高职(专科)院校第1次征集志愿投档录取后,部分院校因生源不足、考生不符合院校招生章程要求等原因,尚有剩余计划,现进行网上征集志愿。
一、征集志愿对象
1.普通类:高考合计总分达到高职(专科)录取控制分数线的未被录取考生。
2.民族班:高考合计总分达到报考专业分数线的未被录取少数民族考生,各院校专业报考分数线按教育部有关规定执行,详见附件。
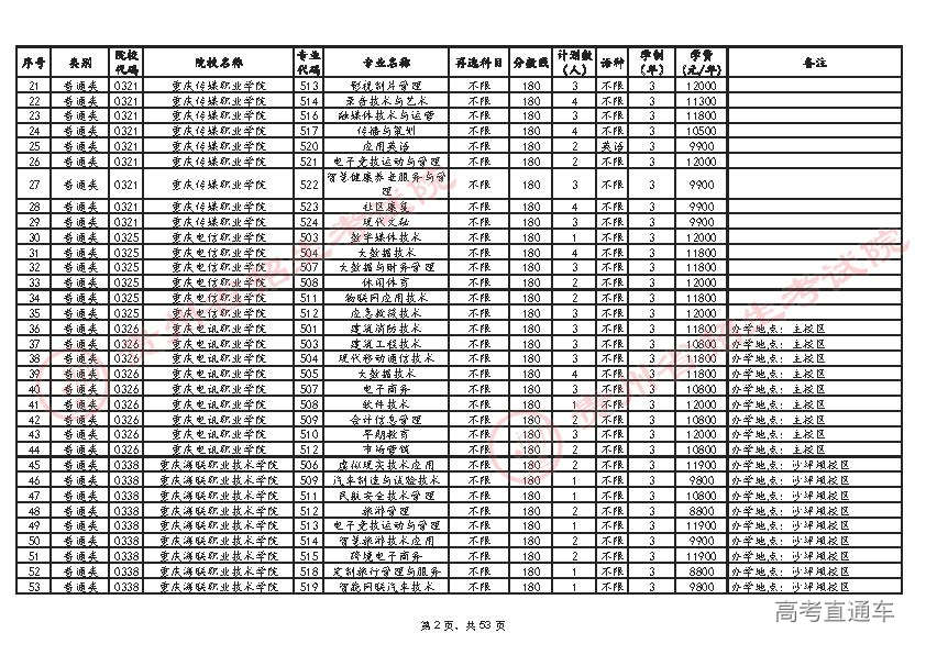
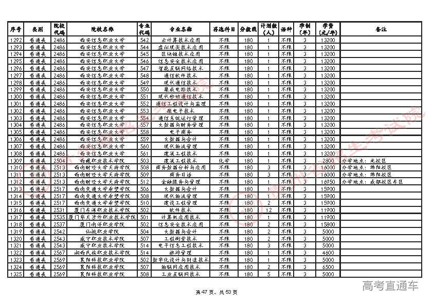
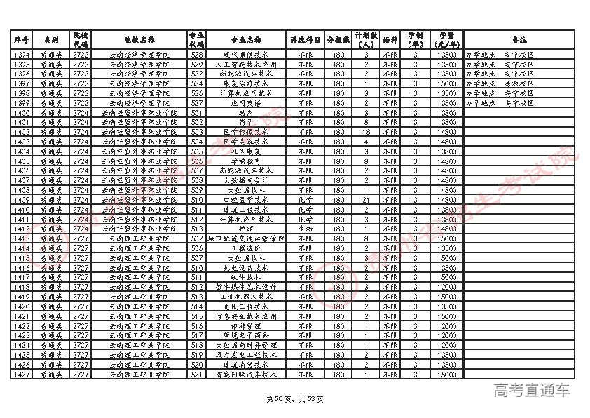
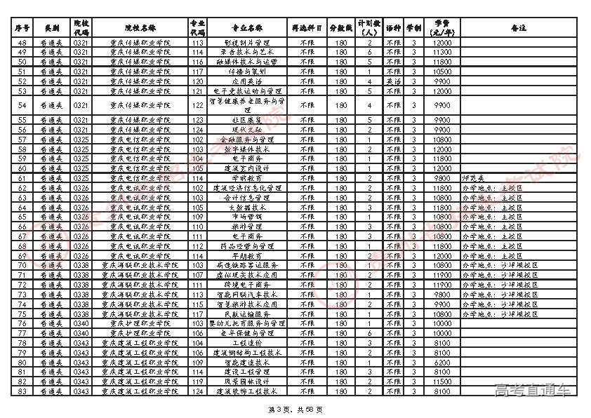
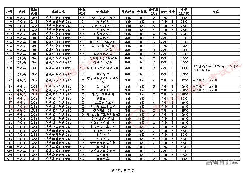
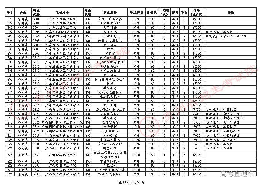
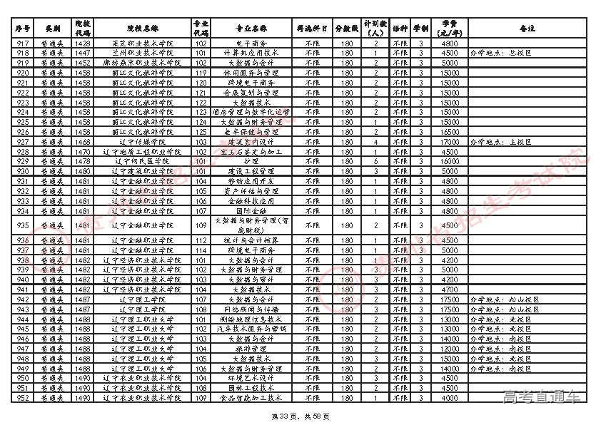
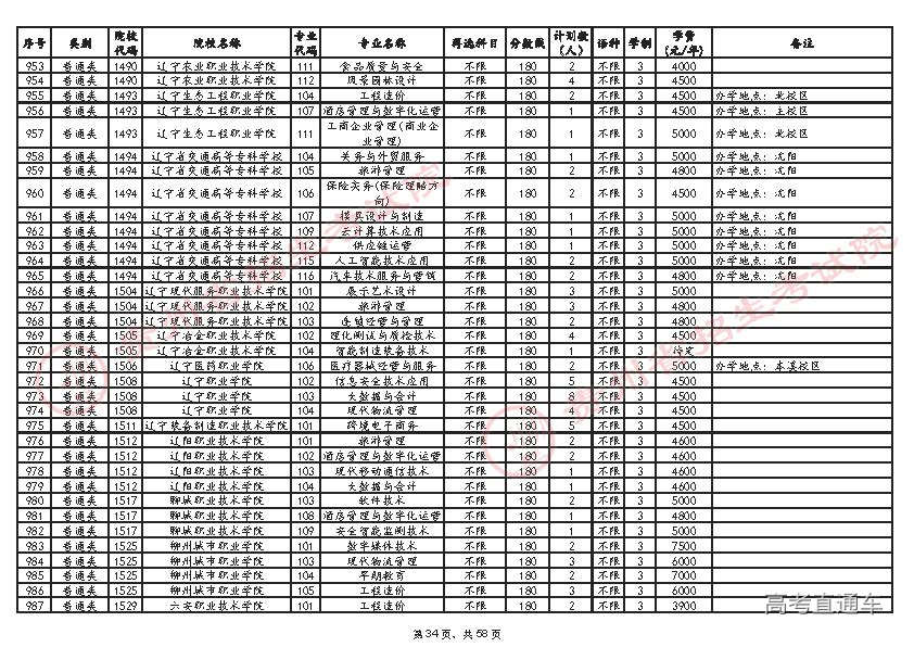
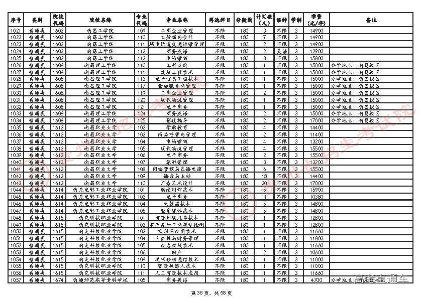
