本科专业选考科目要求,经学校主管部门审核、教育部统编后已分发我省,现予以集中公布,供参加我省2024年普通高考的学生选科时参考使用,并就有关事项说明如下:
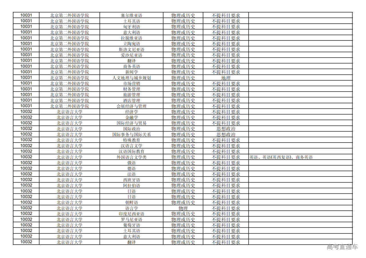
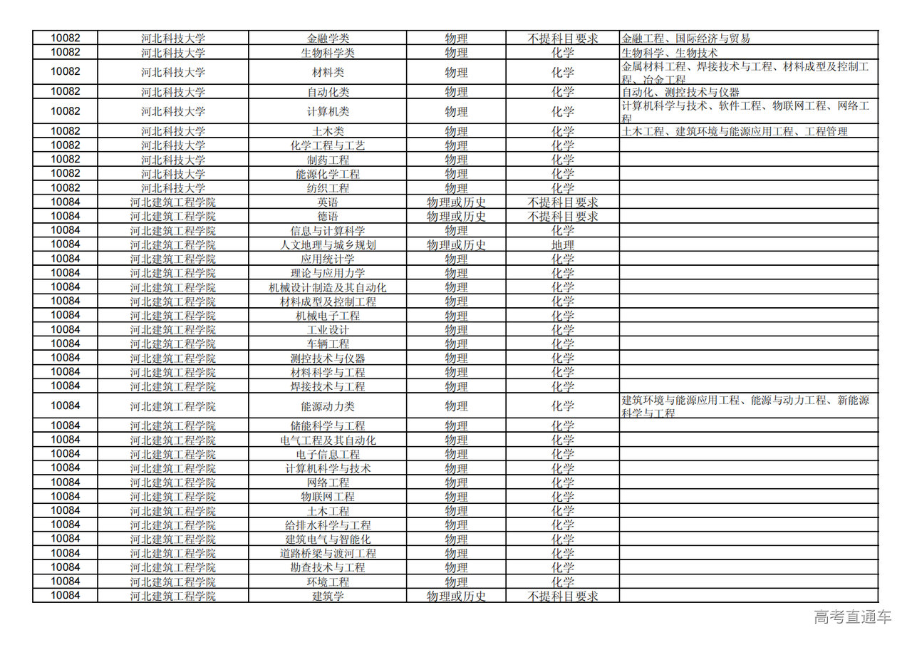
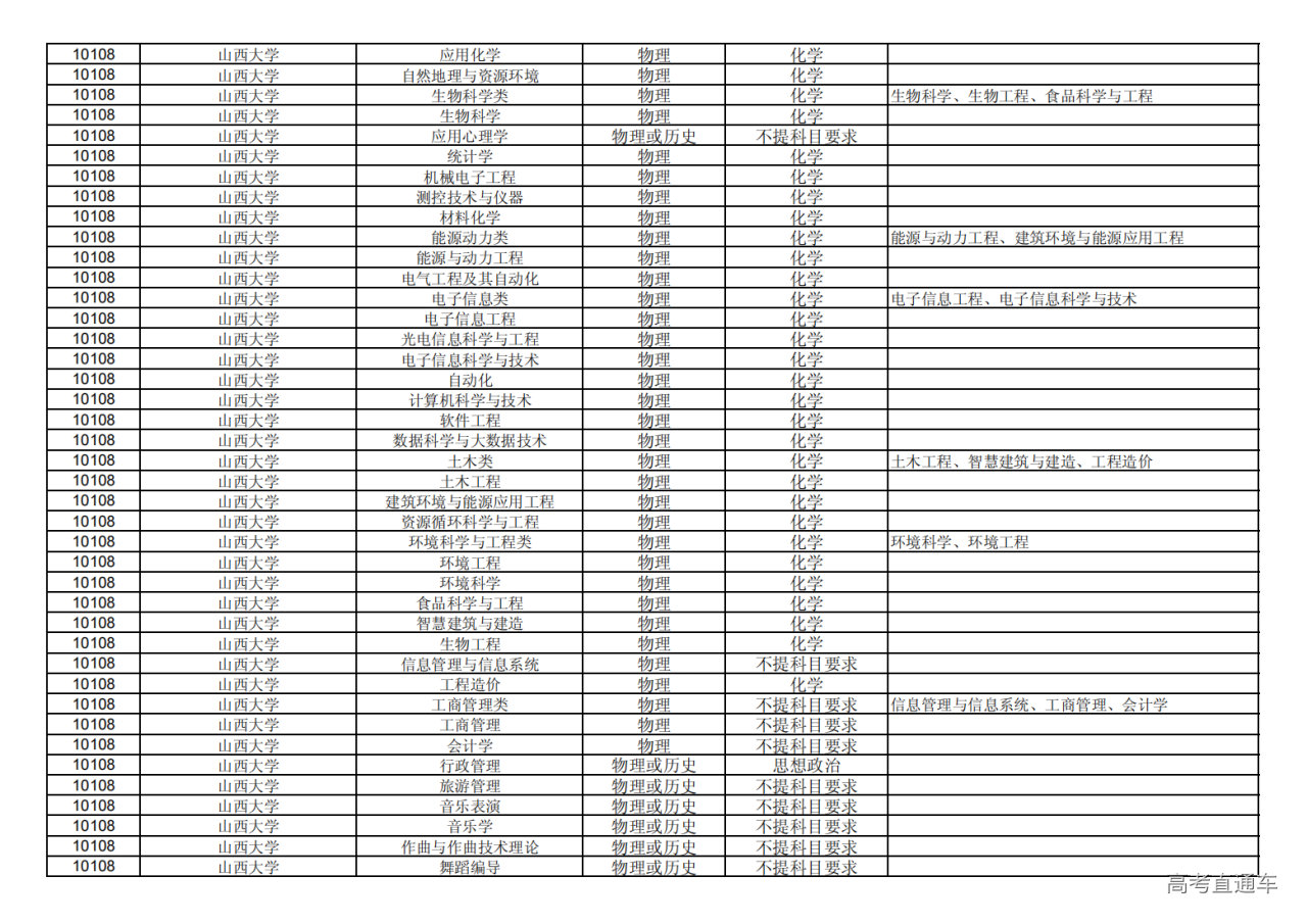
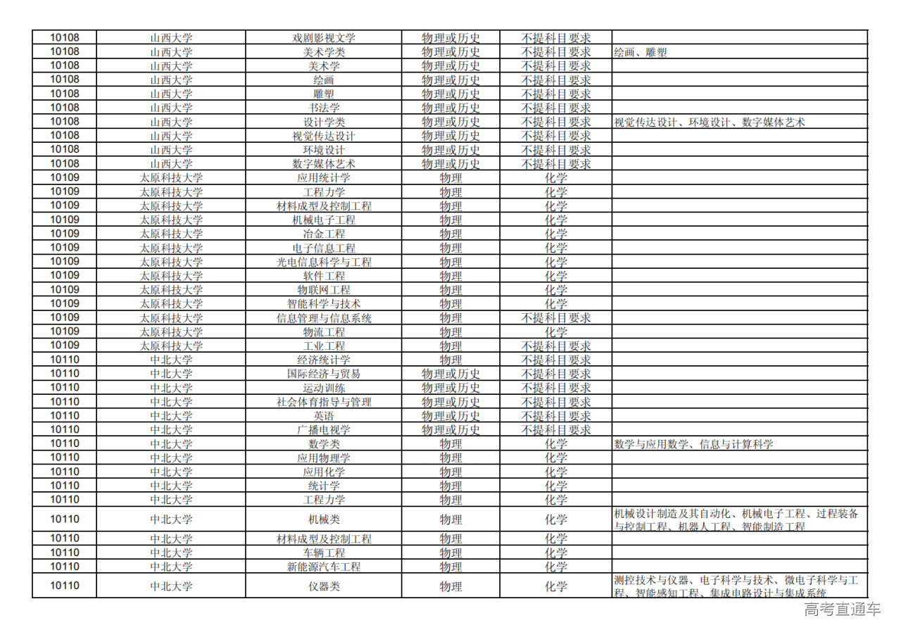
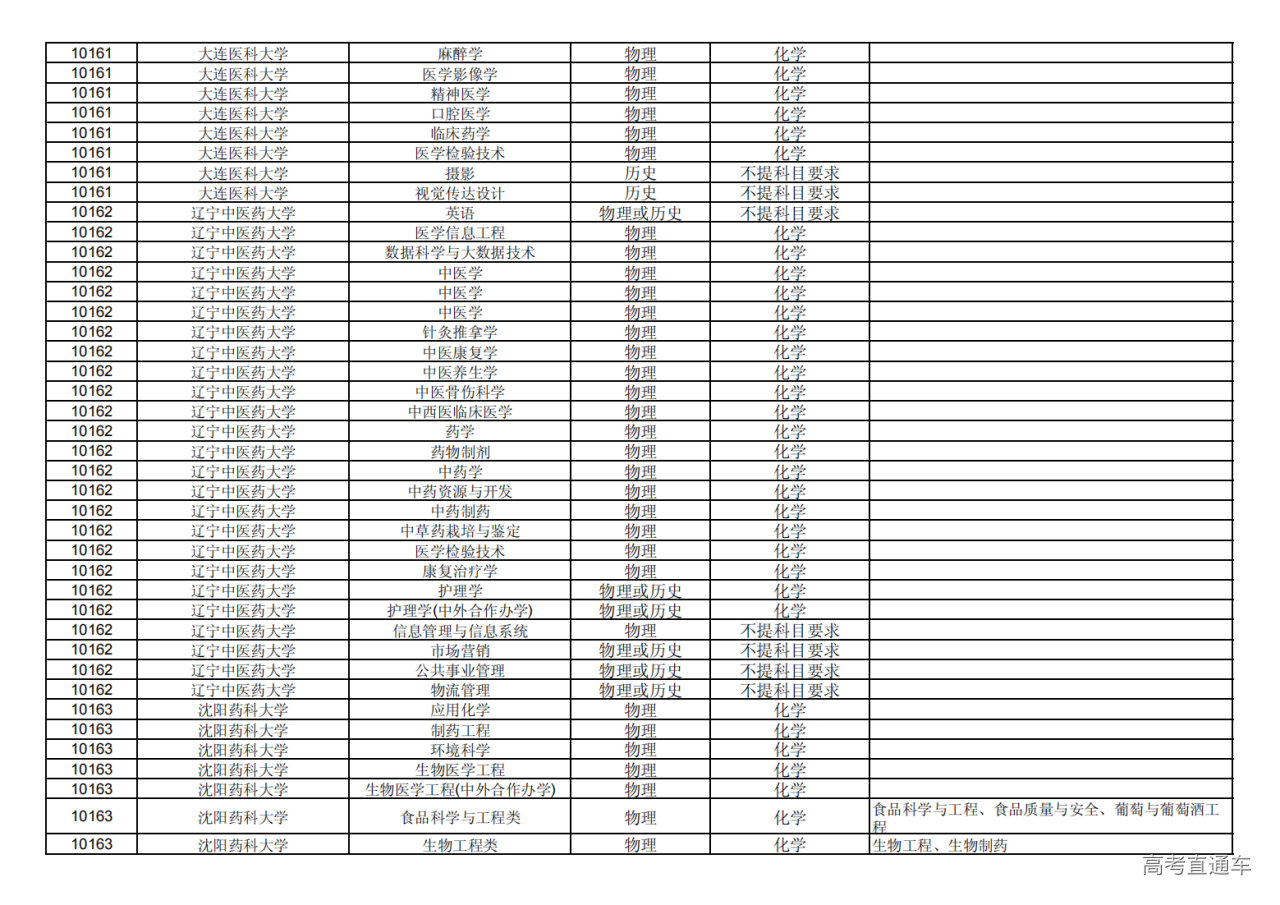
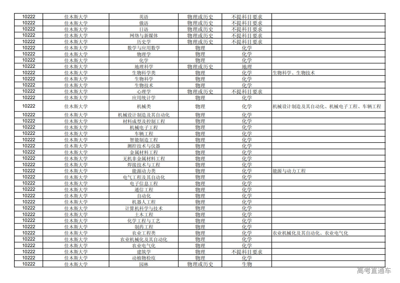
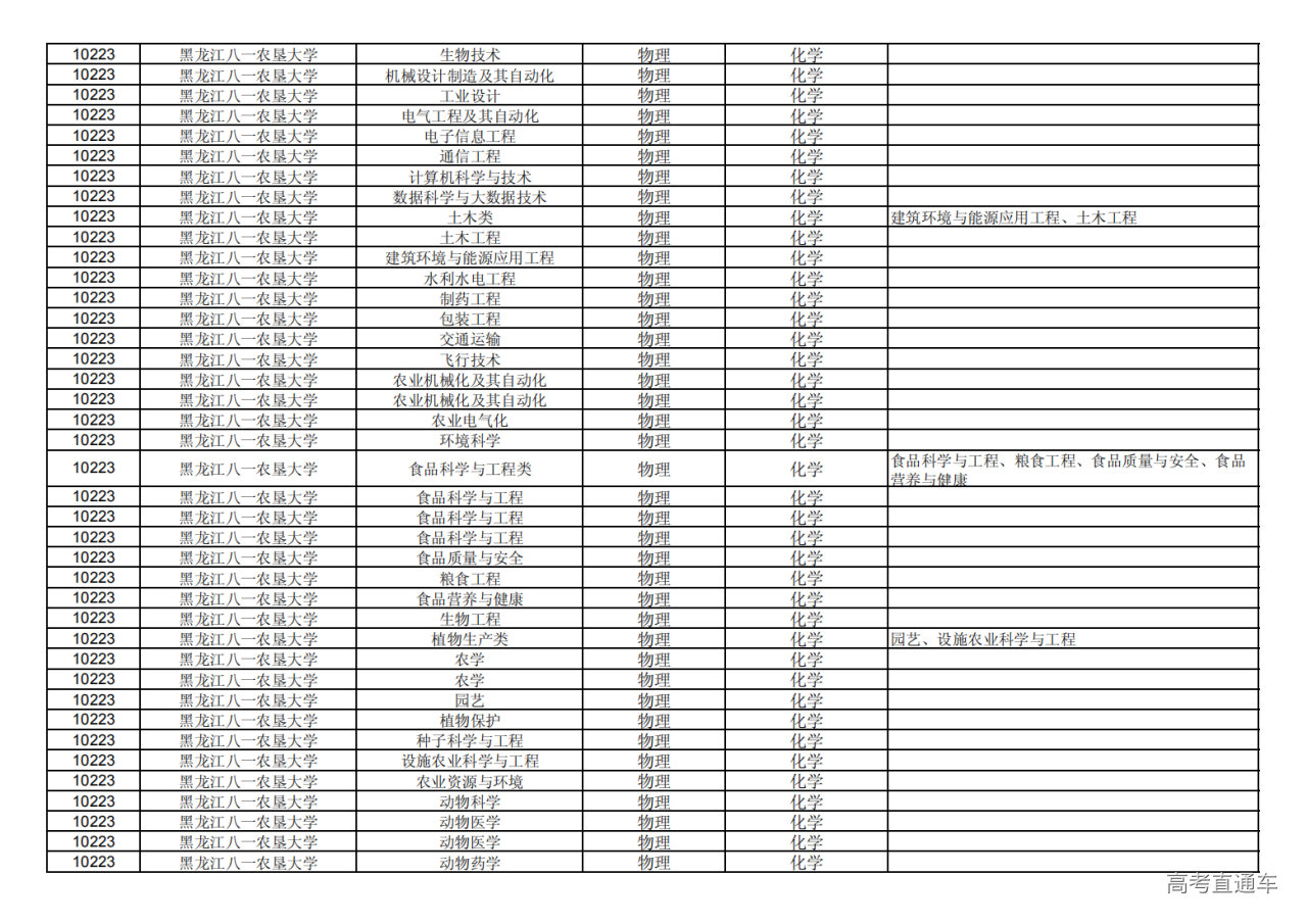
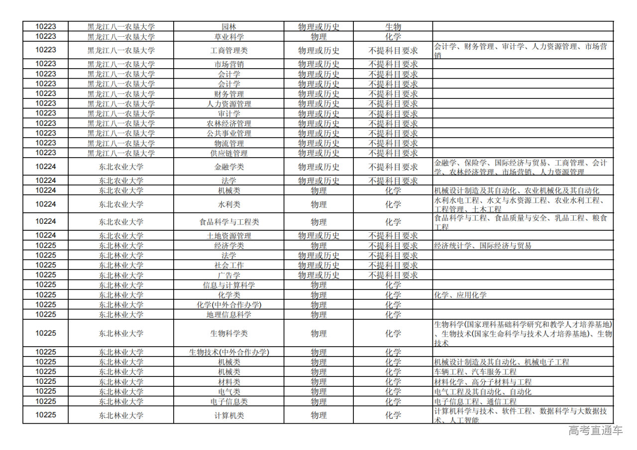
一、高考模式。2024年我省普通高考继续实行“3+1+2”模式。其中,“3”为统一高考科目语文、数学、外语,所有学生必考;“1”为首选科目,考生须在物理、历史科目中选择1科;“2”为再选科目,考生可在化学、生物、思想政治、地理4个科目中选择2科。考生填报院校专业时,其学业水平选择性考试科目须符合拟报考高校专业选科要求。
