很快就要高考了,不少考生和家长已经开始准备填报志愿相关的事项,关于提前批招生是不少人关心的问题,那么本科提前批是什么?招生类型又有哪些?适合哪些考生报考?报考之后又会有什么影响呢。今天就来一起看看!文末附各省2023年本科提前批投档线供大家参考。
提前批次录取是根据国家教育部的有关规定,将一部分招生类别、性质、专业基本相同或相近的学校和国家教委批准提前录取的一些学校集中起来,在大规模招生之前进行提前录取,对提前录取的院校,按照不同层次和特点,分别确定每个学校的控制分数线,招生学校按有关规定确定调阅考生档案数,全面考核,择优录取。
本科提前批分为艺术类和普通类,考生只能选报其中一类,不能兼报。普通类和艺术类均设置A、B两段,并分别按顺序依次录取。
设置2个顺序志愿,教育部批准的独立设置本科艺术院校及参照独立设置本科艺术院校招生办法执行的院校(专业)在本段录取。
除艺术类A段外,其他艺术院校(专业)在本段录取。分美术类和非美术类,美术类设置8个平行志愿,非美术类设置2个顺序志愿。
普通类A段设置2个顺序志愿。招生的院校包括部分院校小语种、部分港校招生、中外合作大学、综合评价招生、以及军事、公安、飞行学员、部分体育专业、航海类等艰苦专业、全国重点马克思主义学院的马克思主义理论专业等院校(专业)。
普通类B段设置20个平行志愿,每个志愿设置1所院校1个专业,“双培计划”“外培计划”(艺术类体育类专业除外)和“农村专项计划”在本段录取。
