6月29日下午,济南市教育局中招办召开2024年全市高中阶段学校招生工作第一次新闻发布会。
高考直通车梳理一下发布内容,志愿填报资格线、一分一段表、分类招生计划,这些重点你必须get到!
一、招生计划
1.普通高中
普通高中学校招生指导计划共计45798人。
2.职业院校
职业院校招生(指导)计划共计42490人,其中:
(1)初中后高等职业教育招生计划共计6426人。包括“3+4”高等职业教育本科计划40人、五年制高等师范教育计划5人、五年制高等职业教育计划537人、“三二”连读高等职业教育计划1528人、联办五年制高等职业教育计划4316人。
(2)中等职业学校招生指导计划共计36064人。包含中专招生指导计划11900人、市属技工院校招生指导计划24164人。
二、志愿 填报资格线
普通高中志愿填报资格线为450分。
“3+4”高等职业教育志愿填报资格线为471分。
五年制高等师范教育志愿填报资格线为360分。
五年制高等职业教育、“三二”连读高等职业教育、联办五年制高等职业教育志愿填报资格线为180分。
三
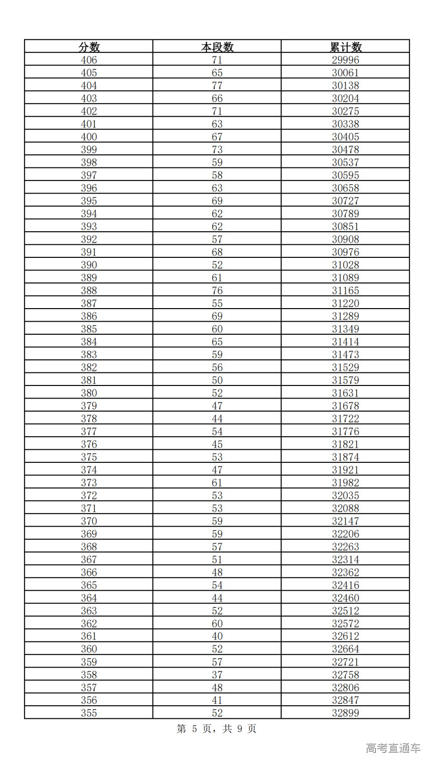
三、一分一段表
为方便考生填报志愿,中招办在公布各类志愿填报资格线的同时,公布全市(不含莱芜区、钢城区)及市内七区(历下、市中、槐荫、天桥、历城、南山、高新)初中毕业年级学业水平考试一分一段表。
1.全市一分一段表(不含莱芜区、钢城区)
2.市内七区一分一段表(历下、市中、槐荫、天桥、历城、南山、高新)

