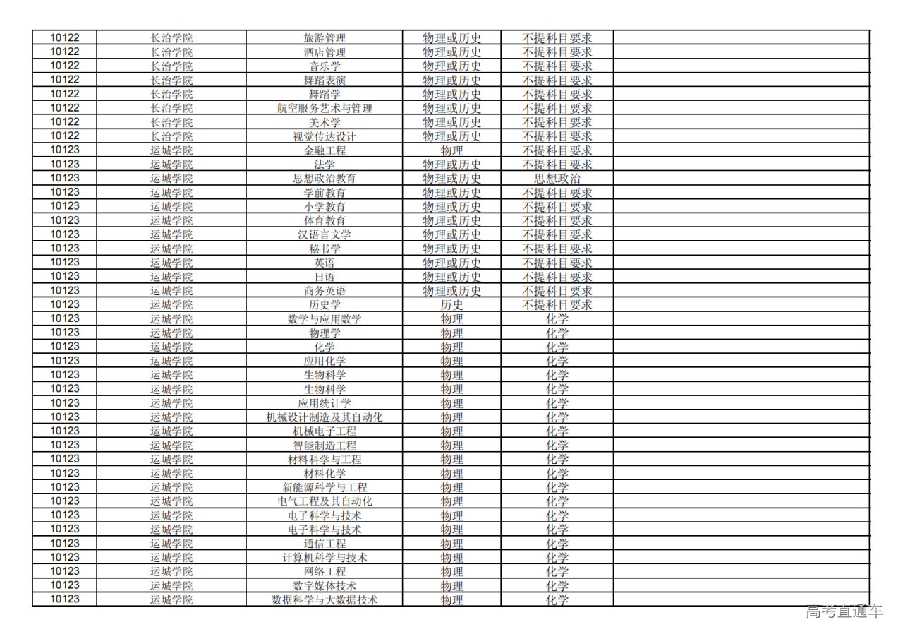
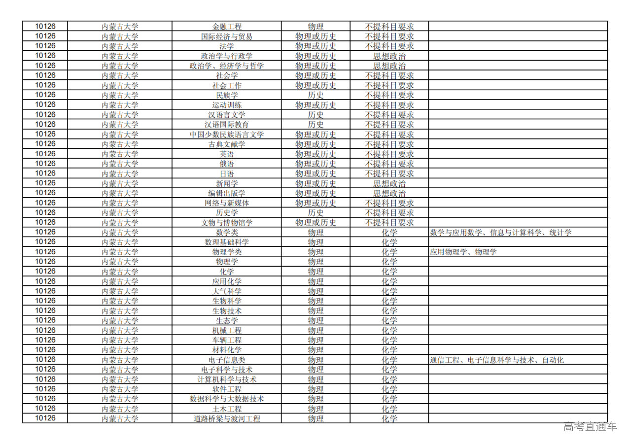
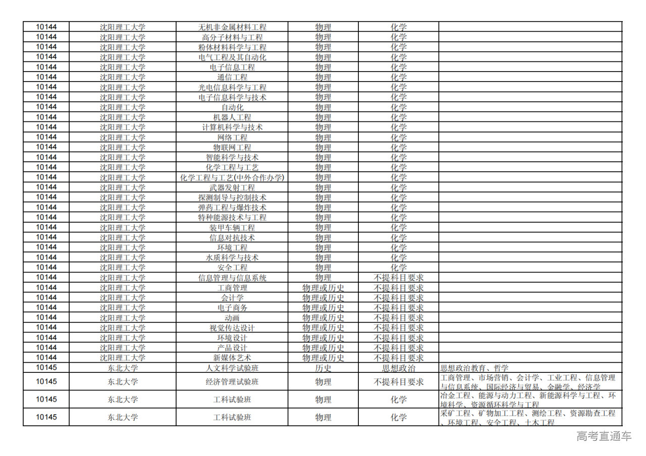
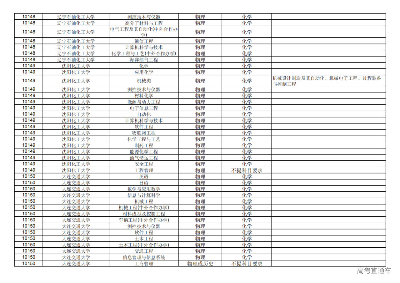
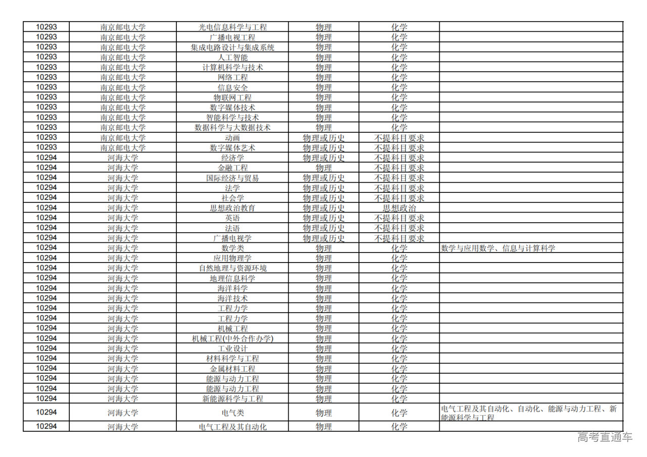
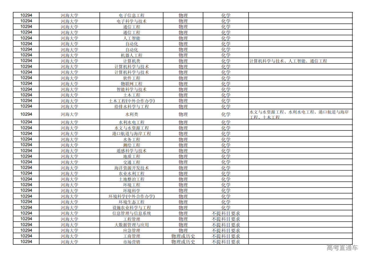
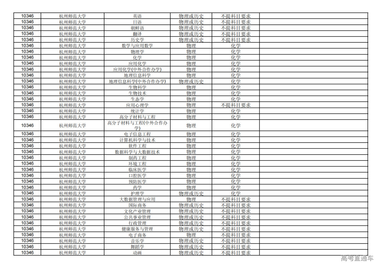
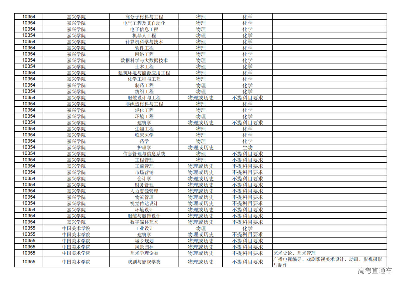
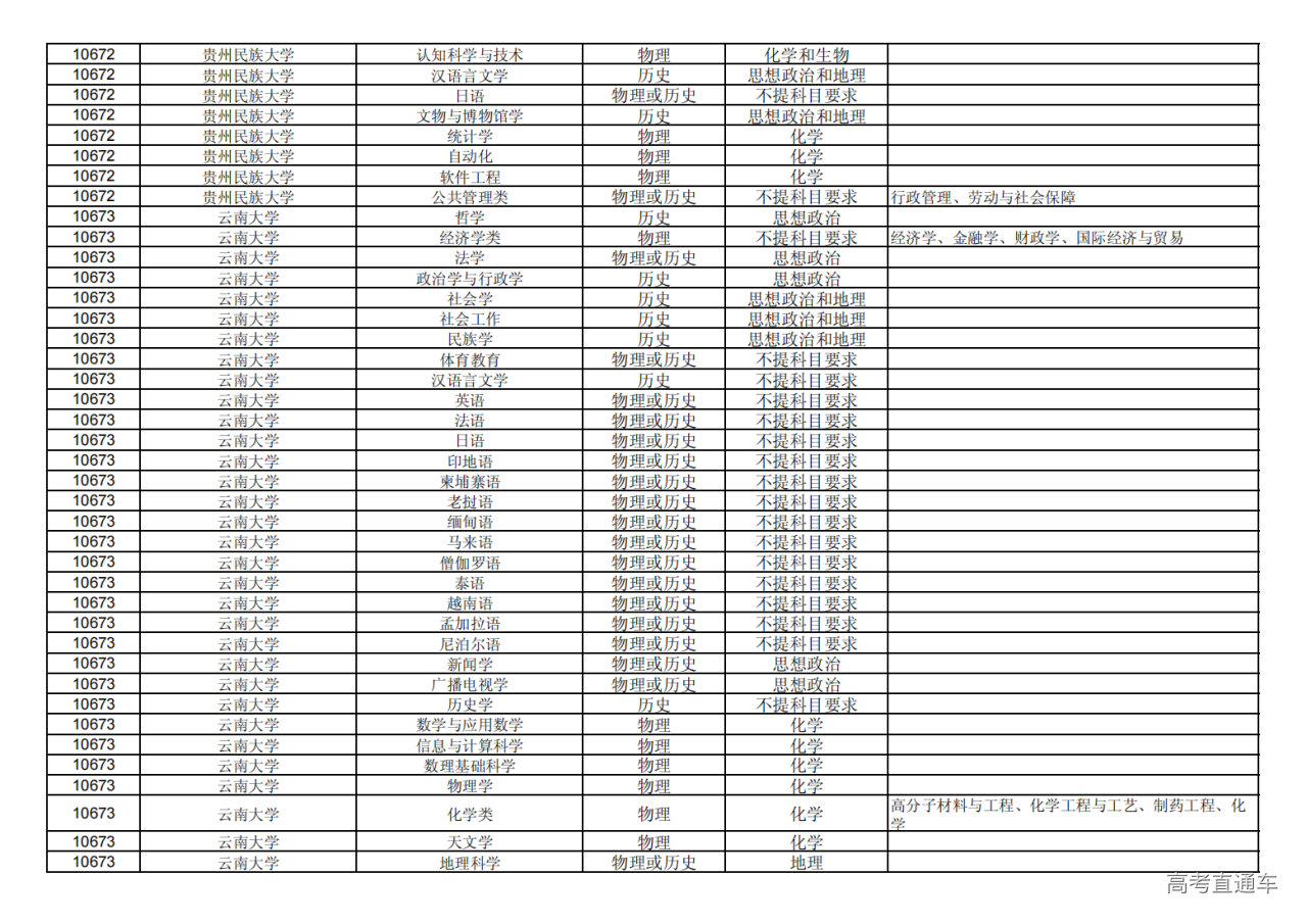
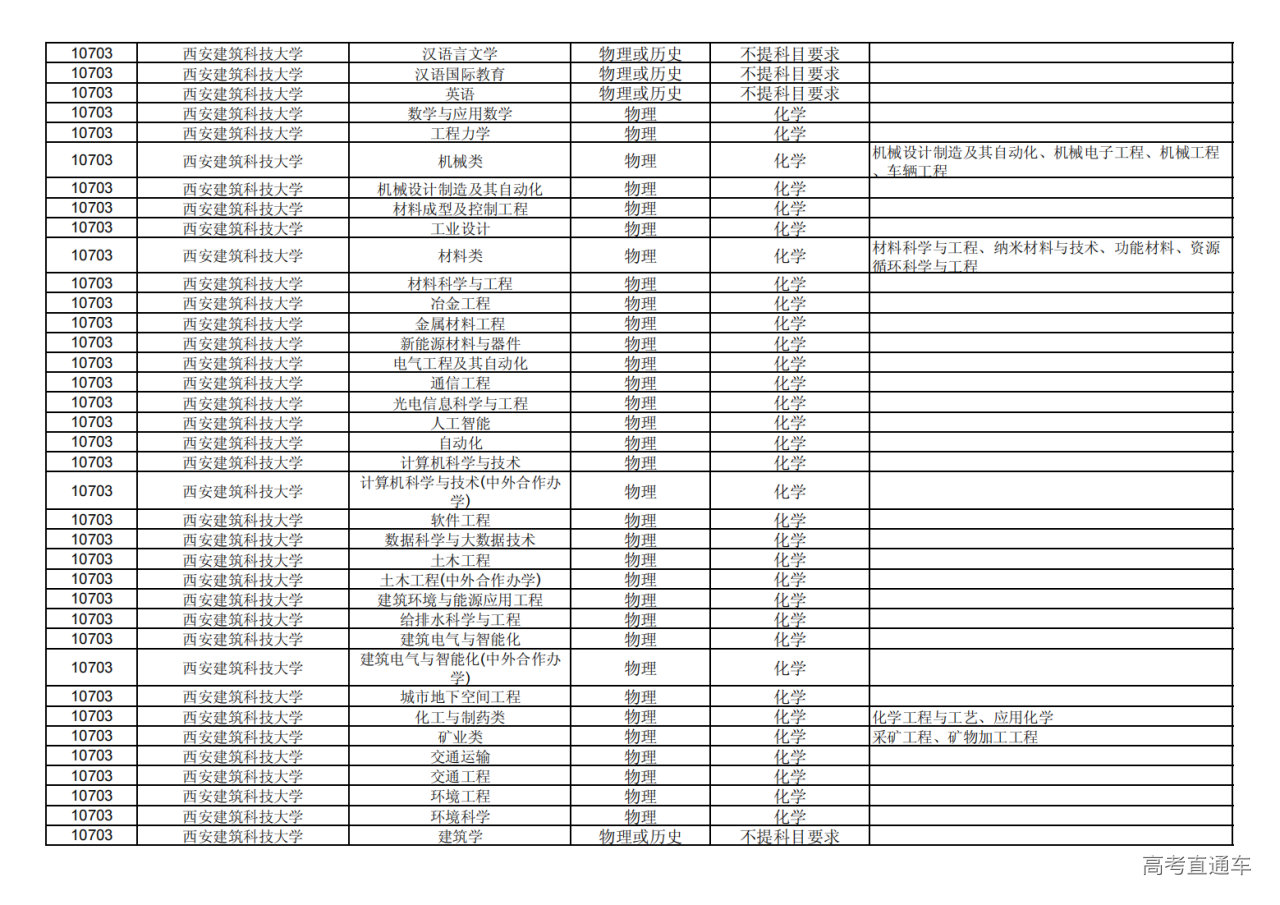
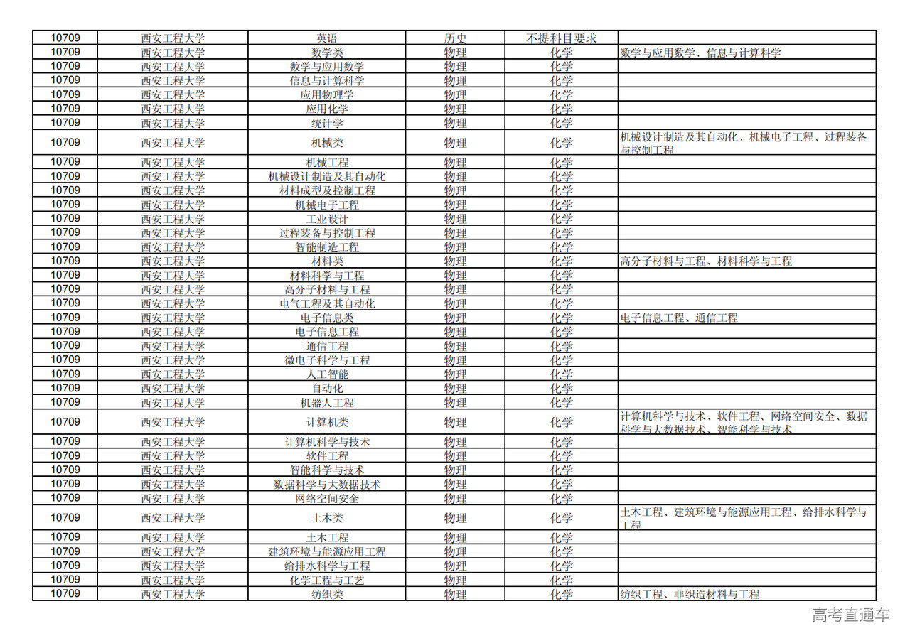
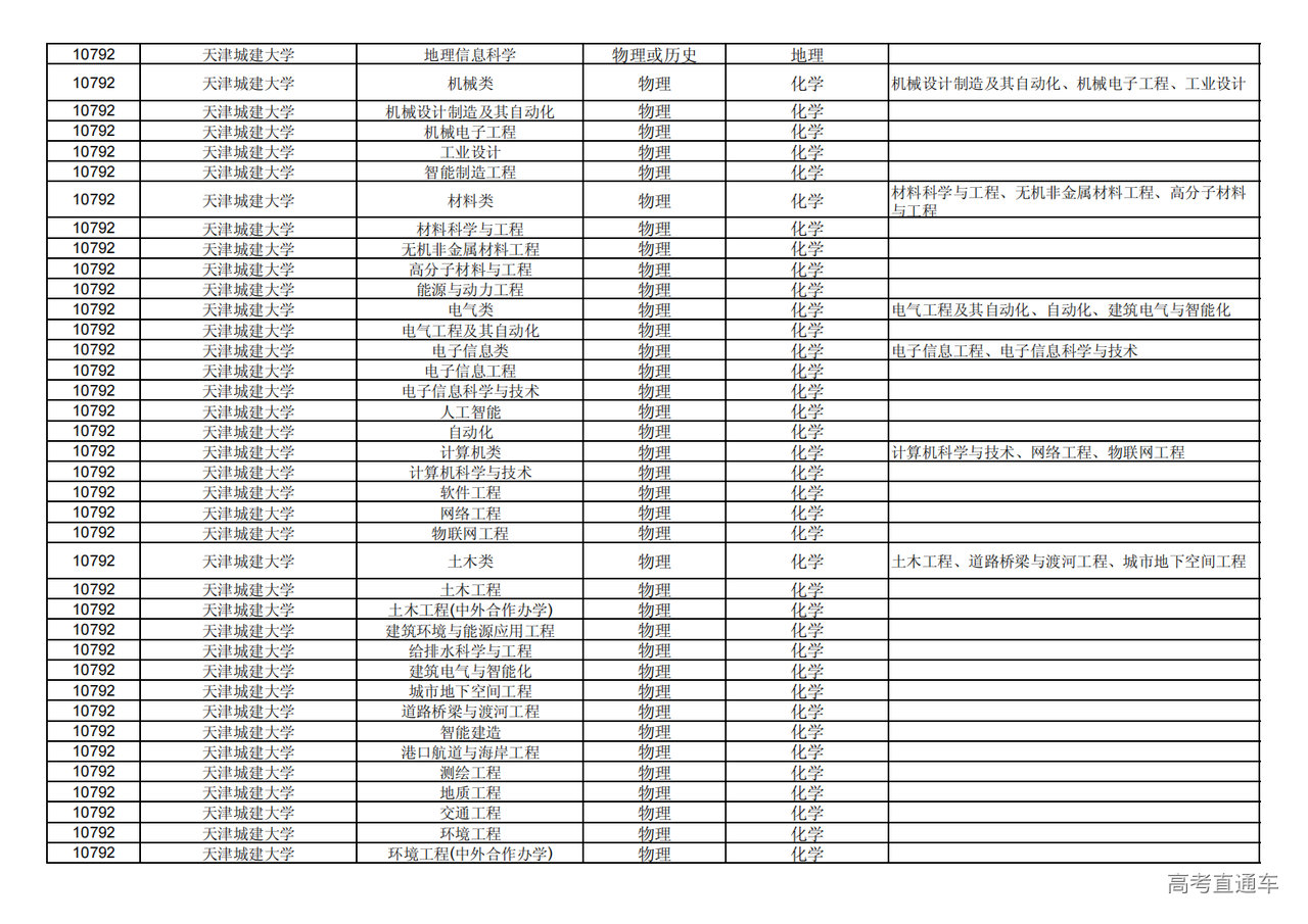
