6月29日下午,济南市教育局召开新闻发布会,公布济南市2021年高中阶段学校招生考试相关情况。
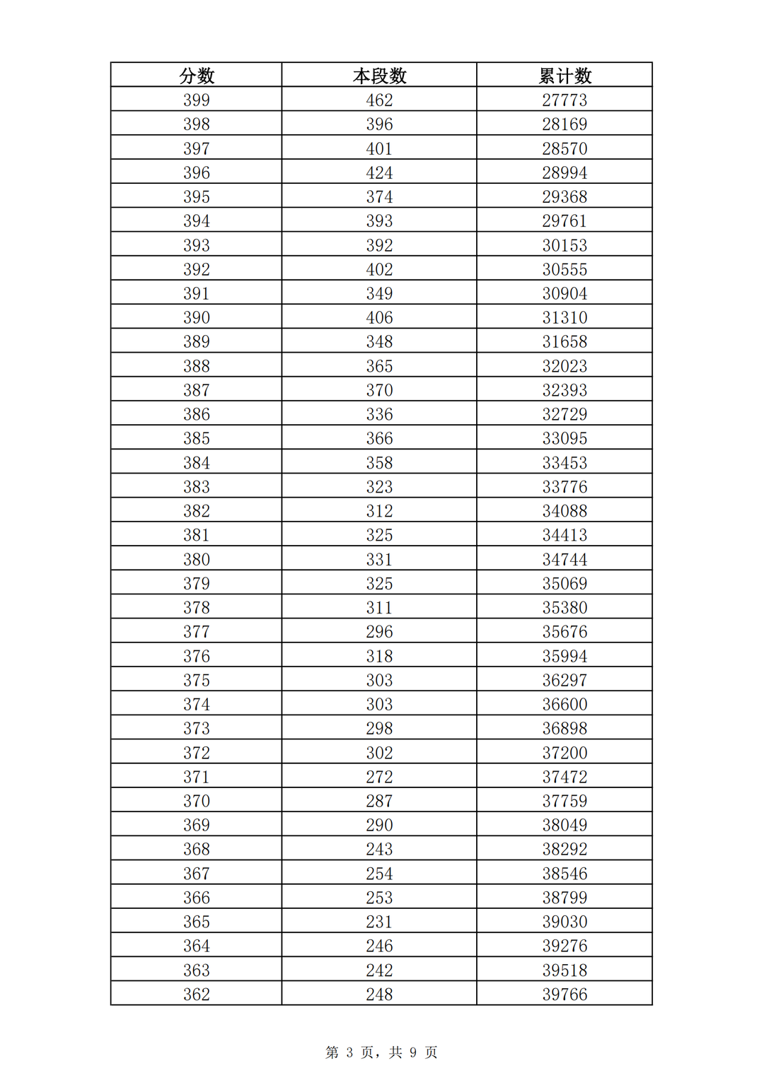
2021年济南市(不含莱芜区、钢城区)九年级初中学业水平考试共报名参加考试63078人,普通高中学校招生计划共计41288人,普通高中志愿填报资格线为362分。
今年中考招生录取时间为7月5日至7月25日。填报志愿录取进程分为三个批次,第一批次志愿填报时间为7月5日至7月6日,第二批次为7月14日至7月15日,第三批次为7月22日。
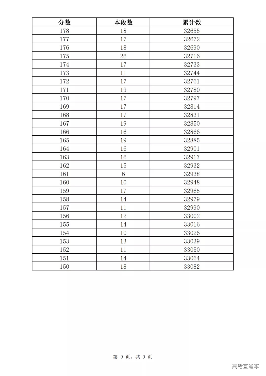
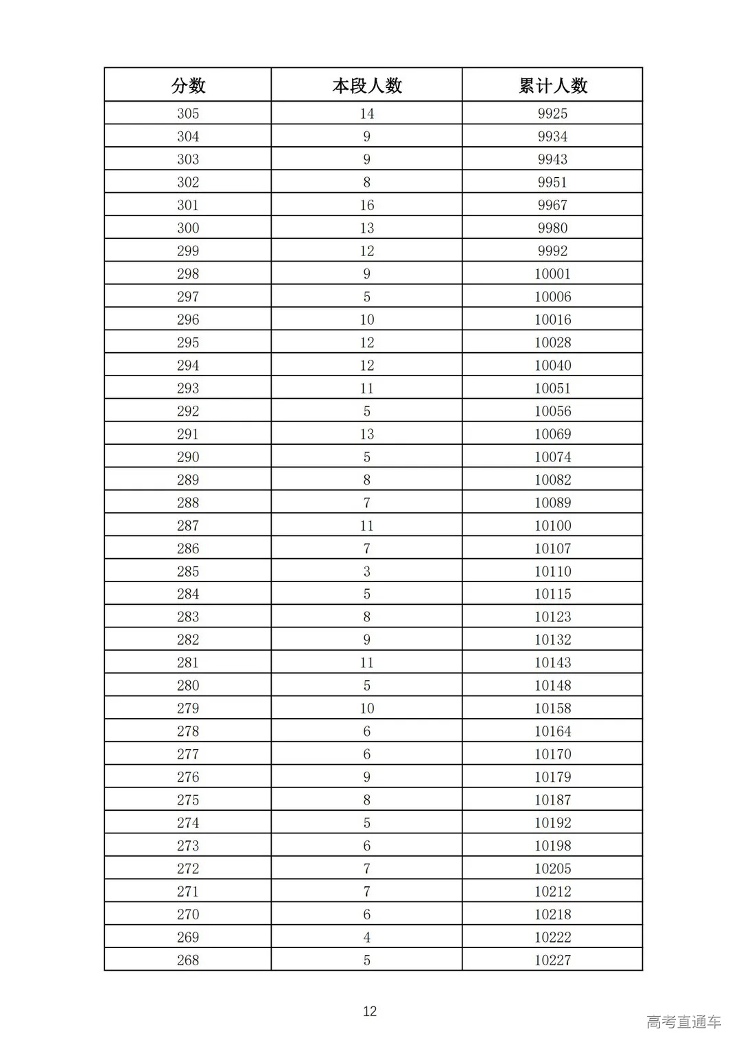
