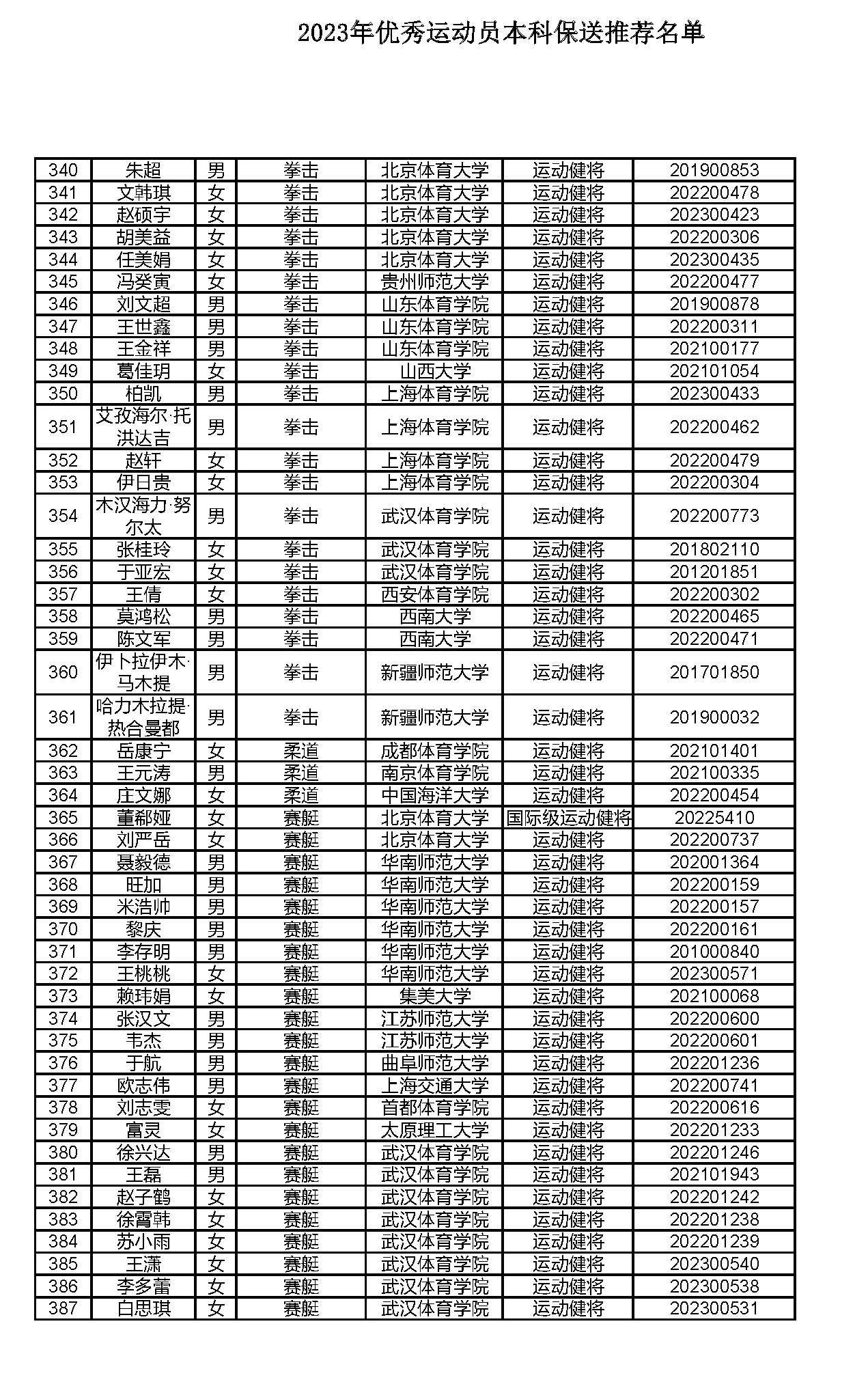
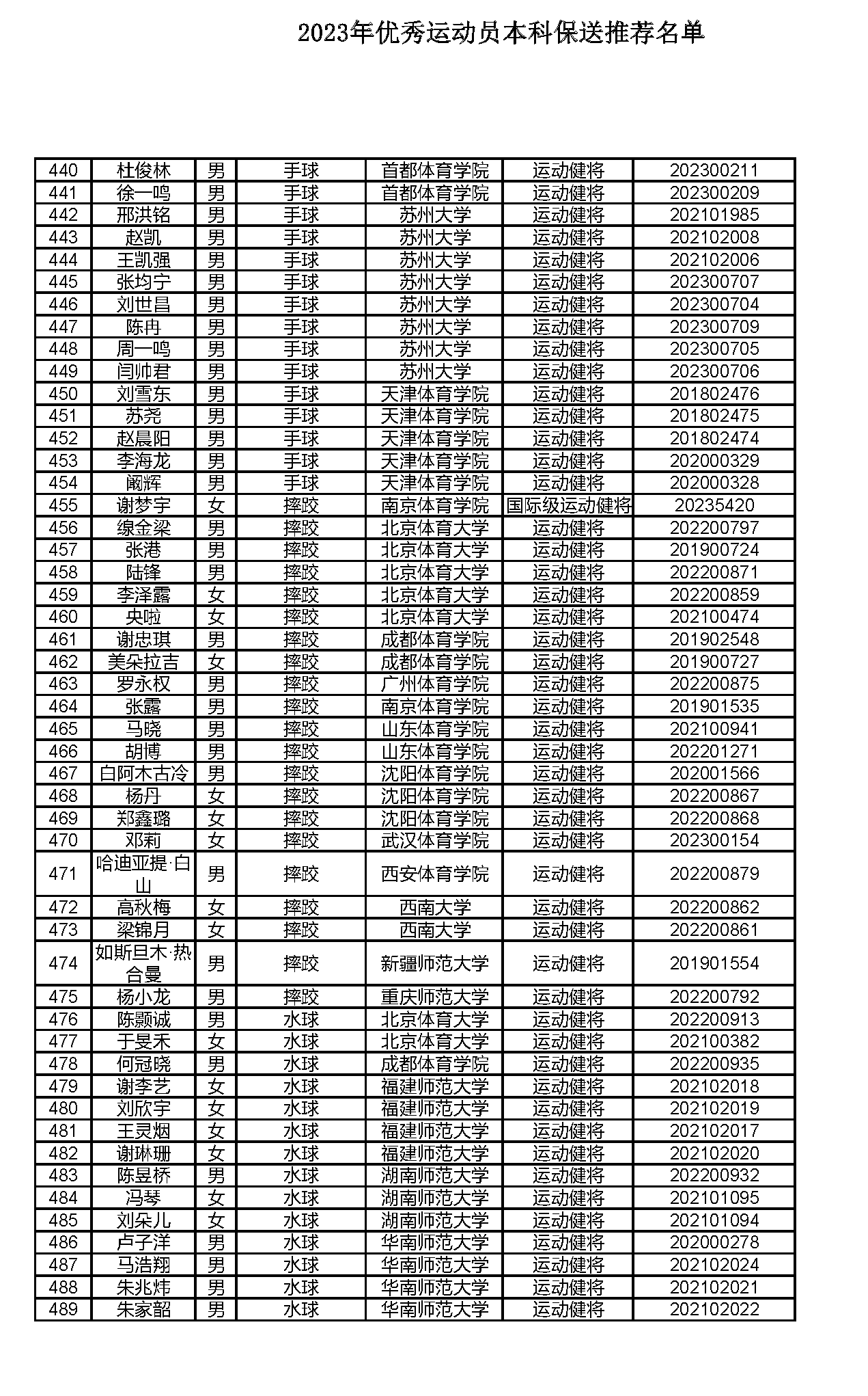
根据教育部、国家体育总局等六部委《关于进一步做好退役运动员就业安置工作的意见》(体人字〔2002〕411号)和《体育总局办公厅关于做好2023年高校保送录取运动员有关事宜的通知》(体科字〔2022〕216号)规定,经相关招生院校、省级体育行政部门、体育总局运动项目管理中心、全国性体育社会组织、省级招生考试机构等审核,共有820名运动员通过审核,获得保送上大学的推荐资格。现将2023年优秀运动员本科保送推荐名单进行公示。
公示时间:2023年6月15日至21日。
任何单位和个人对公示信息持有异议,可在公示期内以书面形式(包括必要的证明材料)向体育总局科教司提出。单位反映情况的,需在相关材料上加盖本单位公章,并写明联系人姓名、通讯地址与电话;个人反映情况的,需在相关材料上签署真实姓名,并写明本人的身份证号、工作单位、通讯地址和电话。同时将相关材料扫描或拍照后发至联系邮箱或传真,逾期及匿名反映不予受理。体育总局科教司对反映情况的单位和个人信息予以保密,并认真组织调查、核实和处理。
传真:010-67134017
邮箱:jyc@sport.gov.cn
邮寄地址:北京市东城区体育馆路2号体育总局科教司
体育总局科教司
2023年6月15日
