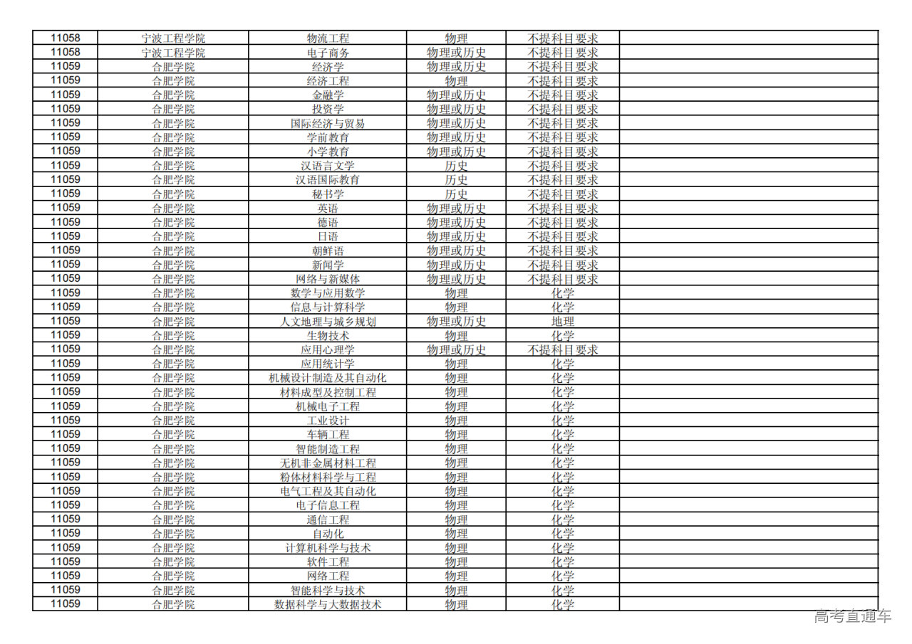
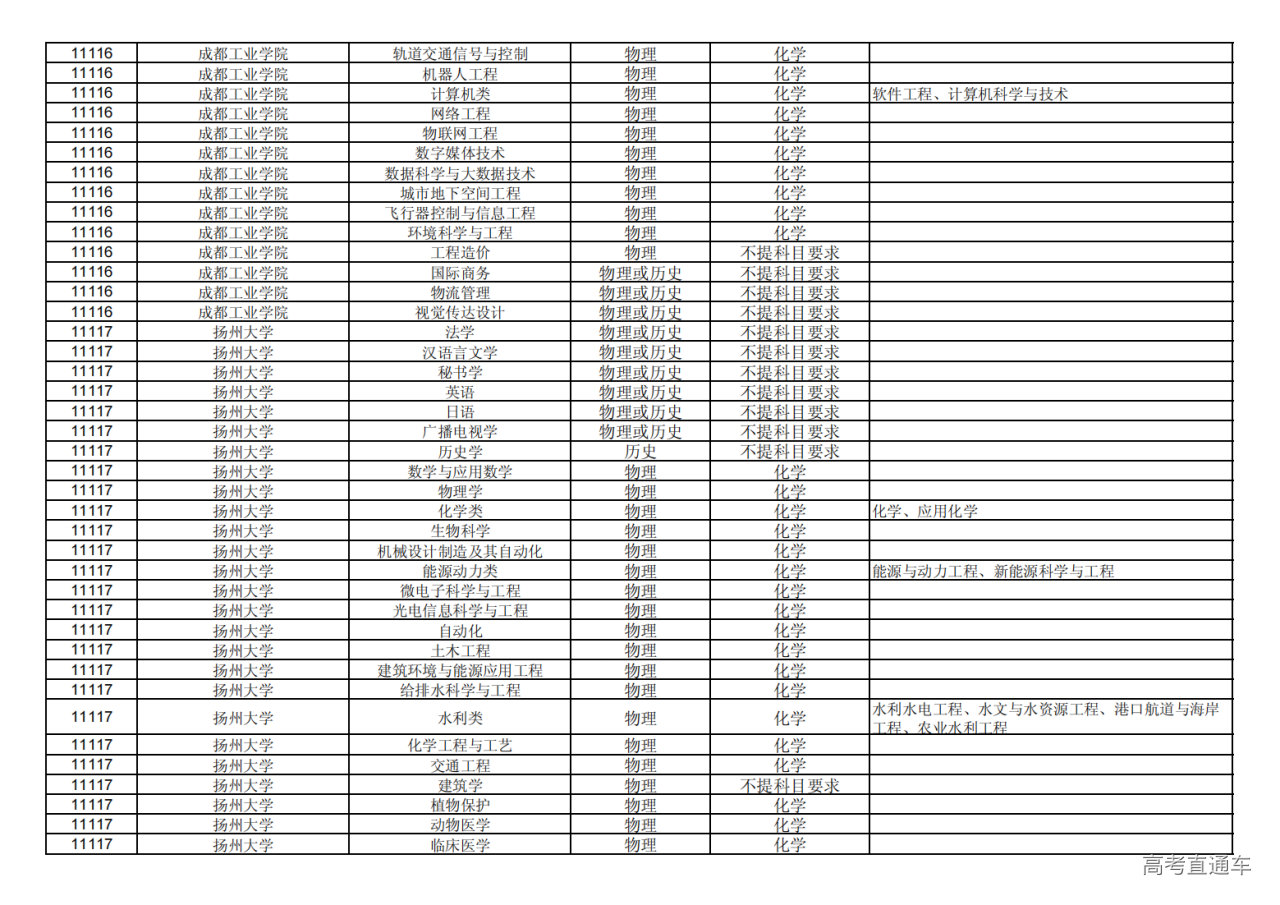
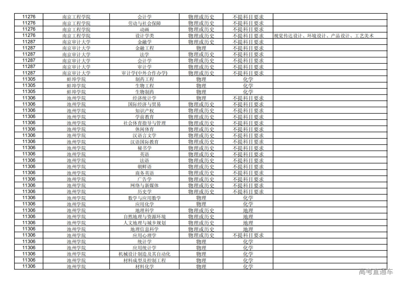
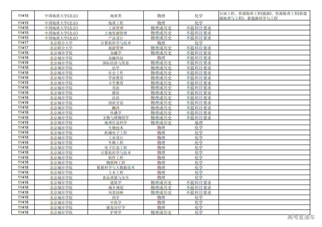
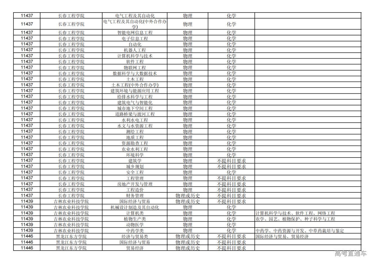
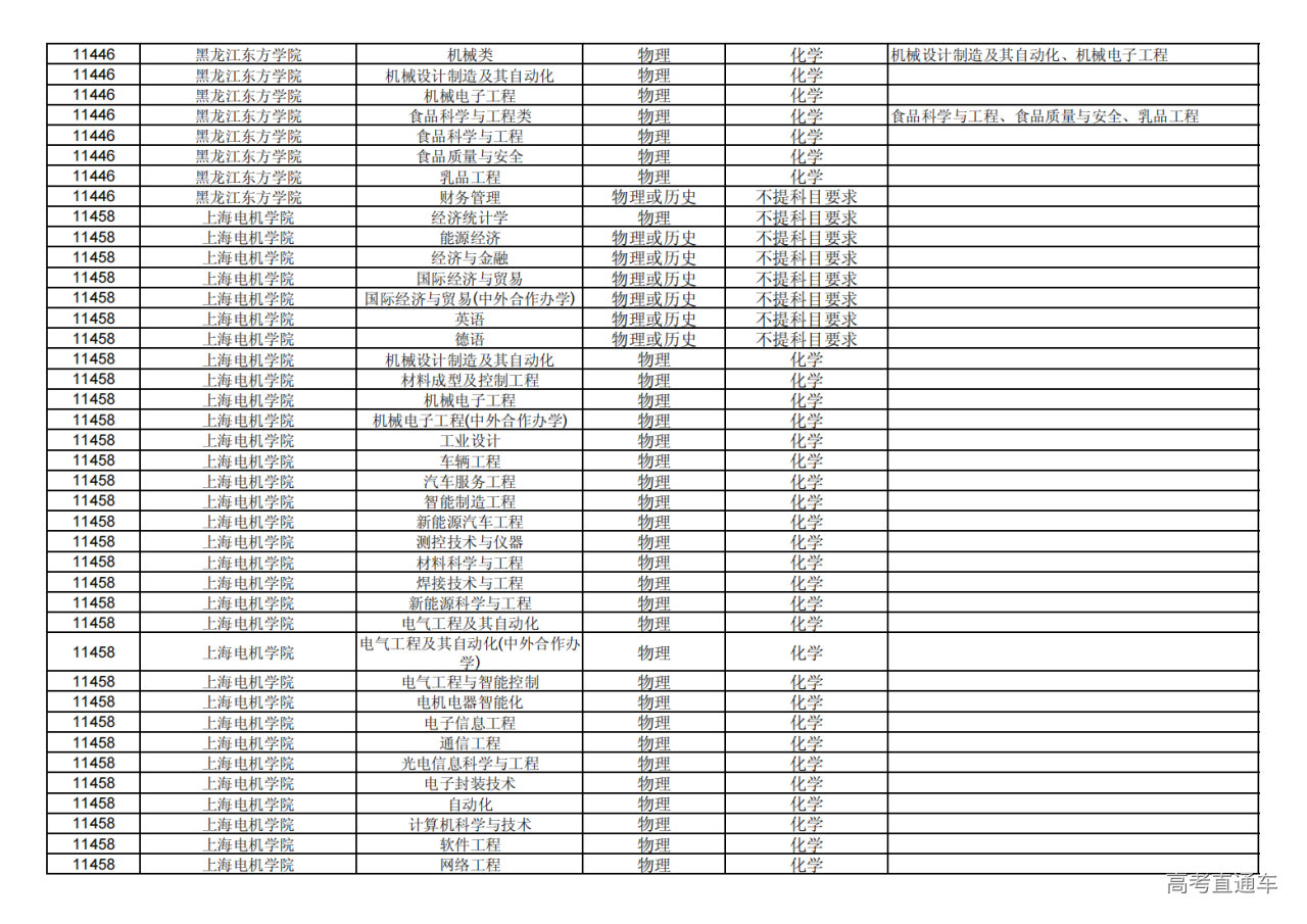
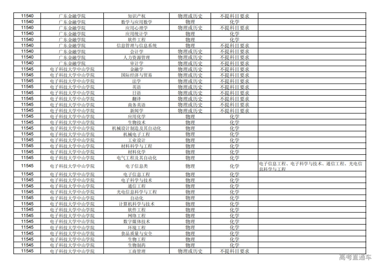
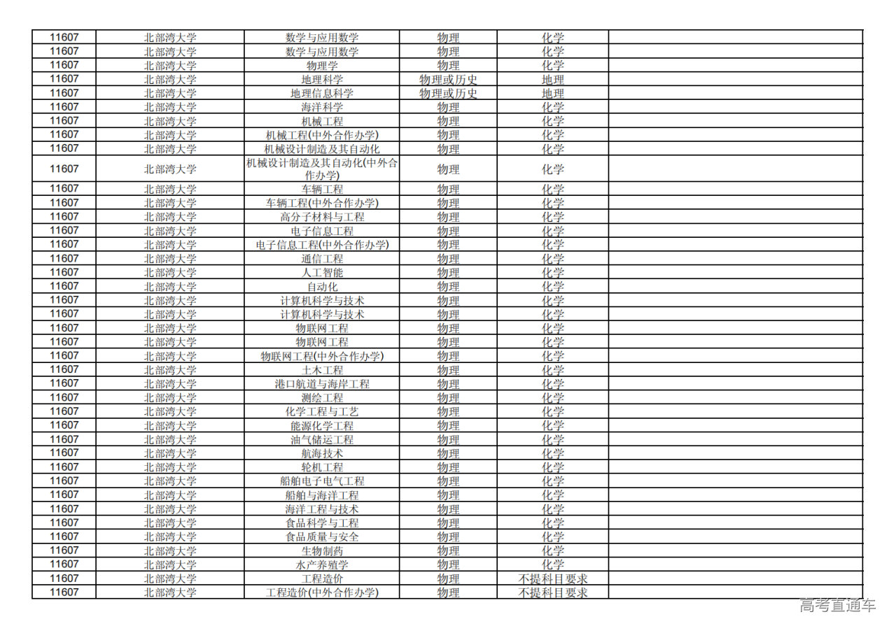
二、选考科目要求。根据教育部《指引》精神,高校提出的选考科目要求可分为四类。第一类是对首选科目和再选科目都未提出要求的,即“不提科目要求”,表示首选科目为物理或历史且再选科目为任意2科的考生均可报考。第二类是只对首选科目提出要求的,如“物理(1门科目考生必须选考方可报考)”,表示首选科目为物理、再选科目为任意2科的考生方可报考。