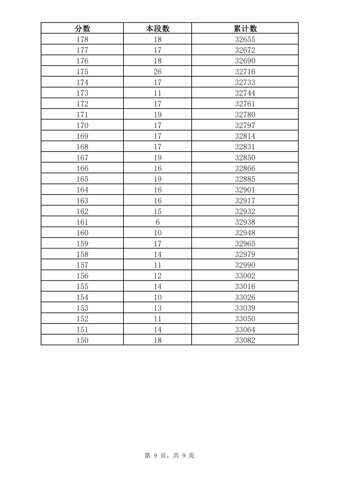
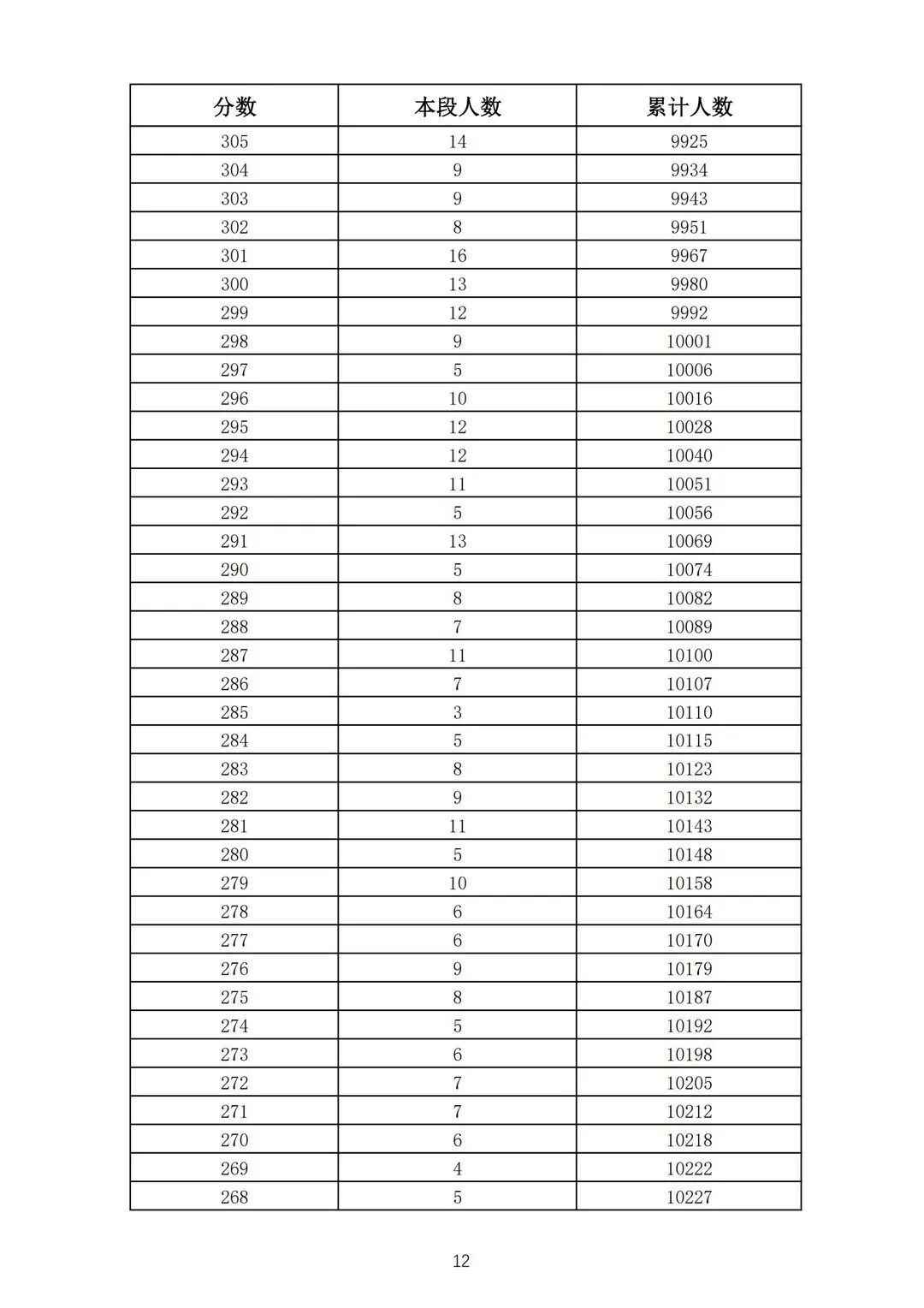
一分一段表公布
原济南地区:
一分一段表 为方便考生填报志愿,中招办在公布各类志愿填报资格线的同时,公布全市(不含莱芜区、钢城区)及市内七区(历下、市中、槐荫、天桥、历城、高新、南山)九年级学业水平考试一分一段表。 点击图片可放大哦! 全市一分一段表 (不含莱芜区、钢城区) 市内七区一分一段表 (历下、市中、槐荫、天桥、历城、高新、南山) 原莱芜地区: 考生一分一段表 学校招生代码











































