天津2022年高考成绩一分一段表

2022-06-24 14:09 天津教育招生考试院 评论

图片

图片

1.美术与设计学类综合分分数段情况

图片

图片

图片

图片

图片

2.戏剧与影视学类综合分分数段情况

图片

3.舞蹈学类(非体育舞蹈专业)综合分(市级统考专业成绩)分数段情况

图片

4.舞蹈学类(体育舞蹈专业)综合分(市级统考专业成绩)分数段情况

图片

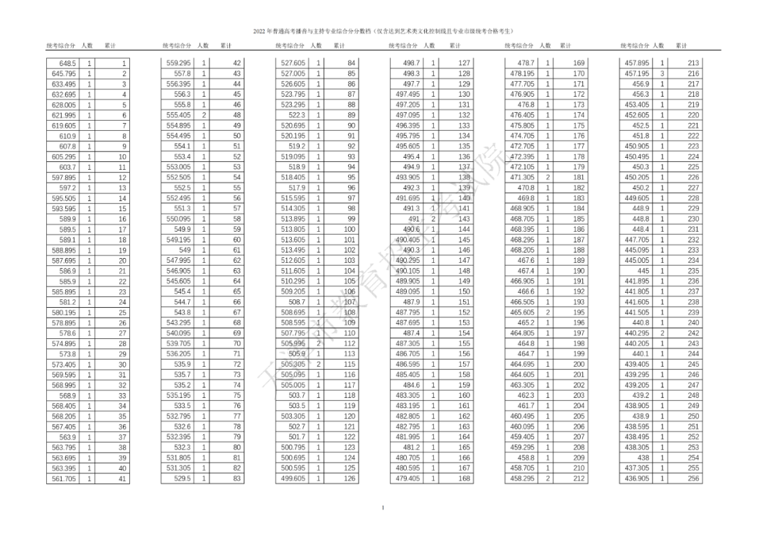
5.播音与主持专业综合分分数段情况

图片

图片

6.音乐类(器乐)综合分分数段情况

图片

7.音乐类(声乐)综合分分数段情况

图片

8.体育类综合分分数段情况

图片

图片



登录高考直通车APP
查看完整试题答案
好的
查看完整试题
特别声明:
1. 本站注明稿件来源为其他媒体的文/图等稿件均为转载稿,本站转载出于非商业性的教育和科研之目的,并不意味着赞同其观点或证实其内容的真实性。如转载稿涉及版权等问题,请作者在两周内速来电或来函联系,本站根据实际情况会进行下架处理。
2. 任何媒体、网站或个人未经本网协议授权不得转载、链接、转贴或以其他方式复制发表,违者本站将依法追究责任。
举报理由选择
确定
高考直通车官网

哇哦!快加入高考直通车APP,发现更多精彩内容,与学霸一起交流学习吧!