参加本科提前批录取的都是哪些类别的院校和专业呢?简单来说,就是一些特殊的院校、特殊的招生类型和录取有特殊要求的院校(专业),大致包含以下几种类别:
1.军队院校、公安类院校(含政法类院校的公安类专业)、航空飞行与指挥专业、飞行技术专业; 2.艺术类院校或专业; 3.体育院校(含综合性大学的体育专业); 4.部分院校师范类专业; 5.部分院校小语种专业; 6.部分院校的马克思主义理论专业; 7.两所在内地纳入统招的香港院校:香港中文大学、香港城市大学; 8.其他特殊院校:国际关系学院、北京电子科技学院、外交学院等; 9.综合评价录取院校:比如中国科学院大学、北京外国语大学的部分专业; 10.专项计划:一是“双培计划”“外培计划”;二是“农村专项计划”; 11.个别学校的航海类专业。
提前批是在普通批之前提档录取,如果填报了提前批没有被录取,不影响接下来的普通批录取,如果提前批被成功录取,就失去了本科普通批次被录取的机会。
是否填报提前批志愿,取决于考生是否愿意就读提前批招生的学校或专业,并将其放在优先于本科其他批次的地位。一旦被提前批录取,便心甘情愿放弃后面本科各批次的录取机会,这点十分重要。
总体来讲,提前批次一定要慎重,即不能盲目填报,也不能完全忽略,错失录取机会。提前批次是否要填报,大家还是要综合个人情况,要仔细阅读院校的招生章程,了解招生院校的具体要求,结合个人的相关成绩、身体情况等,综合权衡提前批及本科批次志愿方案。