第三类是只对再选科目提出要求的,如“化学(1门科目考生必须选考方可报考)”,表示首选科目为物理或历史、再选科目选考化学的考生方可报考;如“化学,生物(2门科目考生均须选考方可报考)”,表示首选科目为物理或历史、再选科目选考化学和生物的考生方可报考。第四类是对首选科目和再选科目均提出选考要求的,如“物理,化学(2门科目考生均须选考方可报考)”,表示首选科目为物理、再选科目选考化学的考生方可报考;如“物理,化学,生物(3门科目考生均须选考方可报考)”,表示首选科目为物理、再选科目选考化学和生物的考生方可报考。
三、招生院校及专业。需特别说明两点:一是高校编报的招生专业选考科目要求,为高校在所有实施高考综合改革省份的选科要求,招生当年并非所有编报的专业都会在我省安排招生计划;二是高校编报的招生专业并非都会在我省安排物理科目组合和历史科目组合招生计划,高校在招生当年将根据实际情况统筹安排各省物理科目组合和历史科目组合计划。综上,2024年在我省实际招生的高校、专业及选考科目要求,以及高校相关专业是否在我省分别安排物理科目组合和历史科目组合招生计划,须以招生院校当年在我省公布的招生计划为准。
四、查询途径。考生可访问福建省教育厅网站(网址:http://jyt.fujian.gov.cn/)的《专题栏目》中“福建省高考综合改革”专栏,按照学校、专业、考生选考科目或高校选科要求进行查询。