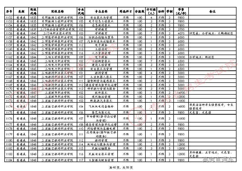
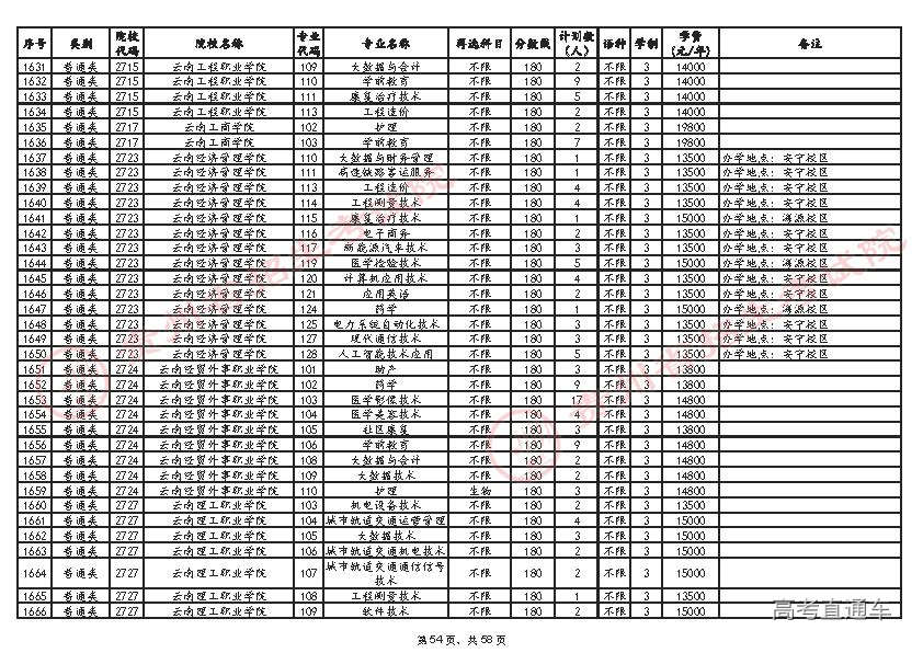
二、征集志愿计划、征集志愿分数线及其他要求见附件。请考生在填报前务必仔细阅读征集志愿计划统计表专业说明和高校《招生章程》中的相关内容,详细了解高校办学类型、专业特色、招生要求、限报条件及录取规则等。
三、本次征集志愿填报时间为8月16日20:00至17日15:00,考生可通过贵州省普通高校招生考试考生综合信息平台(http://gkks.eaagz.org.cn)填报志愿,逾时网上志愿填报系统将自动关闭。
四、投档时,根据院校征集志愿计划和考生志愿一次性平行投档。
附件:
贵州省招生考试院
2024年8月16日
高职(专科)第2次征集志愿计划统计表(物理组合)
高职(专科)第2次征集志愿计划统计表(历史组合)














































































