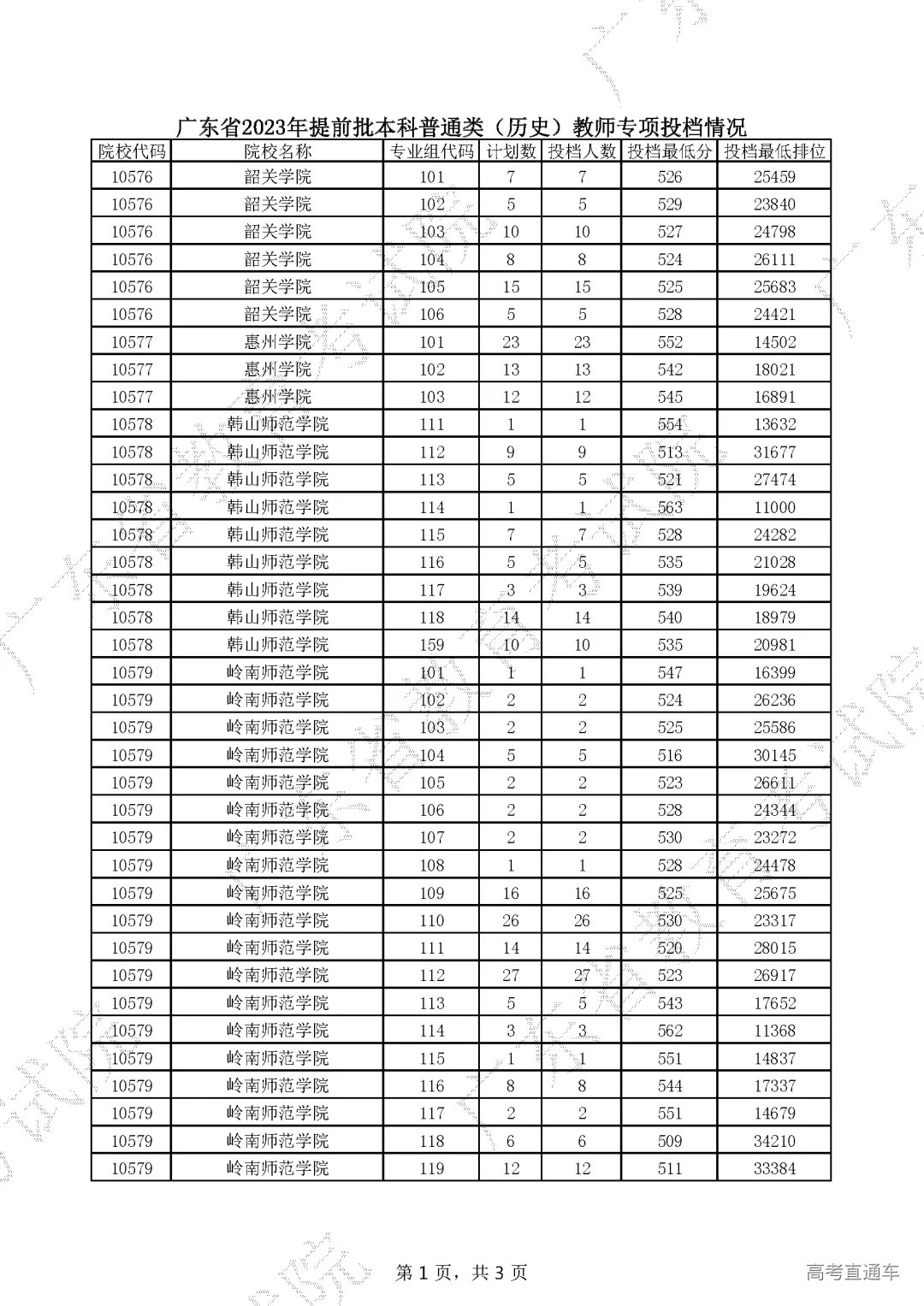
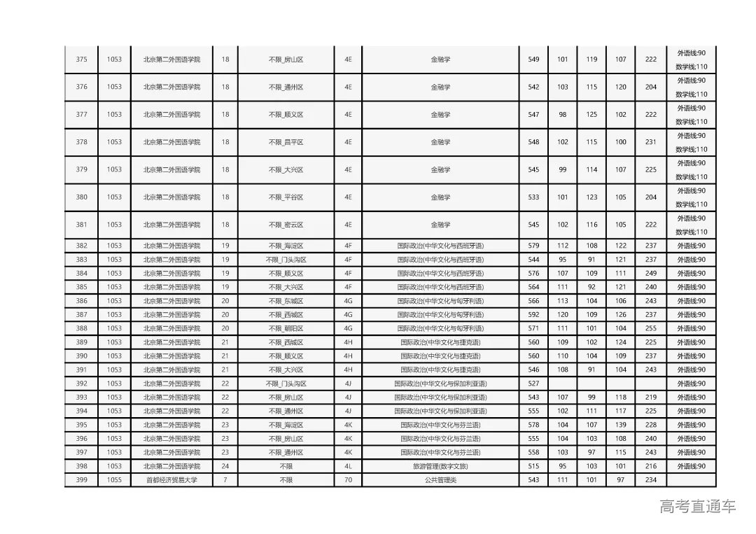
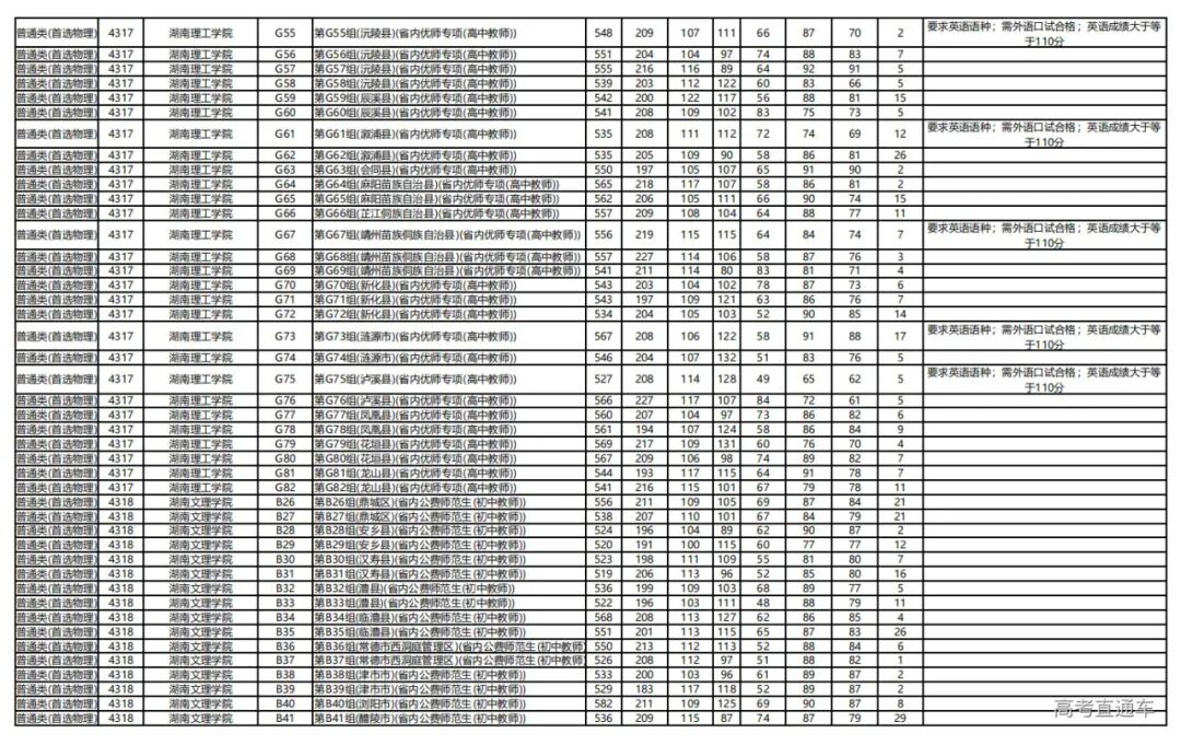
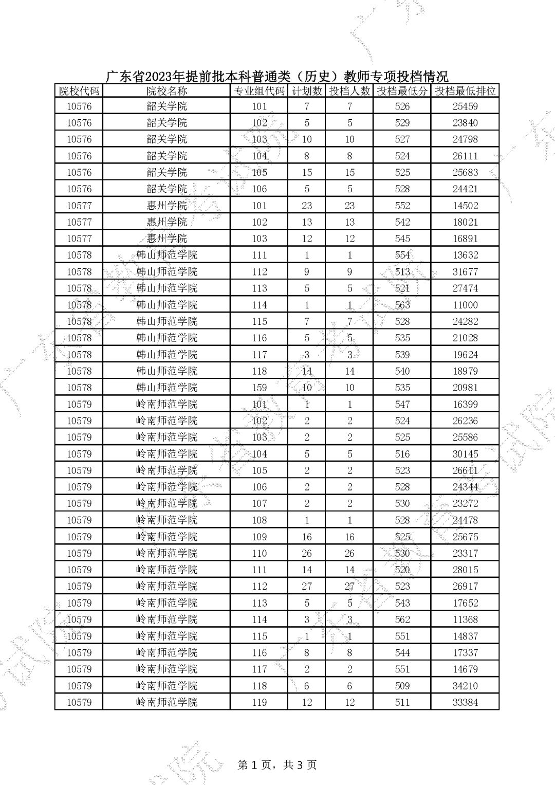
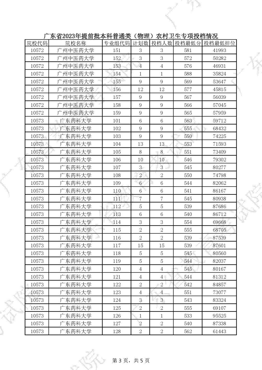
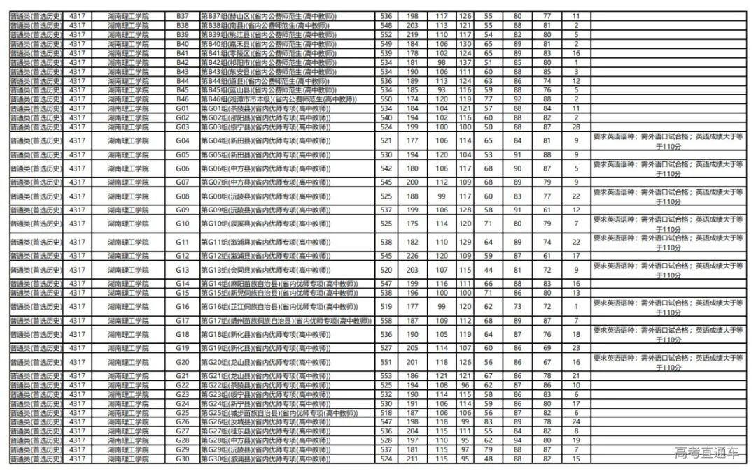
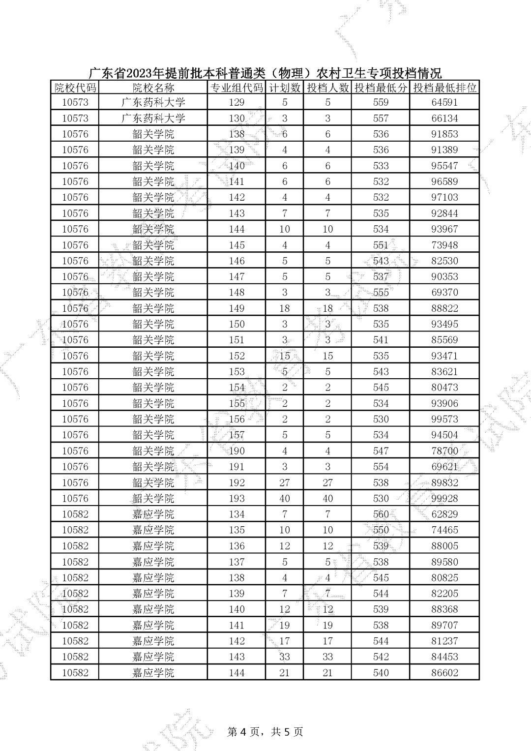
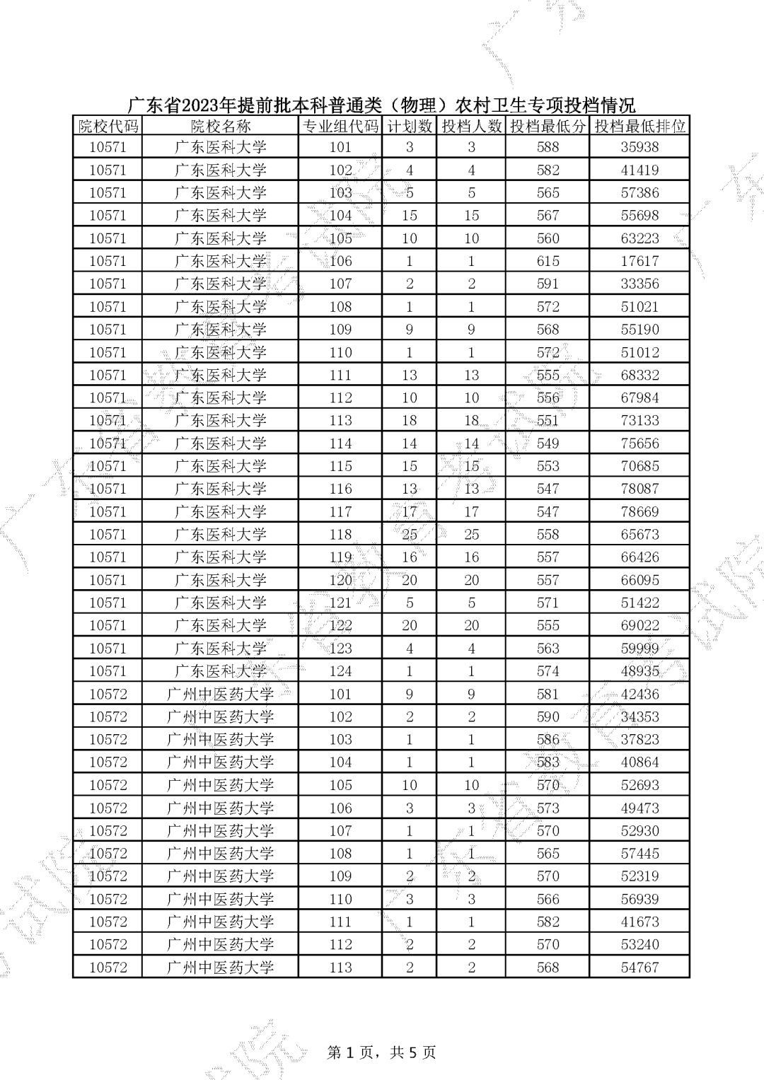
