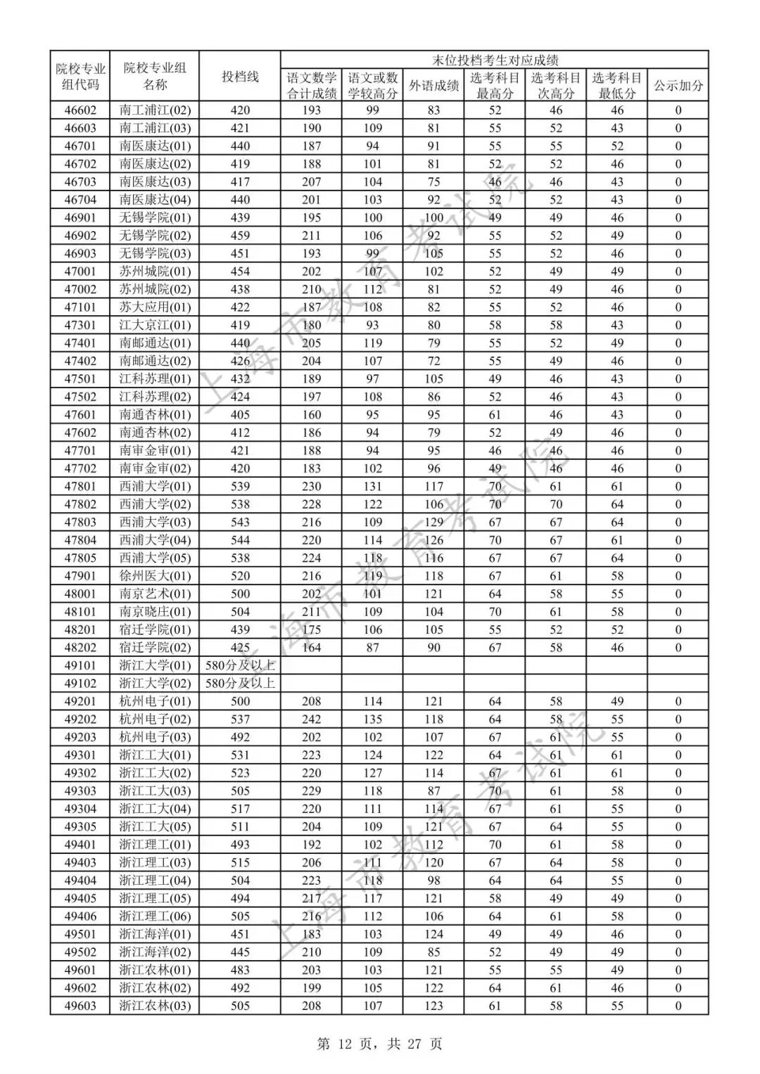
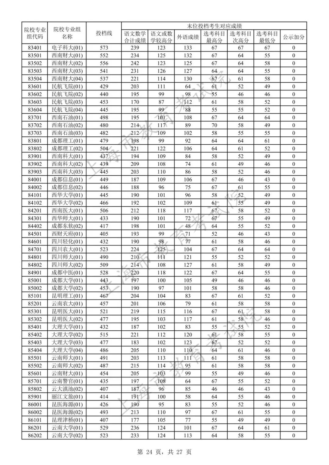
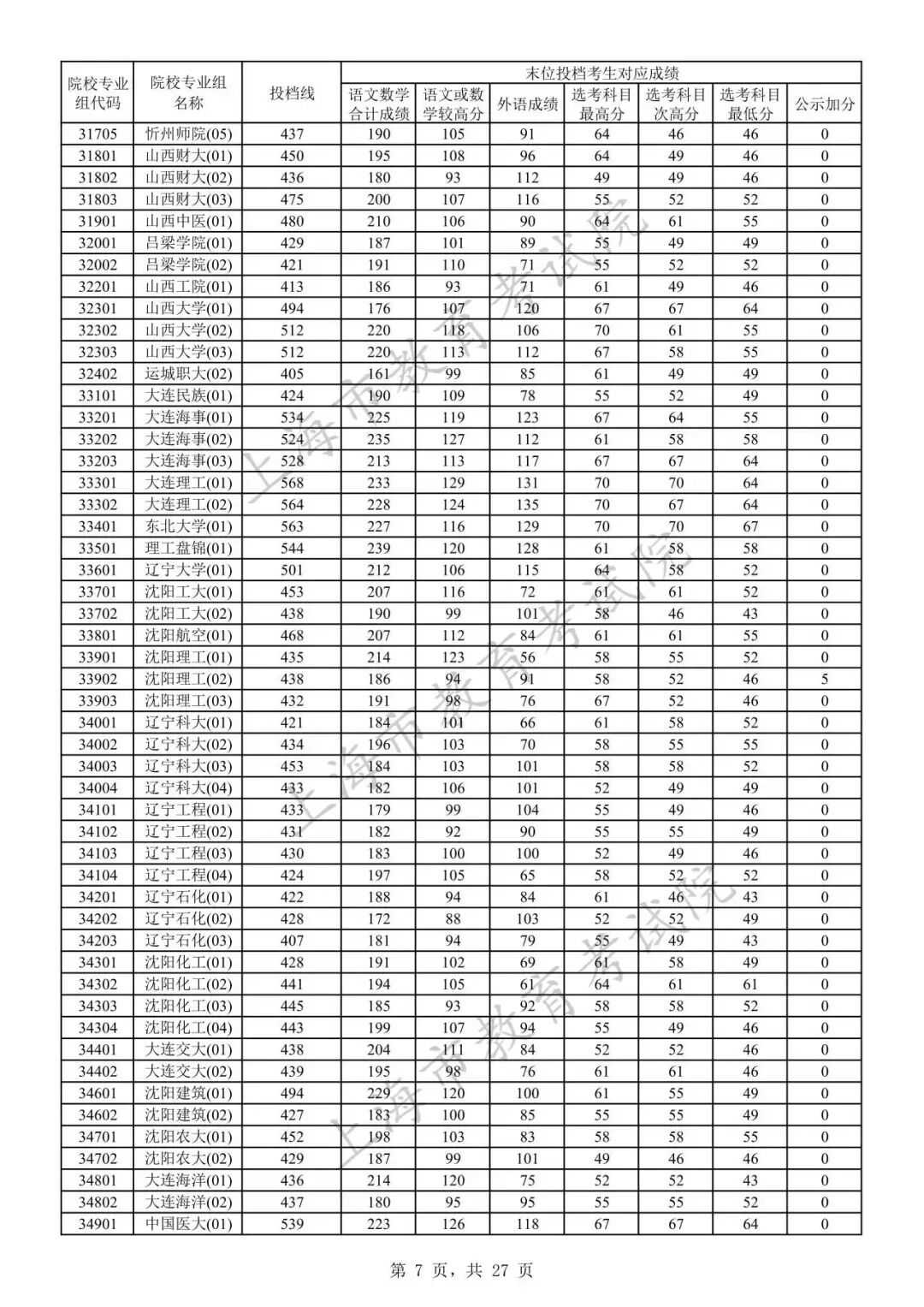
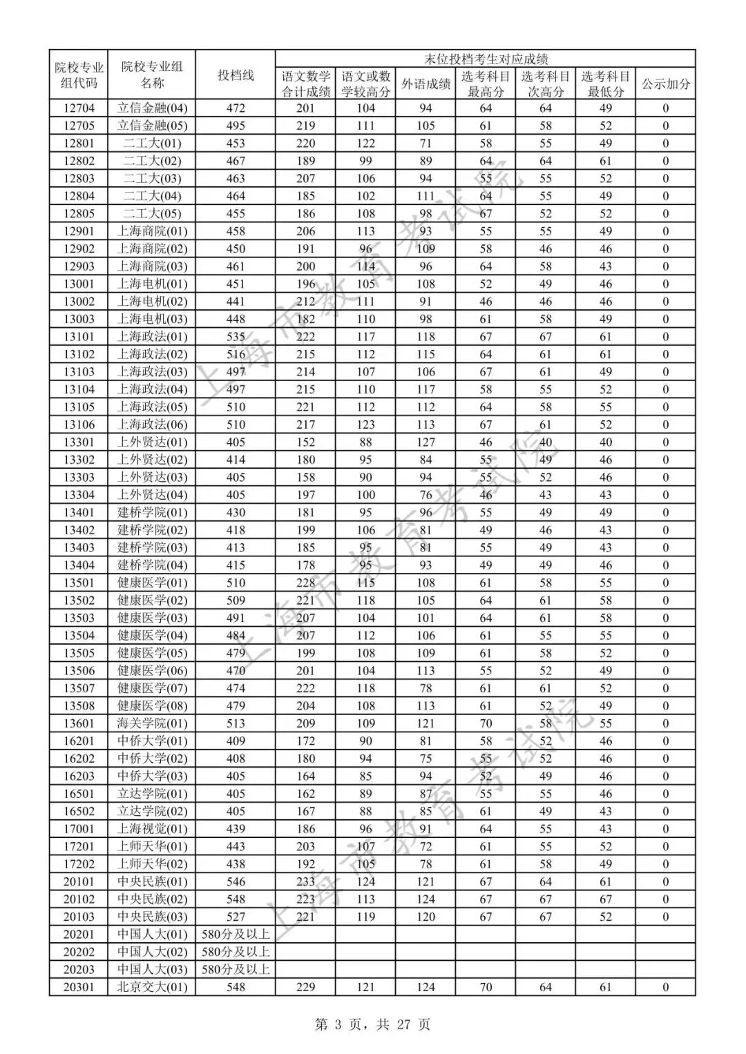
上海2023年本科普通批次平行志愿院校专业组投档分数线公布
2023-07-21 19:50
上海国子监发布
