2020上海高考综合评价批次院校录取考生名单公示

2020-08-06 17:25 上海教育 评论

上海市教育考试院公布今年复旦大学、上海交通大学、同济大学、华东师范大学等校招生综合评价批次院校录取考生名单。详见下文↓


注:部分院校顺延公示综合评价批次录取考生名单







复旦大学








上海交通大学




   




同济大学








华东师范大学








华东理工大学









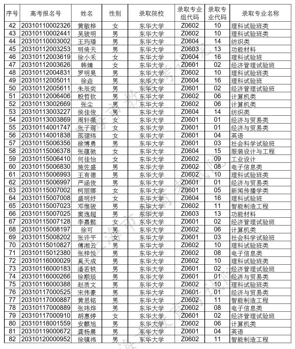
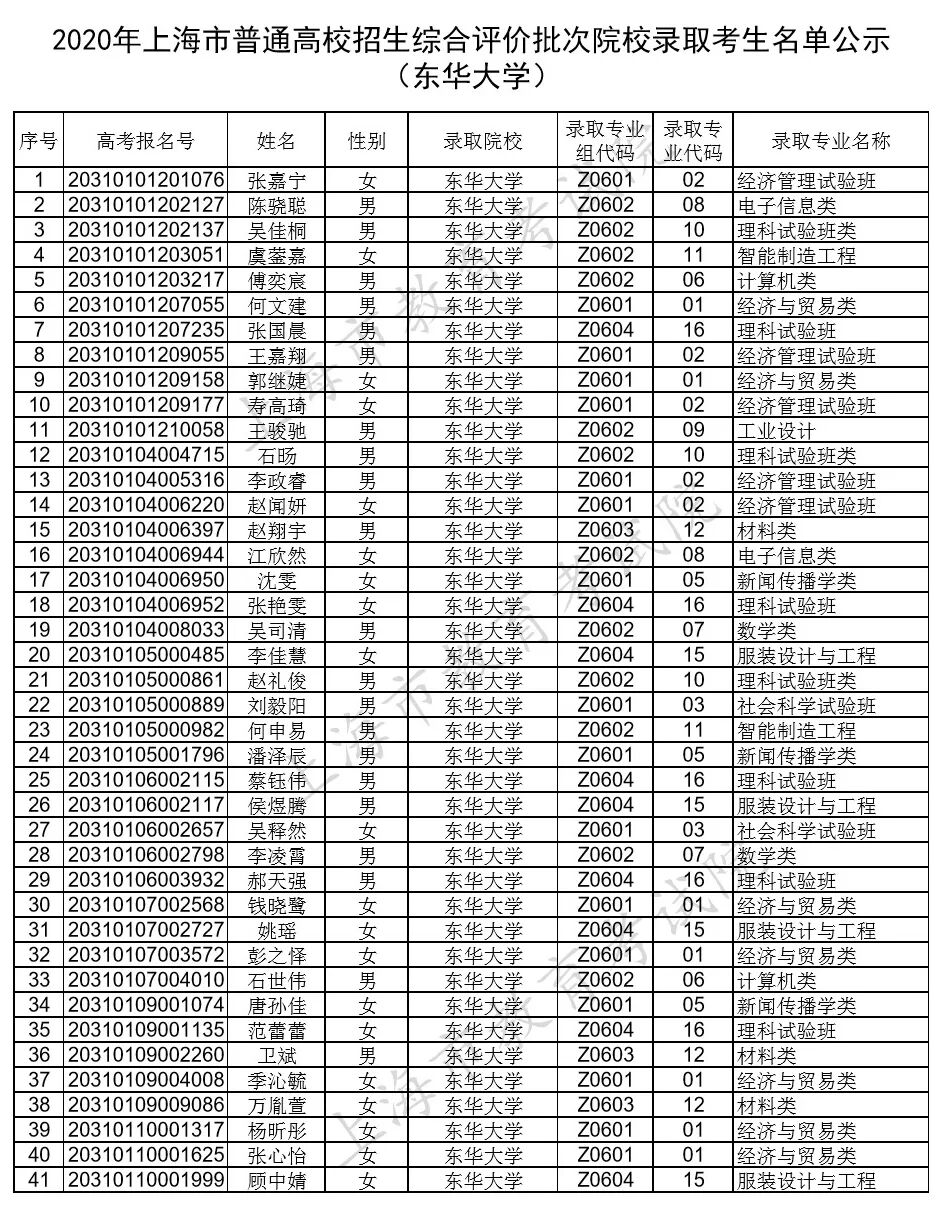
东华大学




   




上海财经大学








上海外国语大学








上海大学








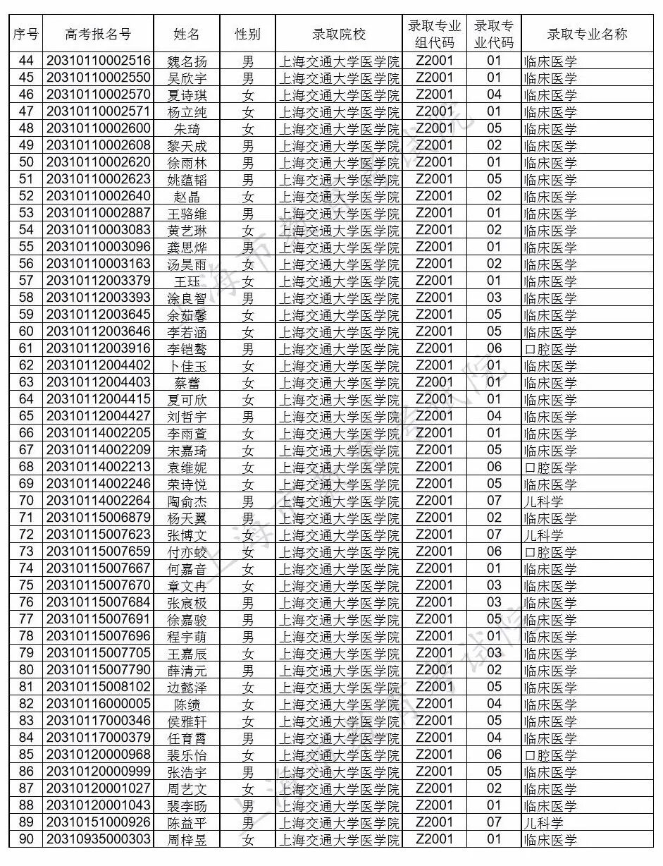
上海交通大学医学院








复旦大学医学院








上海中医药大学








浙江大学





登录高考直通车APP
查看完整试题答案
好的
查看完整试题
特别声明:
1. 本站注明稿件来源为其他媒体的文/图等稿件均为转载稿,本站转载出于非商业性的教育和科研之目的,并不意味着赞同其观点或证实其内容的真实性。如转载稿涉及版权等问题,请作者在两周内速来电或来函联系,本站根据实际情况会进行下架处理。
2. 任何媒体、网站或个人未经本网协议授权不得转载、链接、转贴或以其他方式复制发表,违者本站将依法追究责任。
举报理由选择
确定
高考直通车官网

哇哦!快加入高考直通车APP,发现更多精彩内容,与学霸一起交流学习吧!