就在刚刚!1月语数英学考/物化生政史地合格考成绩可以查询了!
根据安排,今年的学考志愿填报时间将在3月进行,同学们要提前着手准备志愿填报事项,毕竟“三分考、七分报”,做好准备,才不易吃亏。小车整理了近3年学考普通类省控线线、一分一段表和2024年学考录取规则供大家参考:
近3年省控线(普通类)
| 年份 | 学考 | 3+证书 | |
| 本科 | 专科 | ||
| 2024年 | ? | ? | ? |
| 2023年 | 170 | 260 | 100 |
| 2022年 | 150 | 260 | 100 |
| 2021年 | 150 | 260 | 100 |
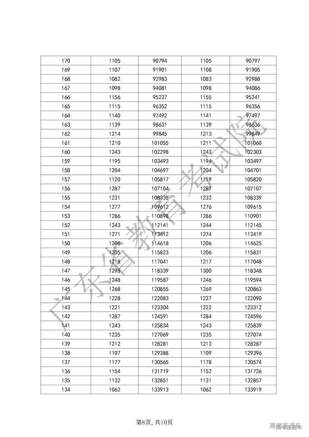
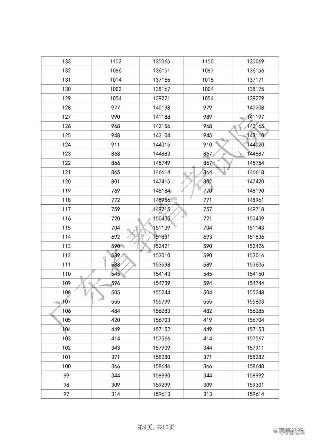
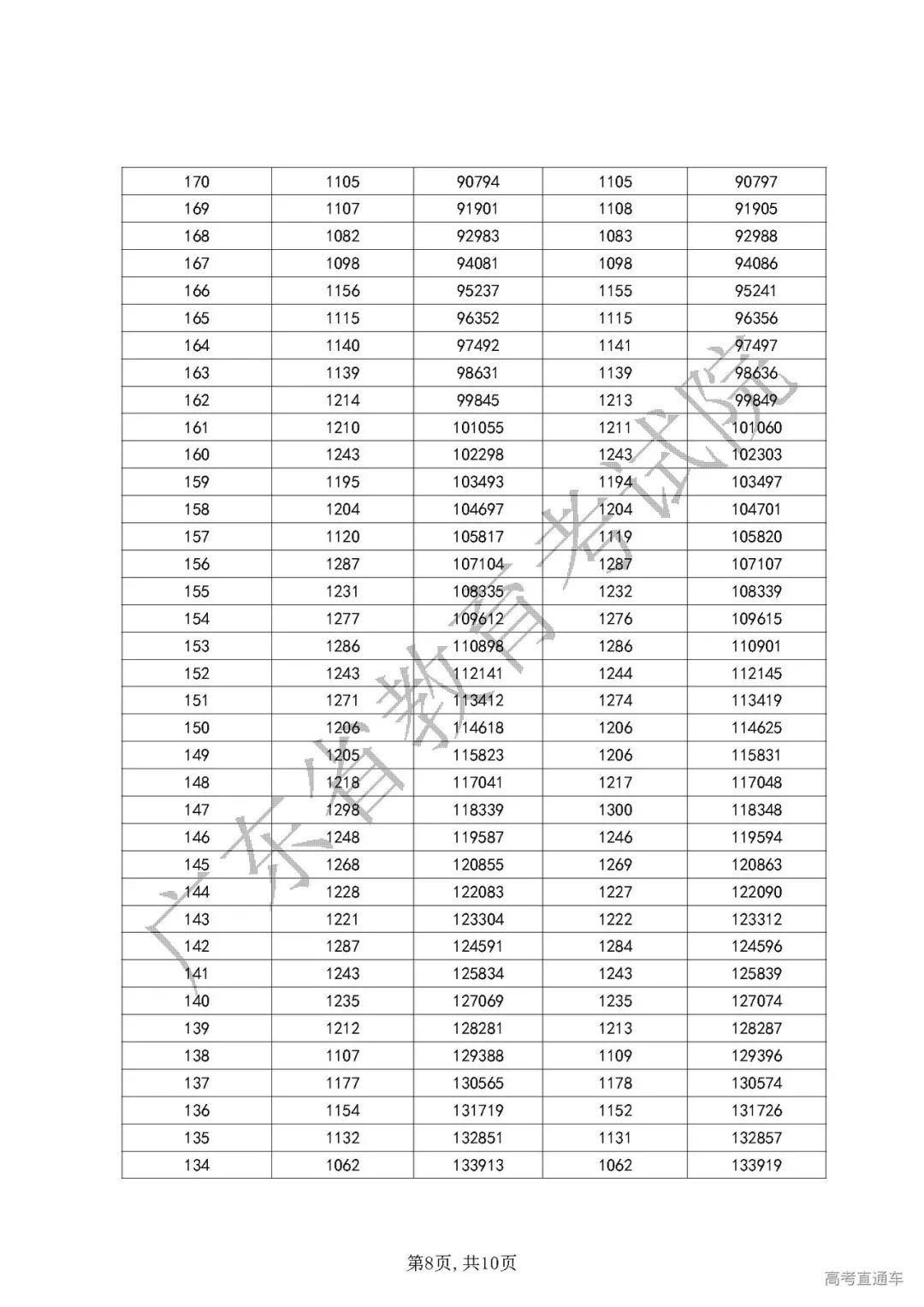
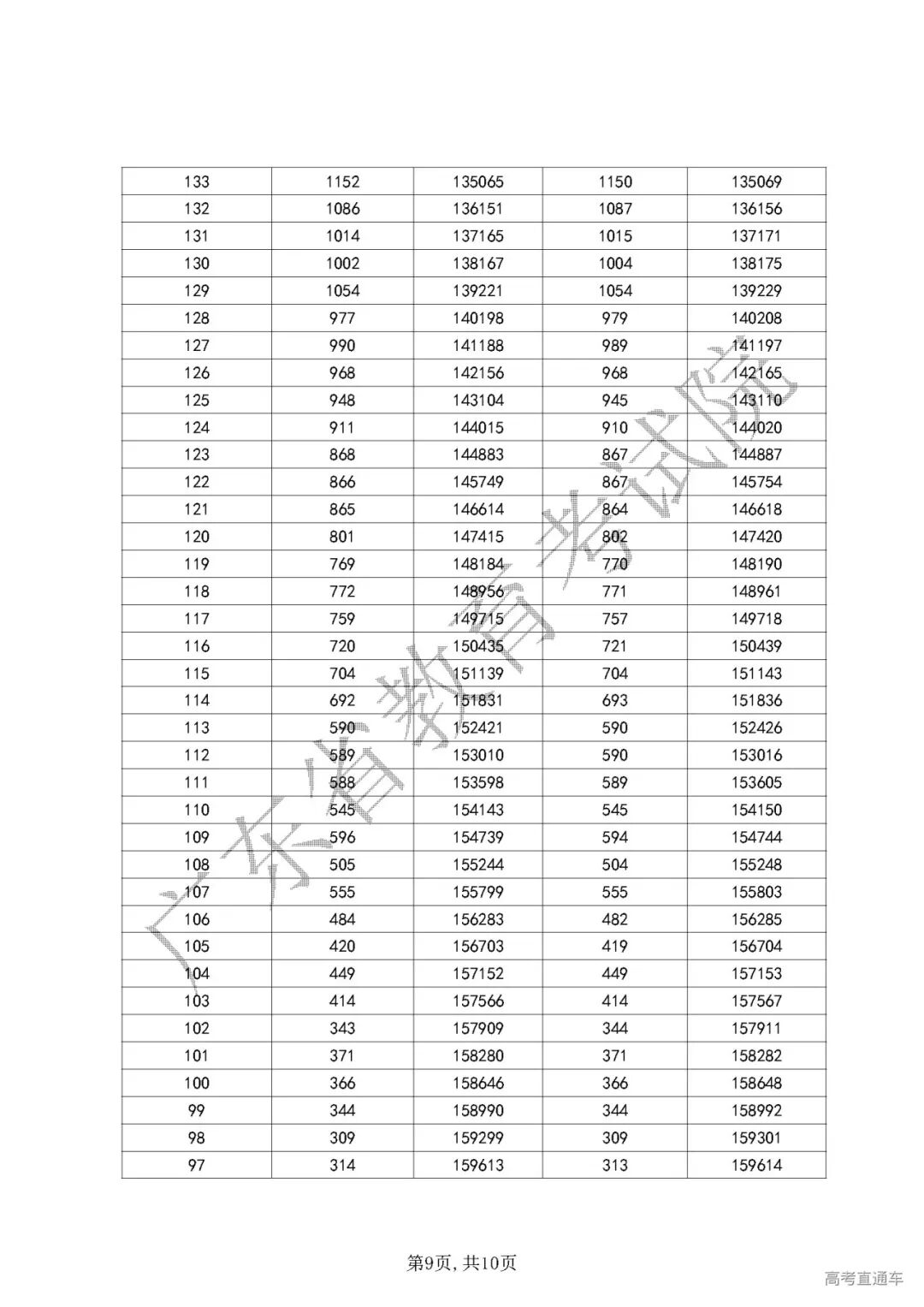
近3年一分一段表(滑动浏览)
2024年:
详细数据由省考试院进行发布,高考直通车将第一时间跟进
2023年:
2022年:
2024学考录取规则(滑动浏览)









































