广州一模试卷很新,难度很大,看似十分创新的题目,基本上都很经典,这也符合了现在的高考命题趋势。如果有认真研究近10年高考真题的同学,肯定不会对一些题目陌生。下面让我们一起来看看这份试卷是怎么从经典中创新的。
试题分析与解析
【T1-T4】

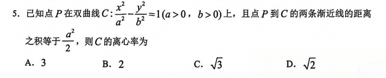
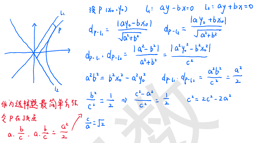
【T5】

【解析】
【T6】
【分析】 本题的关键是数形结合,我们现在坐标系中画出,在令他们等于同一个值,即一条直线与他们相交,交点的横坐标就是 a,b对应的值。这样就很容易判断出来A和C都是错误的。后面分析a和2b ,4容易让大家想到2的平方,所以我们简单变形一下 ,再画图像就可以分析了。
【解析】
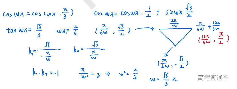
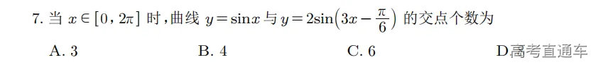
【T7】
【分析】 第七题有点小难度,重点是大家能先找到他们交点对应的值,先把式子展开,可以求出来tanwx的值,根据这个值和周期,我们去找出3个交点,再利用斜率关系或者向量表示他们之间的垂直关系即可。
【解析】
【T8】
【分析】第八题,选择题部分我非常喜欢的一道题,这道题不仅考查了基本不等式的运用,还考查了模拟卷出现频率不算高的“奇穿偶回”,特别经典的一类题目,我们先根据偶函数的性质把代换掉,方程最终形式变为,下面就是根据零点讨论图像的变化,找到符合题目的图像。画图的过程就好像穿针引线!这种题目非常的经典!2021年的全国乙卷中就考过这么一道题,当然还有2020年的浙江卷,广州一模很巧妙的把这类题结合函数的性质改编,我觉得出得是很好的。下面把浙江卷和全国乙卷这两道题留给大家练习。本周限时训练会再给大家做一道!其实本次广州一模还有一道题跟2020年浙江卷有点关系,我们后面说。
【2020年浙江卷】
【2021年全国乙卷】
【解析】
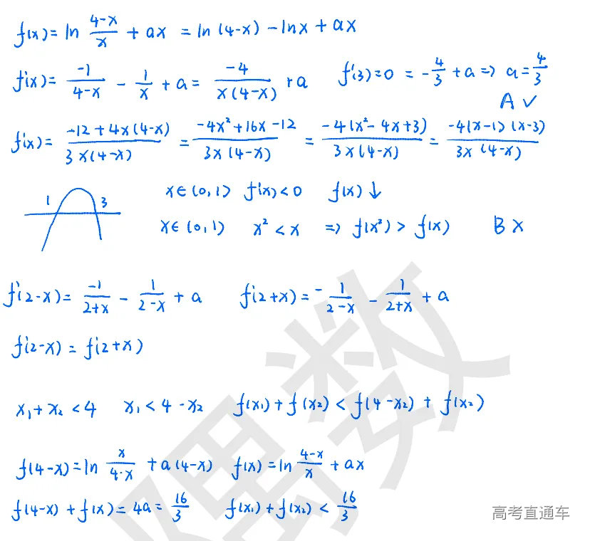
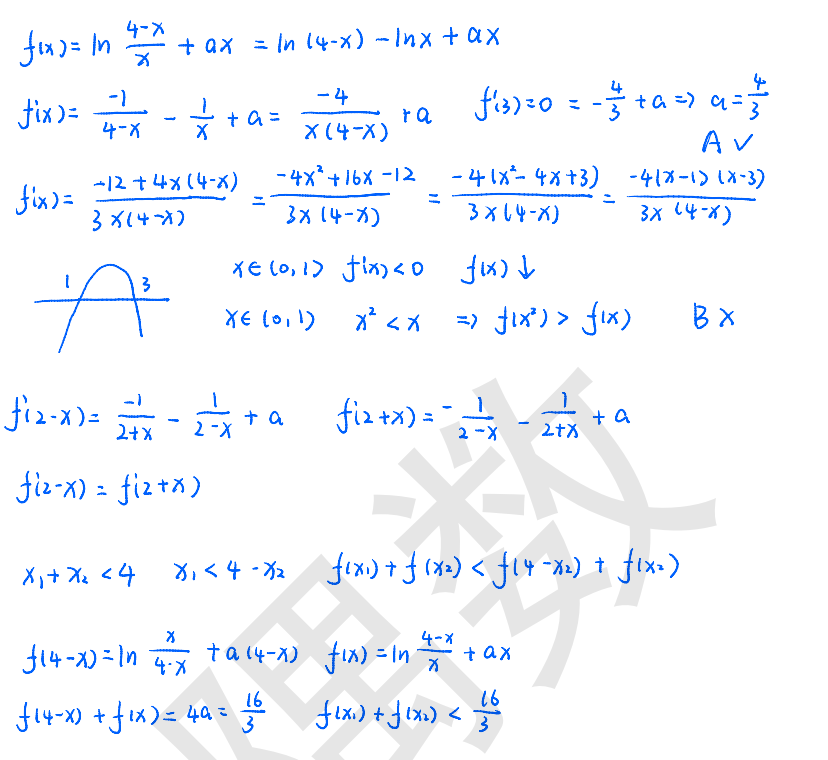
【T9】