评论
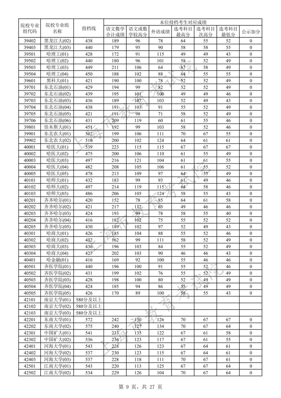
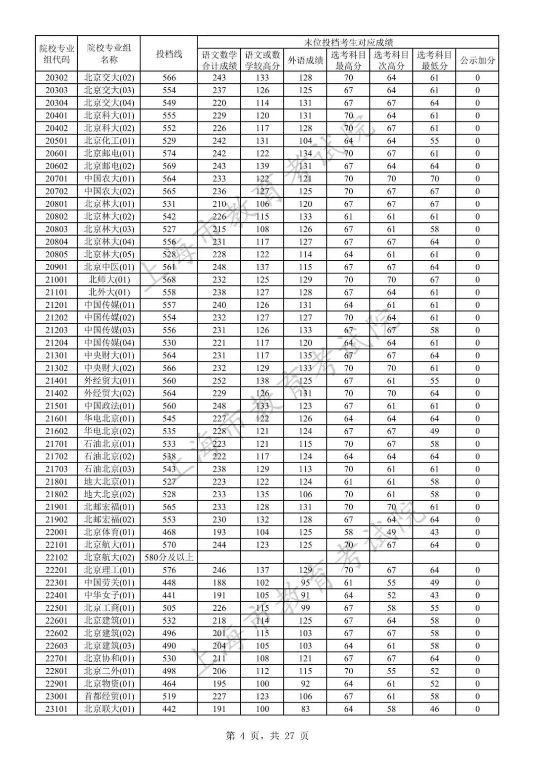
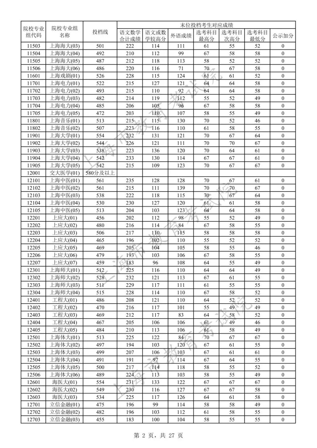
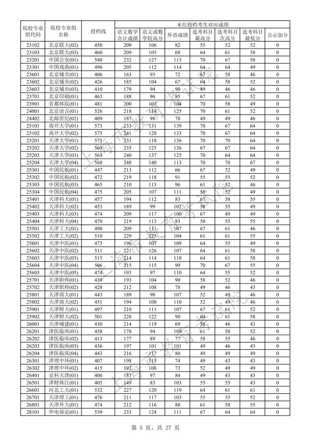
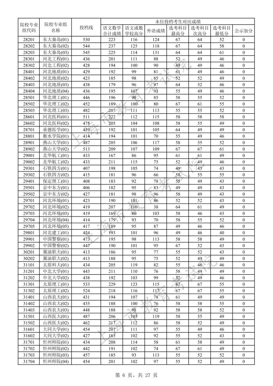