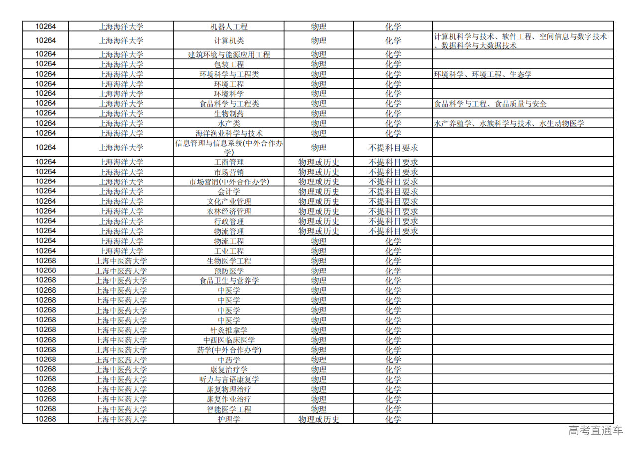
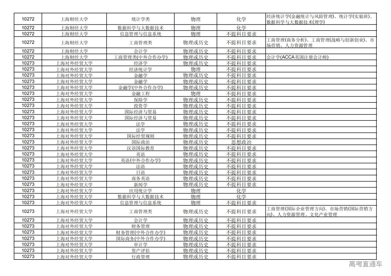
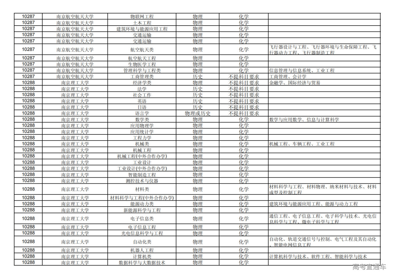
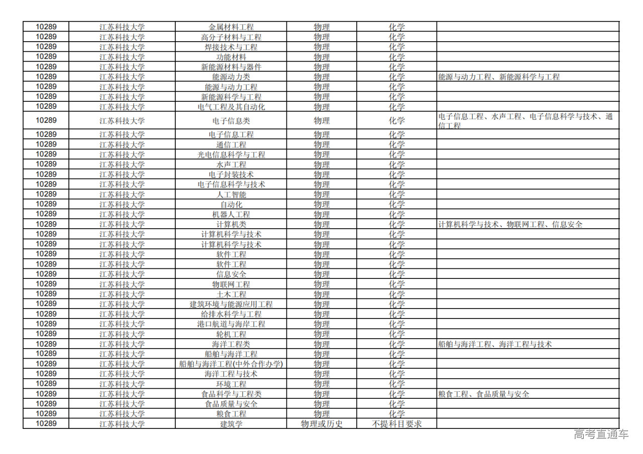
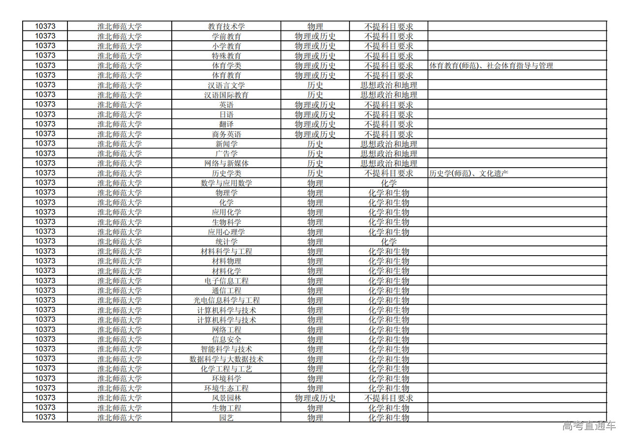
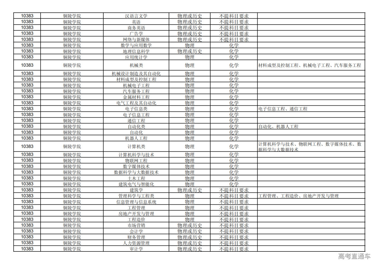
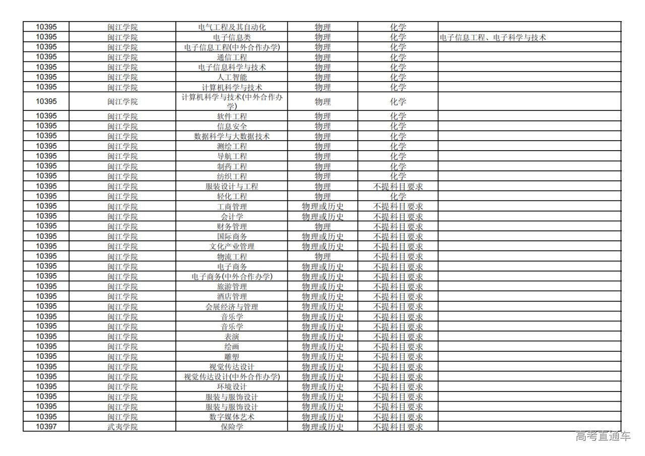
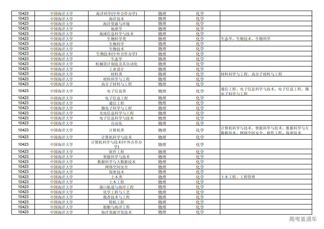
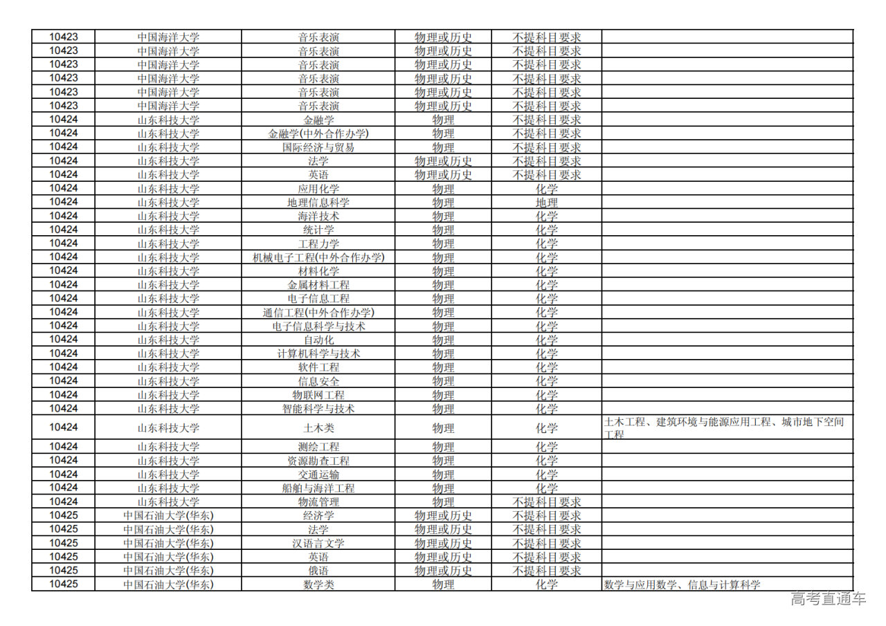
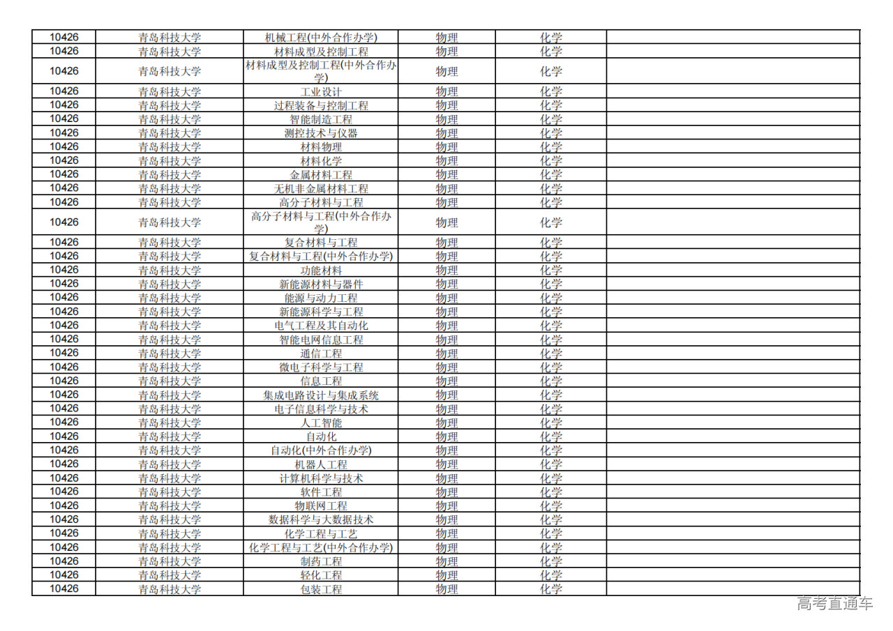
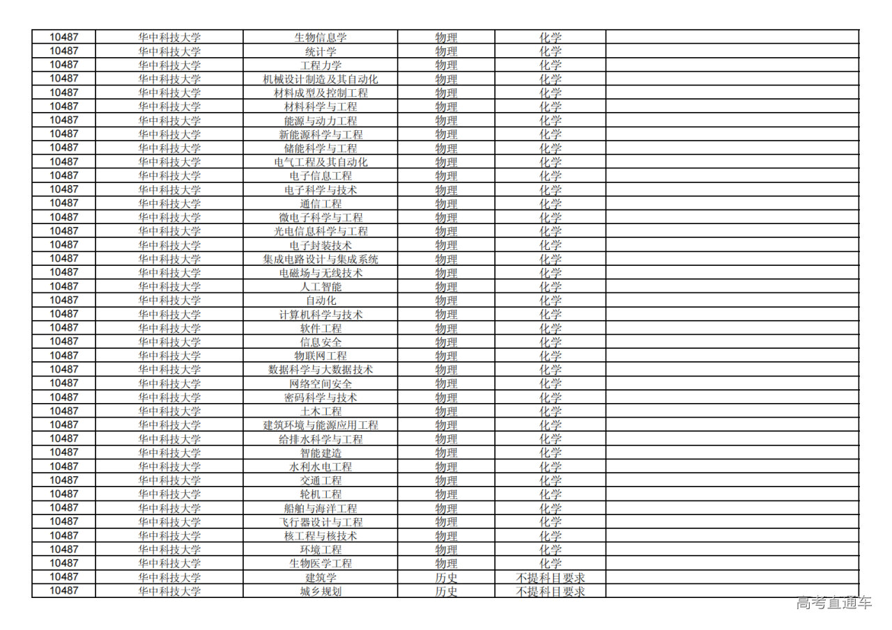
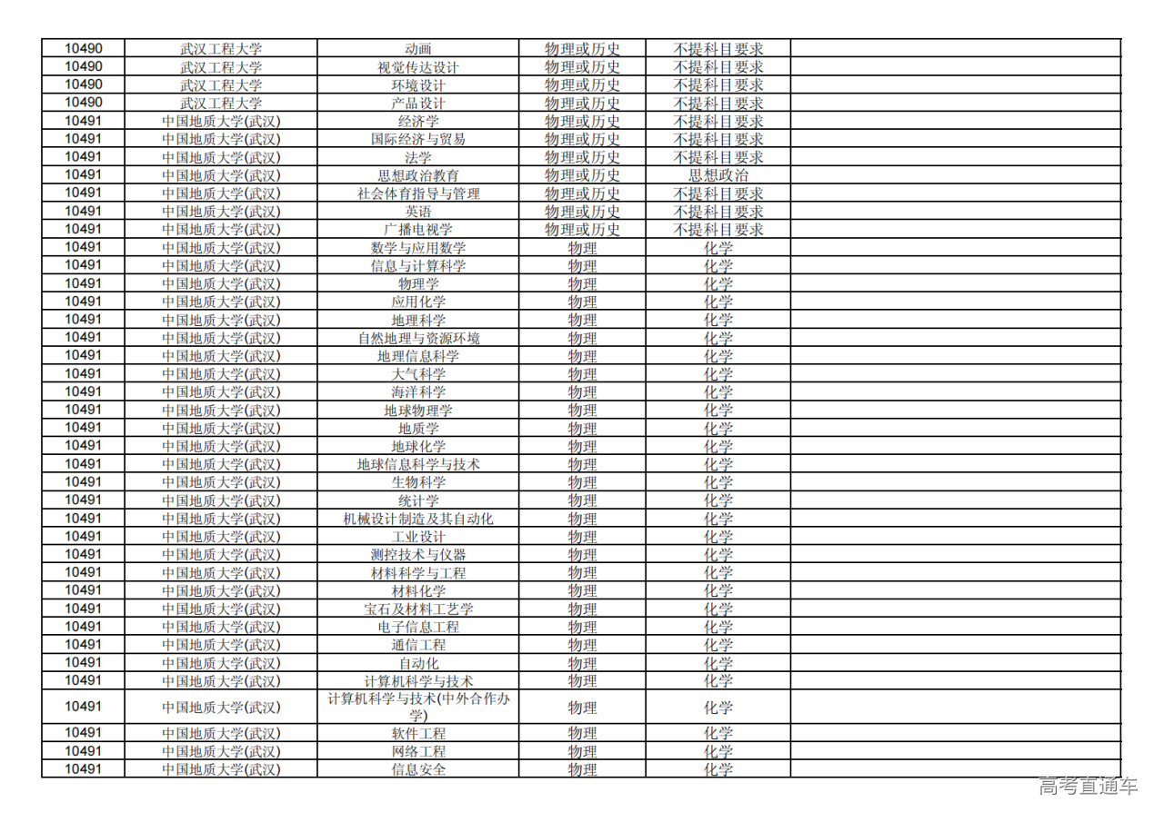
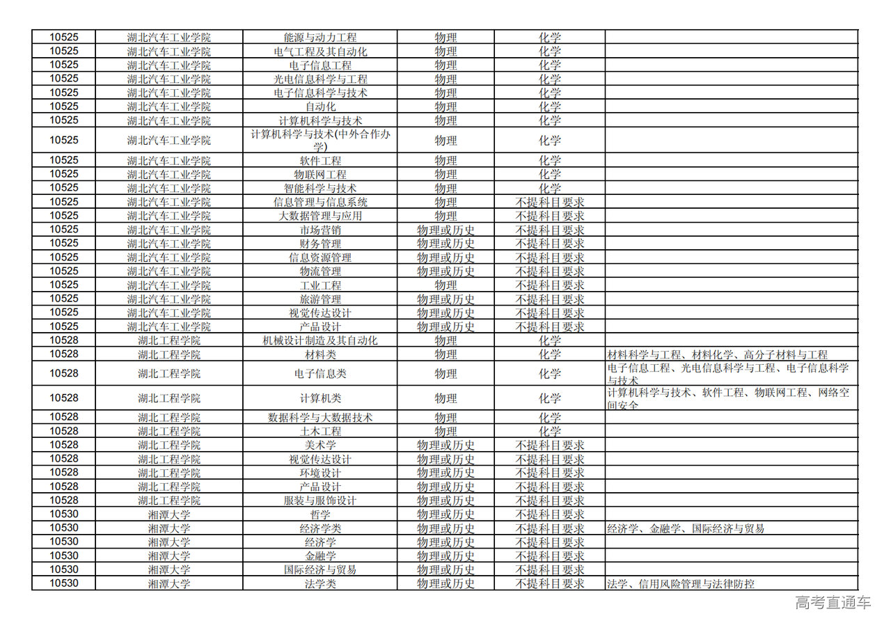