【T10】

A选项我们先求导函数,根据极值点的导函数值为0,求出a,B选项我们根据导函数得出x在(0,1)区间上是小于0,这意味着f(x)再这个区间上单调递减,而x∈(0,1)时$x^2f(x)$,B选项错误,这道题是有一点真题的味道的,C选项我们可以先对原函数求导,求完再把2+x和2-x带进去发现是相等的,C选项正确。D选项就涉及到上面放的真题中,函数中心对称的性质了。
【解析】

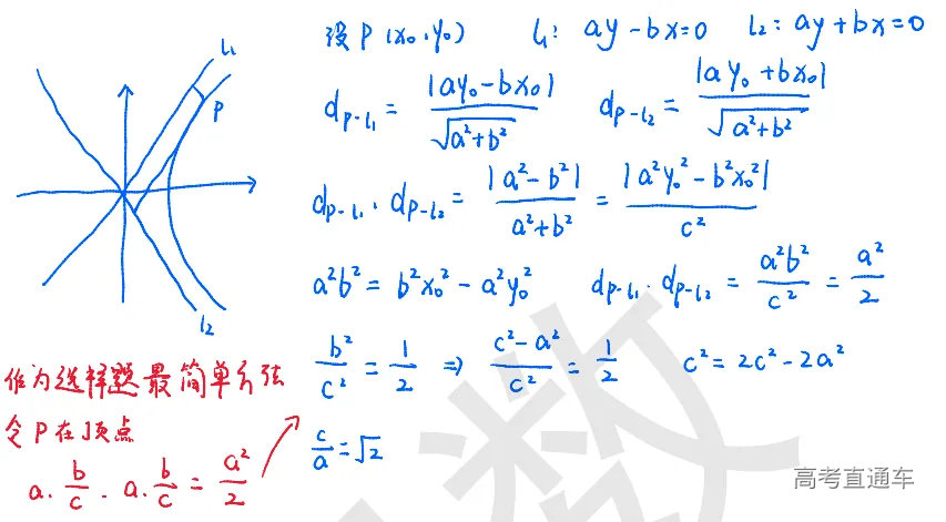
【分析】 说实话,我觉得这道题对大家来说是不友好的,曲线方程没给大家,大家并不会推导,而这个推导过程,是数学专业解析几何教材中的一道课后习题,不过真的要推导起来也不难,我们先画出两个圆,再设两个角,先表示出P坐标,再通过滚过的长度一致得到:aθ=bφ, 由于题目给的a=b,所以θ=φ,这样我们就得到了P的坐标参数表达,后面就是对选项的逐一分析,A选项实际上就是OP长度的取值范围,我们通过计算化简可以得出来,不存在这样的的点,B选项要注意不能因为我们这个设的是参数方程,所以看到点(1,2)去求正余弦,然后代入看对不对,因为我们这个参数方程所设的θ不是OP与x轴所成角!,所以要从结果推θ存在不存在。C选项讲坐标代入,变成了函数交点问题,需要画图形,又把人拉回到了2024年新高考I卷的这道题
D选项模拟卷天天考的三角最值问题,想必大家应该没啥大问题吧。
【解析】
【T12】
【T13】
【解析】
【T14】
【分析】这道题很巧妙的地方在于,这是一个三条边,两两相互垂直的三棱锥,根据这个性质我们过D做各边的垂线,再对D作垂直面PBC的高,很容易证明他们构成一个长方体,再根据题目给的条件,建立等式,算出来DP的值,DP是定值,轨迹自然就知道了,是一个圆,我们求出P到面ABC的距离,算出圆半径 ,最后求求D在ABC内部的轨迹。其实最后这个问题的回归,很多模拟卷都考过,比如金丽衢期末考(2023年1月金丽衢十二校第一次联考高三数学)、再比如浙南名校联考
不过这道题,最难想的是前面一步,如何用好到三边距离和为定值。这道题如果选用建系的方法,计算量很大(中间要用到向量叉乘的几何含义),但是最后也是能求出来这个圆的方程的。
【解析】
【T15-16】

【T17】
【T18】

【T19】



