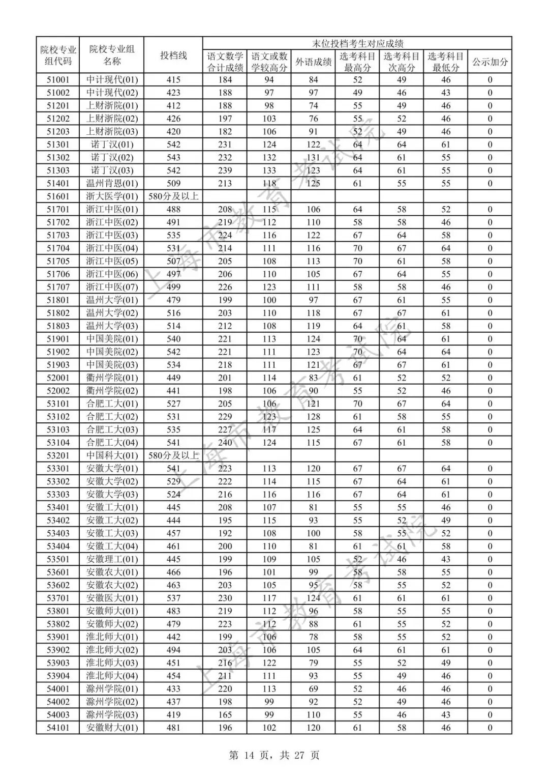
023年上海市普通高校招生本科普通批次平行志愿院校专业组投档分数线公布,详见↓
(点击图片可放大查看)
登录高考直通车APP
查看完整试题答案
好的
查看完整试题
登录查看完整试题答案
0
阅读数:2.2 k
特别声明:
1. 本站注明稿件来源为其他媒体的文/图等稿件均为转载稿,本站转载出于非商业性的教育和科研之目的,并不意味着赞同其观点或证实其内容的真实性。如转载稿涉及版权等问题,请作者在两周内速来电或来函联系,本站根据实际情况会进行下架处理。
2. 任何媒体、网站或个人未经本网协议授权不得转载、链接、转贴或以其他方式复制发表,违者本站将依法追究责任。
相关图文
评论区 (0)
最热
最新
努力加载中...
举报理由选择
涉及到广告的信息
黄赌毒/政治敏感等有害信息
辱骂等不友善行为
确定
高考直通车官网
哇哦!快加入高考直通车APP,发现更多精彩内容,与学霸一起交流学习吧!
复制下载链接