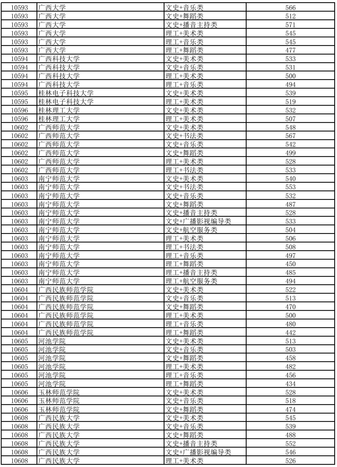
广西2023年普通高校招生本科提前批艺本二批最低投档分数线

2023-07-13 21:15 广西招生考试院 评论

说明:

1.综合分=总分(总成绩+加分分值)×40%+艺术统考成绩×(750/300)×60%。

2.表中空白处表示无相应科类招生计划或无出档考生。

3.北方工业大学:专业成绩不低于省统考合格线上20分。华侨大学:专业成绩不低于满分的70%,文化成绩不低于满分的45%。西南大学:高考文化投档成绩不低于广西普通本科文理一本批次线70%。暨南大学:录音艺术专业要求高考文化课成绩必须达到普通类专业第一批本科录取控制分数线。



图片

图片

图片

图片

图片

图片

图片

图片

图片

图片

图片

图片

图片

图片

图片


登录高考直通车APP
查看完整试题答案
好的
查看完整试题
特别声明:
1. 本站注明稿件来源为其他媒体的文/图等稿件均为转载稿,本站转载出于非商业性的教育和科研之目的,并不意味着赞同其观点或证实其内容的真实性。如转载稿涉及版权等问题,请作者在两周内速来电或来函联系,本站根据实际情况会进行下架处理。
2. 任何媒体、网站或个人未经本网协议授权不得转载、链接、转贴或以其他方式复制发表,违者本站将依法追究责任。
举报理由选择
确定
高考直通车官网

哇哦!快加入高考直通车APP,发现更多精彩内容,与学霸一起交流学习吧!