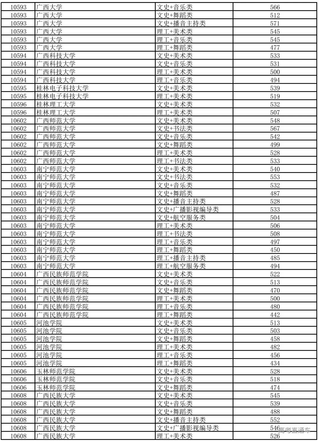
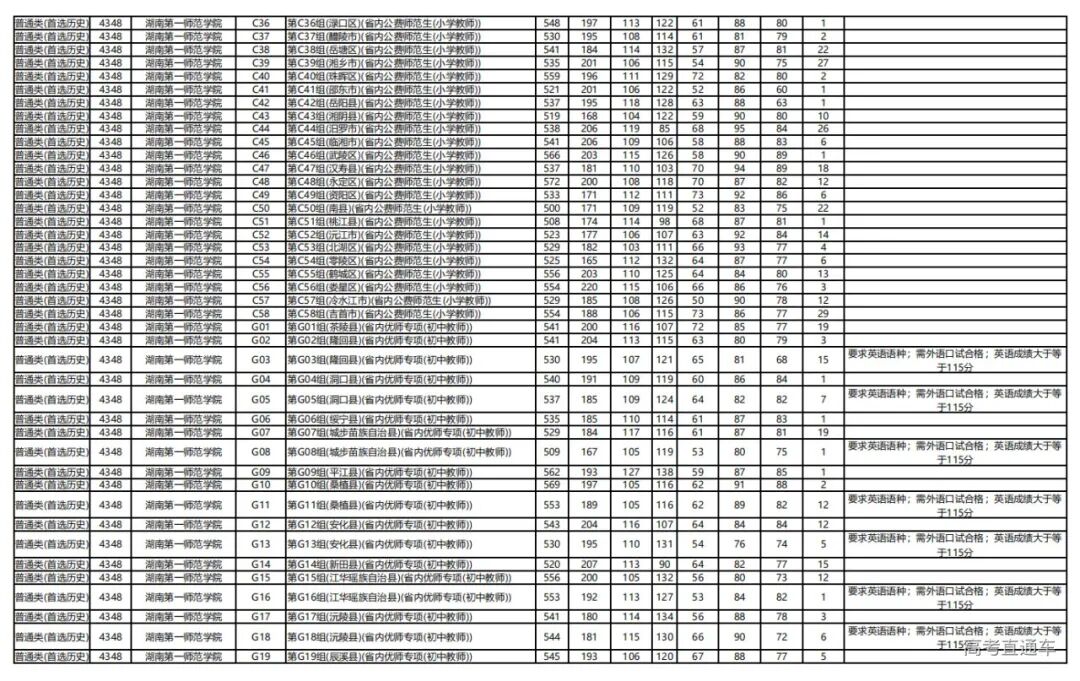
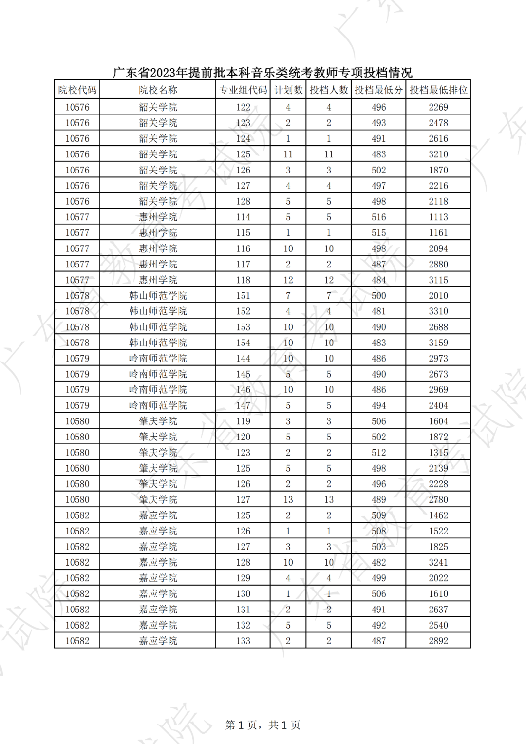
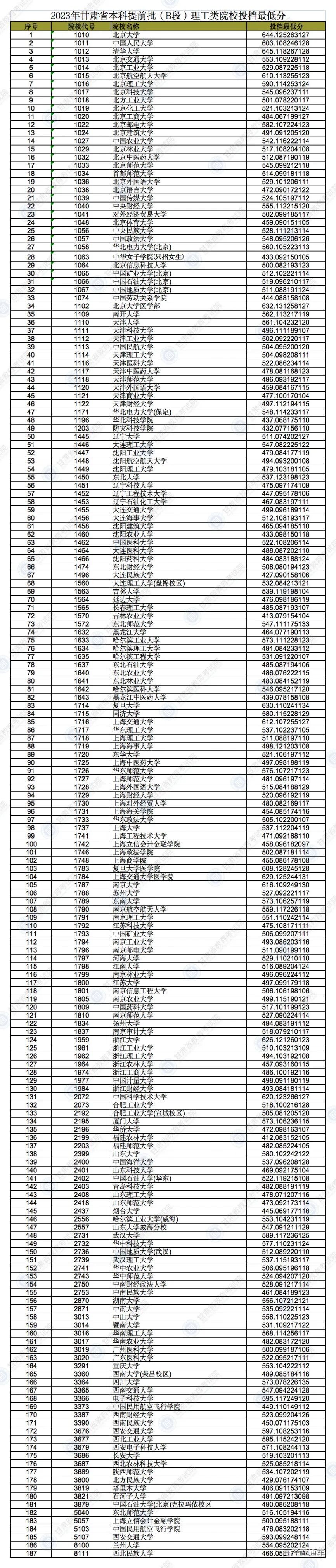
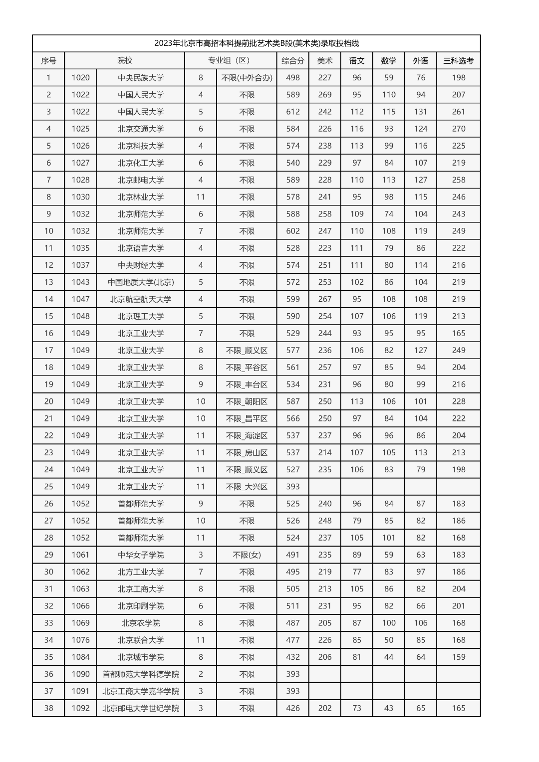
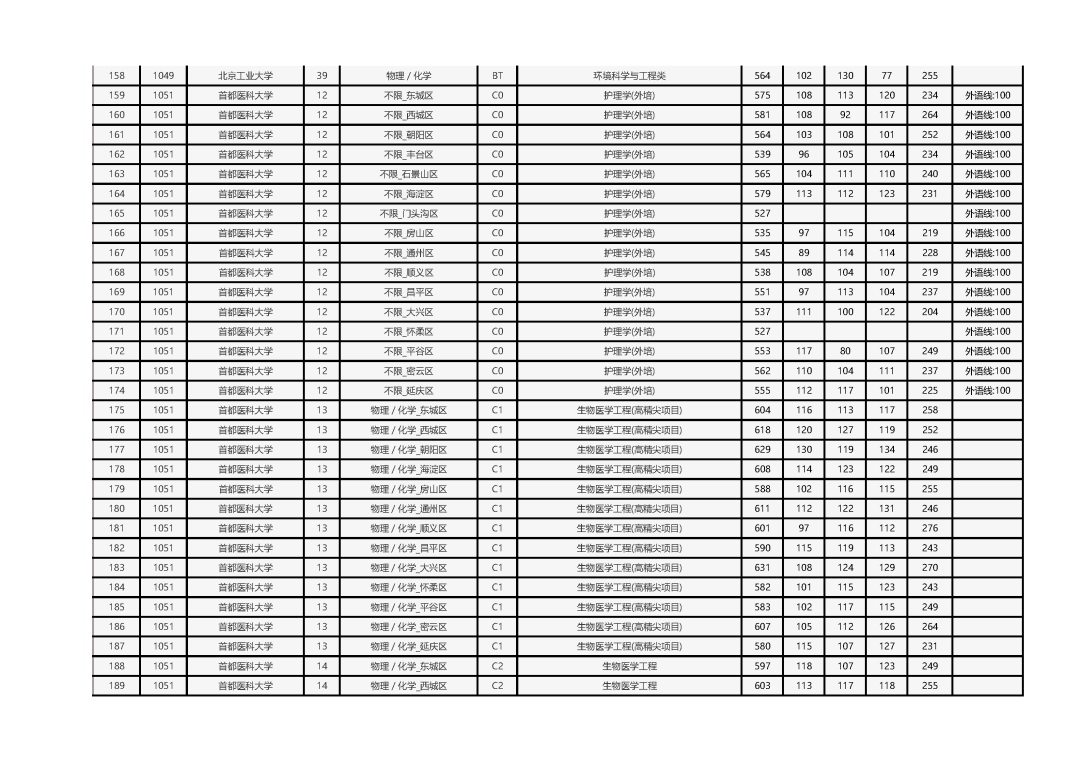
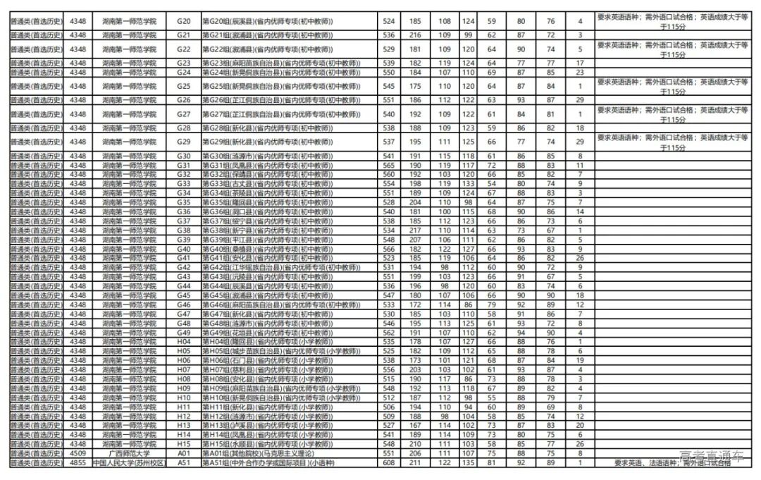
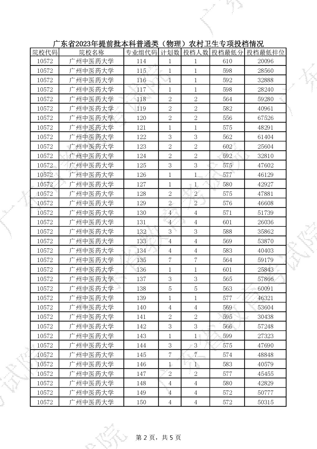
