队 长:葛云飞 教授 就业招生处处长
主要负责数据建模、数据计算
副队长:郑春武 讲师 就业招生处副处长
主要负责数据整理、数据采集
成 员:李 祥 安鹏腾
学生助理9人
主要负责基础数据采集
从2017年起把“原本科二批”和“原本科三批”合并而成新的“本科二批”,只有2017年、2018年两年投档数据,其他年录取数据只能为辅助数据,使用价值不大,因此,今年本科二批投档最低估分稳定性仍不强,特别是理科数据,估分数据与实际录取数据会产生一定的偏差,本数据仅仅作为报志愿参考而已。不能作为报志愿的唯一依据。
1.根据2018年与2019年本科二批段考生成绩分布规律特点,考虑到本科一批分数段少部分学生在本科二批中录取、及招生计划变化能因素,依据局部差异性,采用不同估值方法进行。以文科为例看分布率。
2019年文科一分一段累计人数分布率(536-447)
2018年文科一分一段累计人数分布率(547-436)
2019年文科一分一段人数分布率(536-447)
2018年文科一分一段人数分布率(536-447)
2.估分仅仅是高校投档最低分,也就是说如果你不考虑专业、同意专业调剂情况下入校门槛分。如果你要选择专业,就需要高出这个估分分15分、30分、甚至更高分。
3.本科二批是九个平行志愿,你在选择学校时,学校之间要有一定分数梯度,第一、第二、三志愿选择估分与你的考分基本一致的学校,第四、第五、六志愿选择估分低于你成绩15分左右学校,第七、第八、第九志愿选择估分低于你成绩30分左右学校。
4.投档最低分并不是录取最低分,在填报志愿不仅要考虑投档人数还有考虑投档比例。本科一批、本科二批、本科三批和高职高专批的平行志愿,省招办按计划数的适当比例向高校提供上线生源情况,高校提出调档比例意见,省招办根据高校调档要求进行模拟投档。高校根据模拟情况,最终确定调档比例,省招办根据高校最终确定的调档比例进行正式投档(投档比例一般在105%以内)。
5.本文系河南经贸职业学院就业招生处处长葛云飞带领的高考志愿填报团队,在多年指导高考志愿填报经验上用数据推算出来的,具有一定指导意义,本团队不进行面对面指导,也不进行线上指导,不接受任何有偿咨询,考生根据自己情况参考填报。
2019年7月3日
河南经贸职业学院高考志愿指导团队
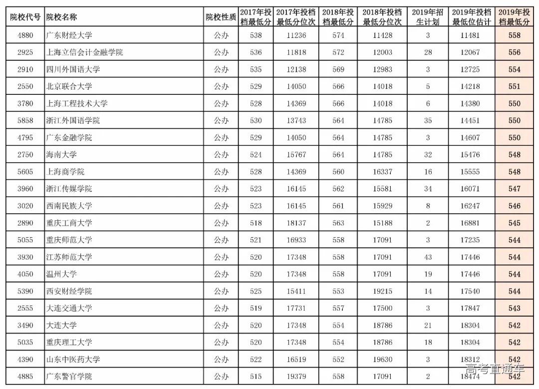
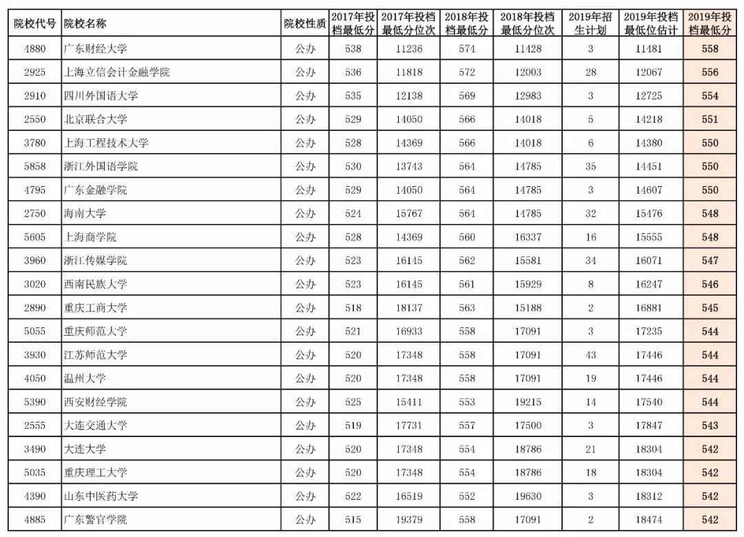
2019年本科二批在豫招生院校最低投档预估分(理科)
注:此研究成果部分院校预估分可能与实际存在较大出入,仅仅供考生参考,请考生以自己的实际分析为准。
2019年本科二批在豫招生院校最低投档预估分(文科)
2019年本科二批在豫招生院校最低投档预估分(文科)
注:此研究成果部分院校预估分可能与实际存在较大出入,仅仅供考生参考,请考生以自己的实际分析为准。




































































