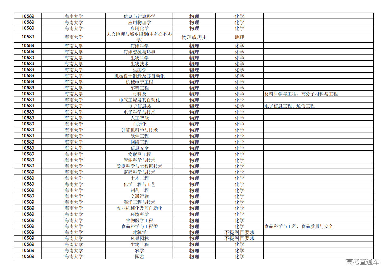
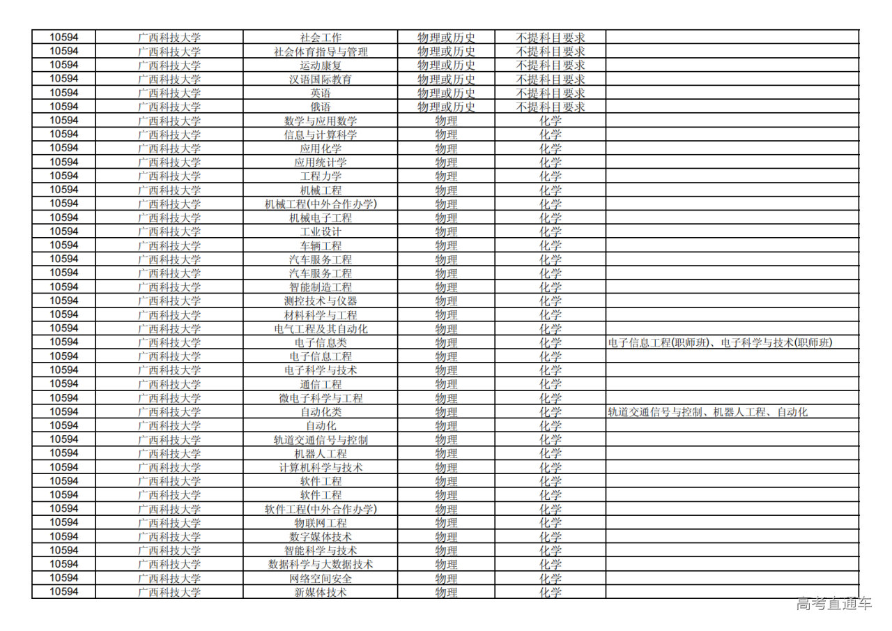
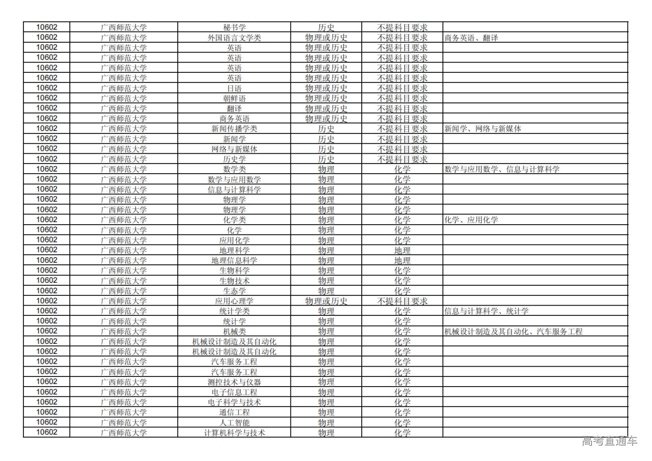
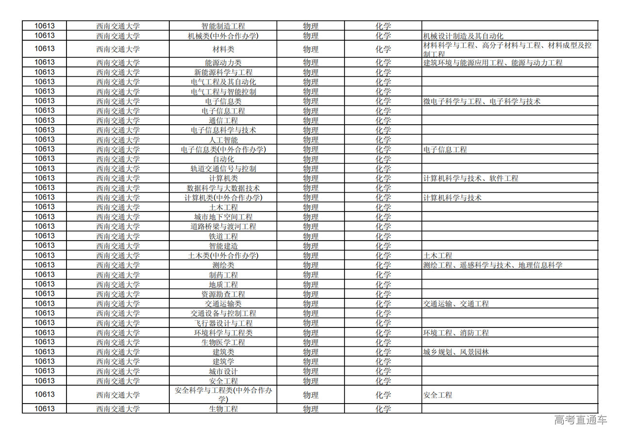
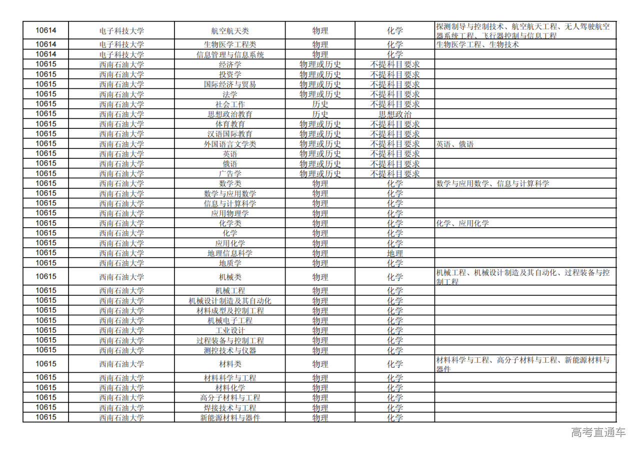
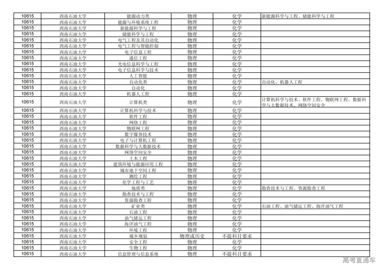
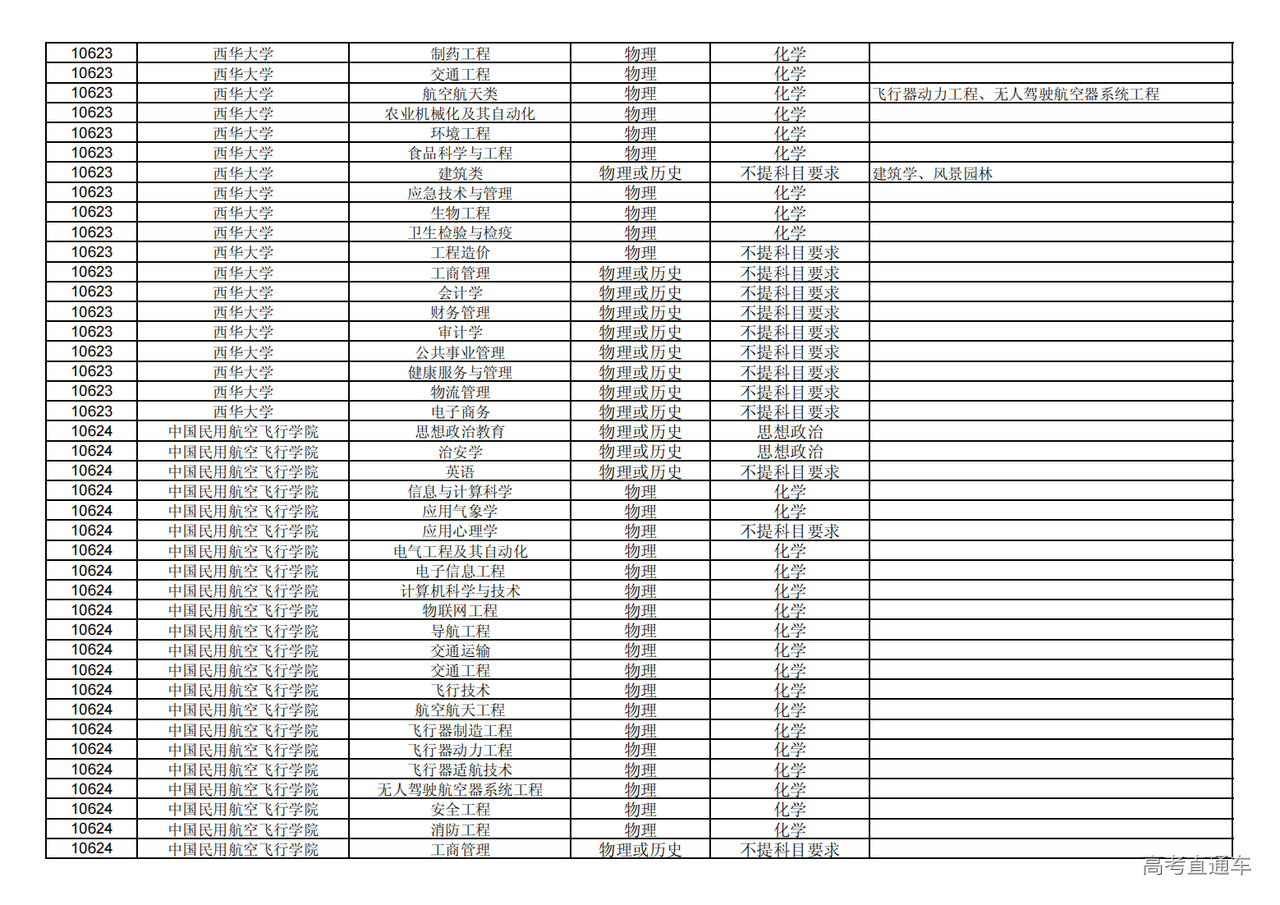
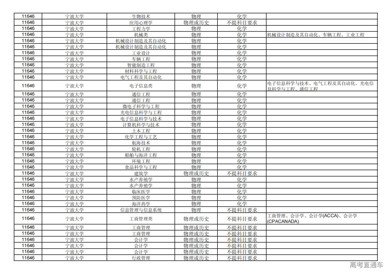
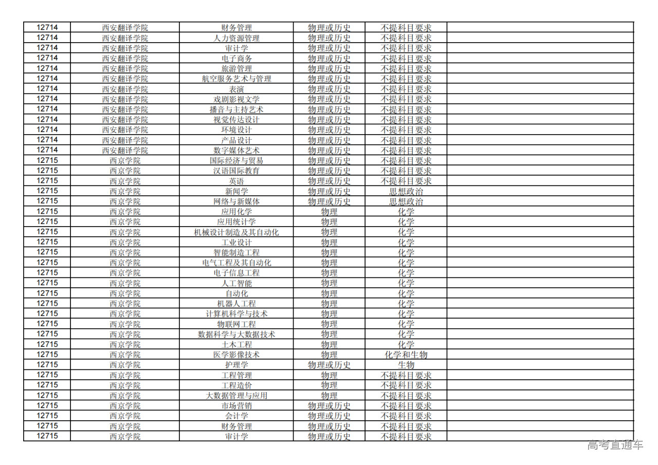
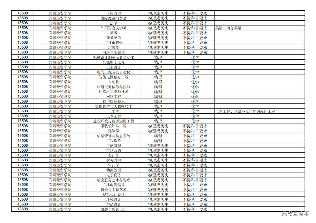
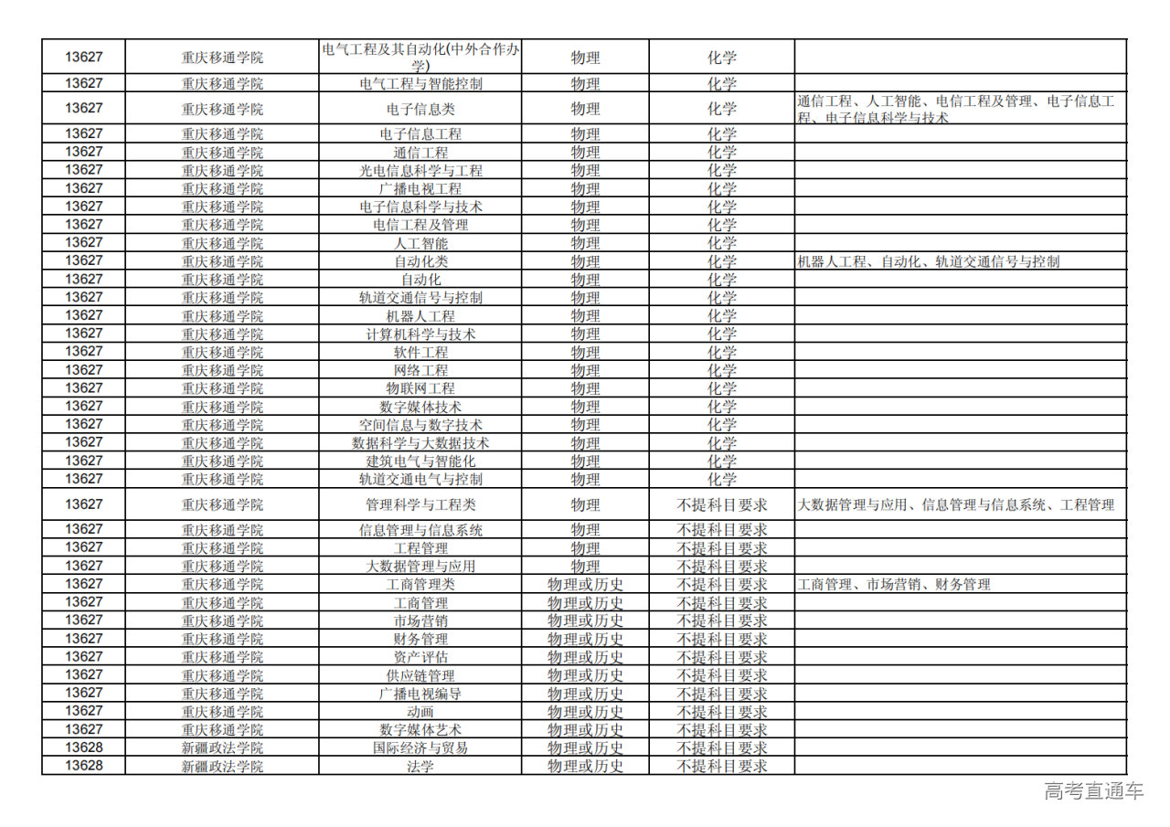
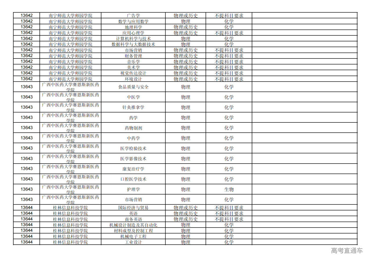
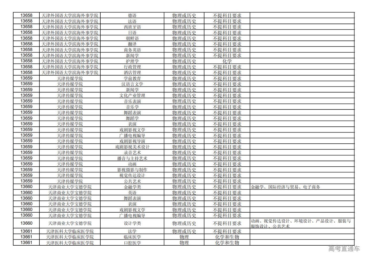