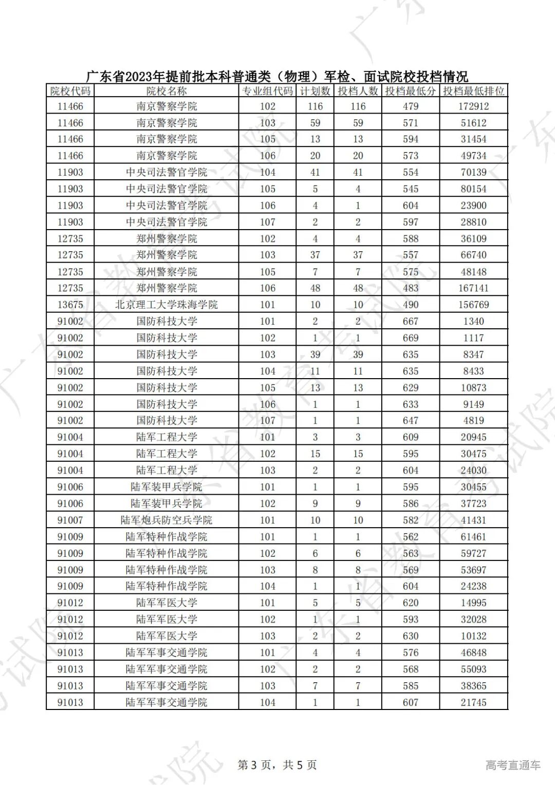
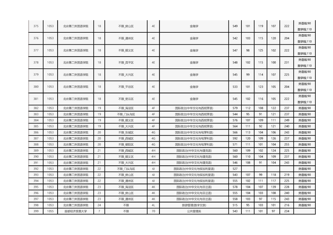
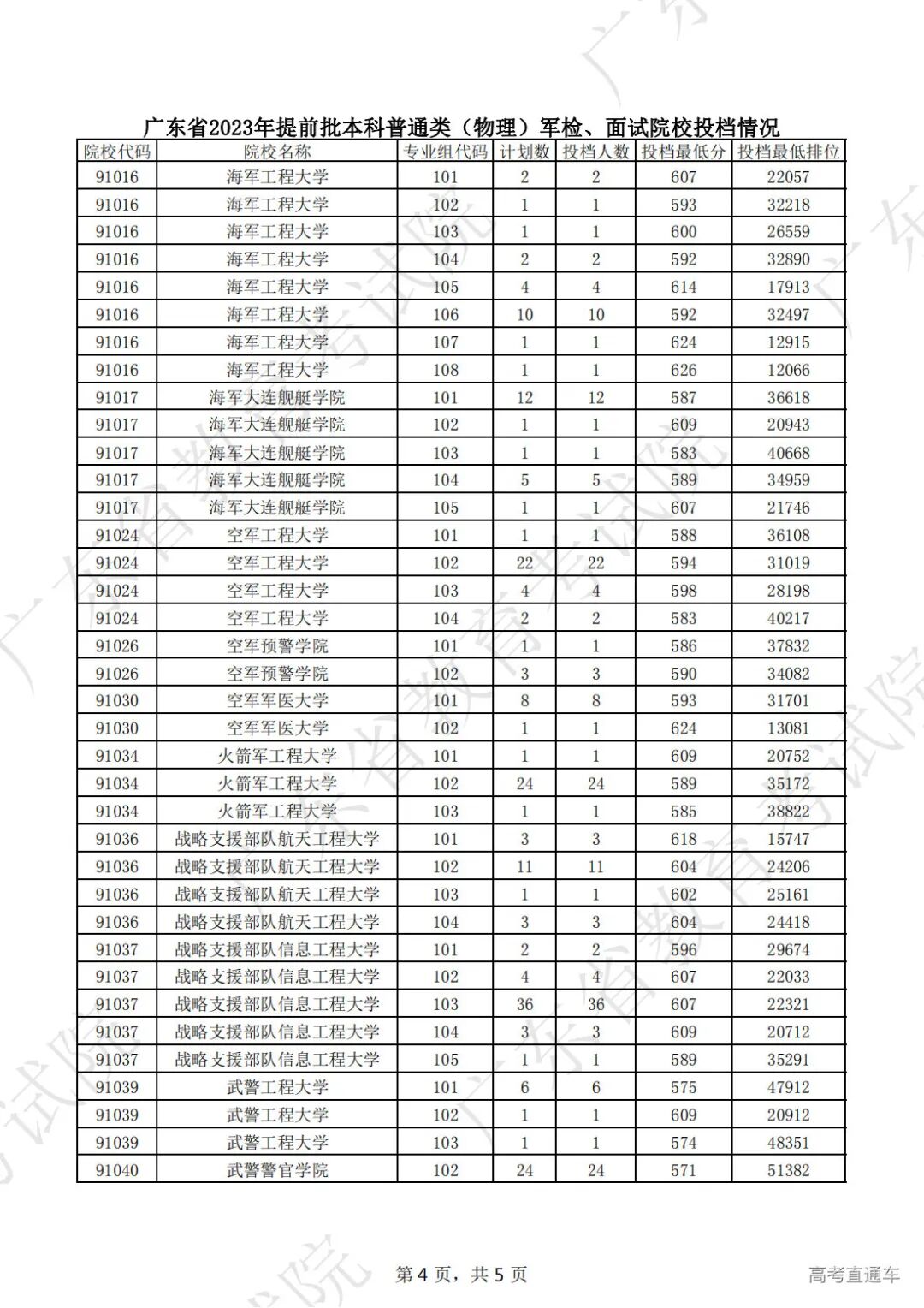
注:本文仅汇总各省考试院已对外公布的本科提前批院校投档线,不含补录计划投档线。点击查看👉各省2023年更多批次院校投档线 军检类 非军检类 教师专项 卫生专项 普通类提前批A段 提前批B段 普通类梯度志愿(第一志愿) 空军招飞批 其他类 体育类 艺本二批 普通类A段 普通类B段 提前本科批B阶段 历史类 物理类 历史类 物理类 公安司法和应急消防、其他类 