2023年广东“语数英”学考备考干货(数学函数知识点)

2023-02-12 11:01 高考直通车综合 评论
图片

图片
图片
图片

数学姿势是一个复杂的过程,

所以怎么能少了帮你梳理解题思路的

数学例题解析部分

↓ ↓ ↓ 

(点击可查看清晰大图)

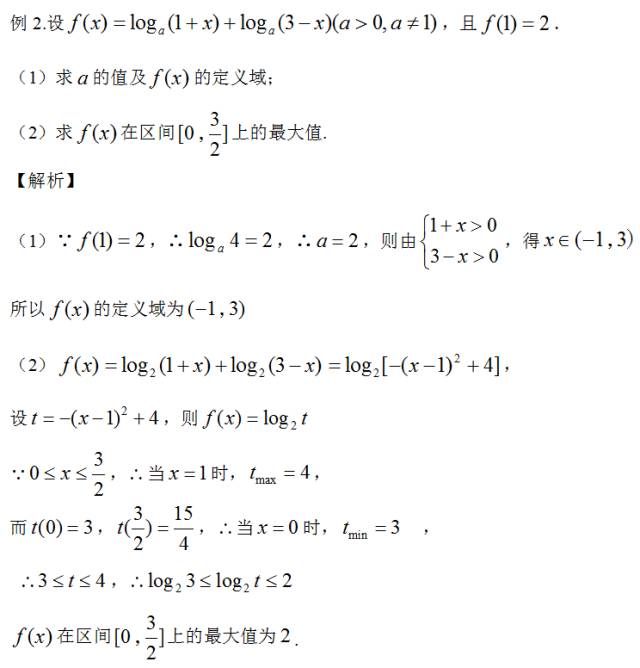
图片
图片
图片

看完例题

就来几道题压压惊

看看今天你的数学又进步了多少
图片


答案

图片

4.A、5.B


登录高考直通车APP
查看完整试题答案
好的
查看完整试题
特别声明:
1. 本站注明稿件来源为其他媒体的文/图等稿件均为转载稿,本站转载出于非商业性的教育和科研之目的,并不意味着赞同其观点或证实其内容的真实性。如转载稿涉及版权等问题,请作者在两周内速来电或来函联系,本站根据实际情况会进行下架处理。
2. 任何媒体、网站或个人未经本网协议授权不得转载、链接、转贴或以其他方式复制发表,违者本站将依法追究责任。
举报理由选择
确定
高考直通车官网

哇哦!快加入高考直通车APP,发现更多精彩内容,与学霸一起交流学习吧!