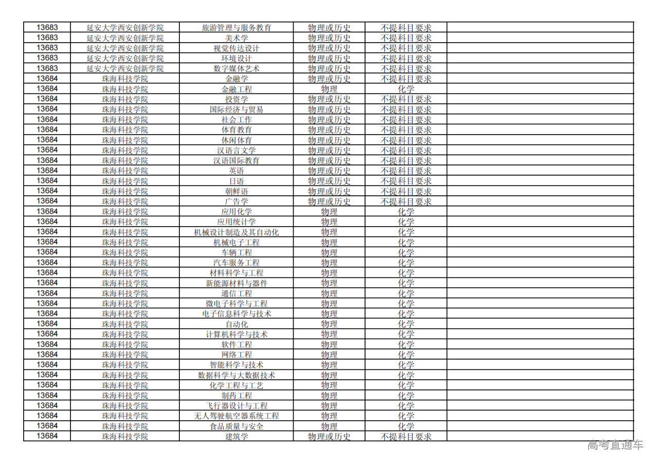
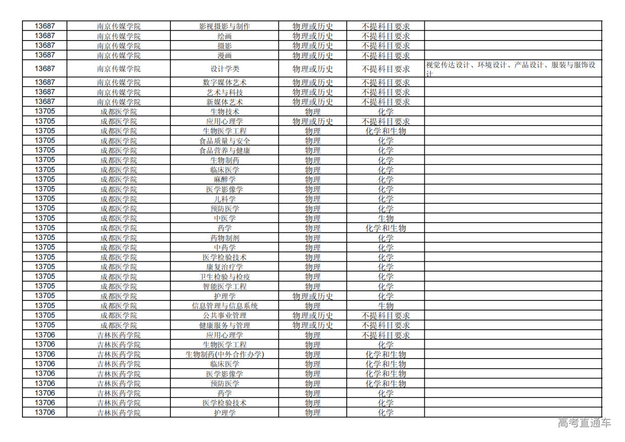
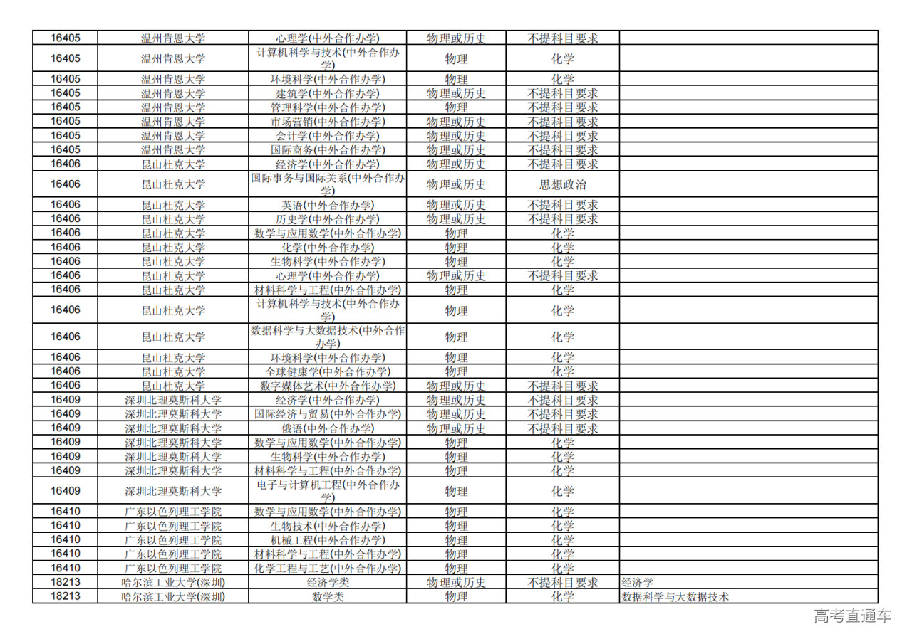
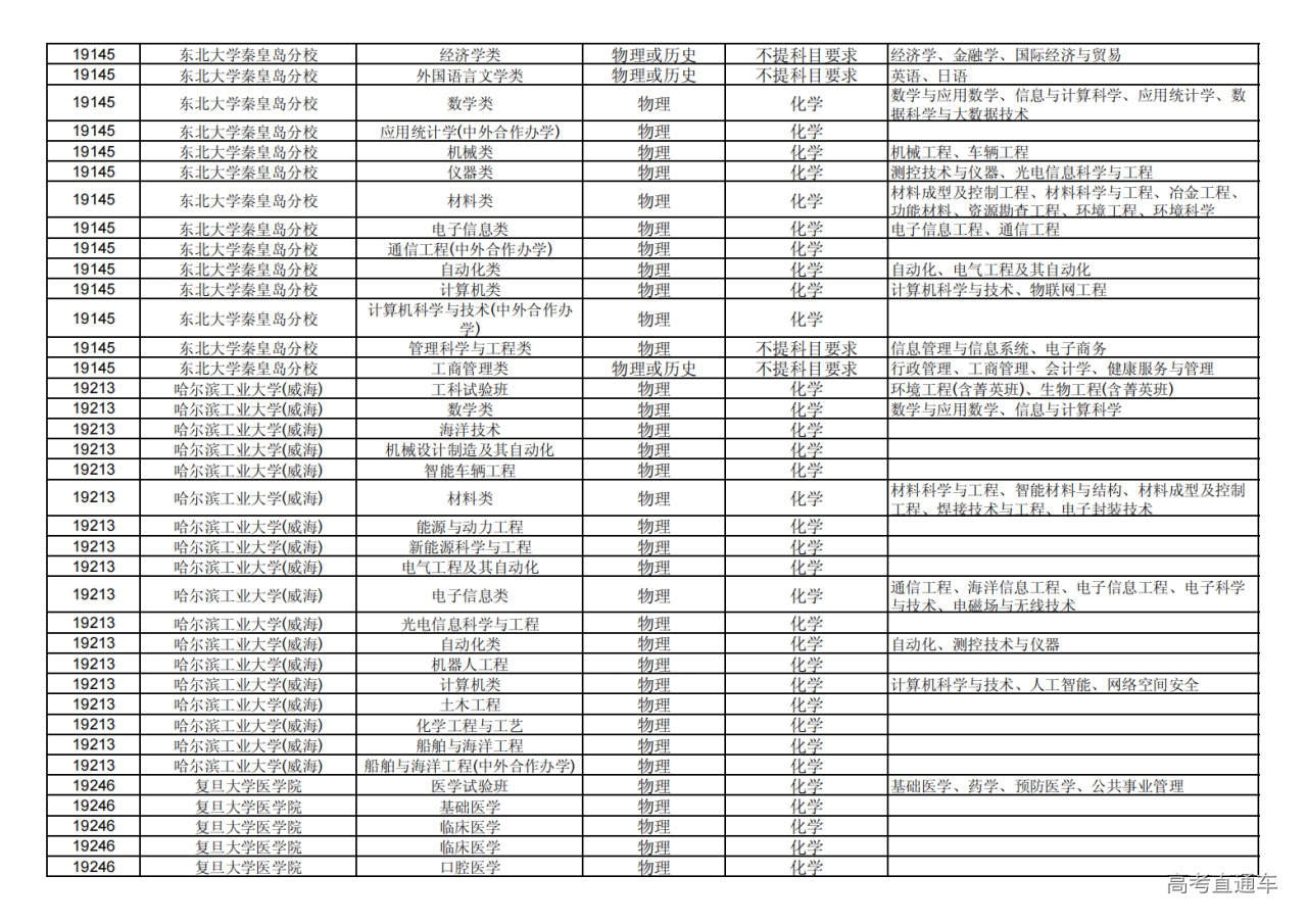
附件:2024年拟在福建省招生的普通高校本科专业选考科目要求汇总表
福建省教育厅
2022年6月16日



































































































































































































































































































































































































































































































































































































































































































































































































































































