公费师范生、优师专项计划、农村订单单向医学生免费培养计划、军事院校、基层农技推广人才定向培养计划 军事类 非军事类 定向 历史类 艺术类 普通类 单列类(选考外语) B段一志愿 B段艺术类一志愿 B段艺术类二志愿 提前批本科C段 提前录取第一批本科 提前录取第二批本科 艺术类B段普通类梯度志愿(须面试第一志愿)
体育类(含预科)平行志愿
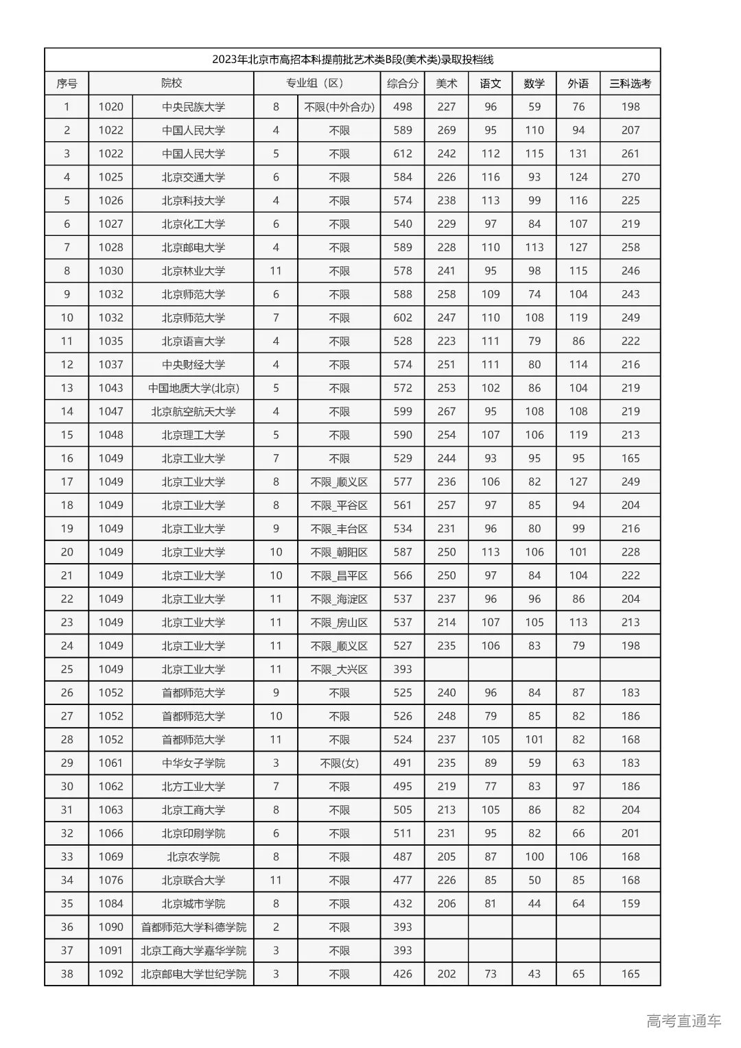
艺术类B段(美术类)
提前本科批A阶段
体育类
单设志愿
物理类
普通类
体育类
本科提前批B段
B段文史、理工类二志愿

























































