按照《云南省教育厅关于做好2023年度中职五年制新增专业备案及招生资质核查工作的通知》要求,经审核汇总,现将2023年度云南省具备学历教育招生资质的中等职业学校名单(不含技工学校和成人中专学校,详见附件)予以公布,并将有关事项通知如下:
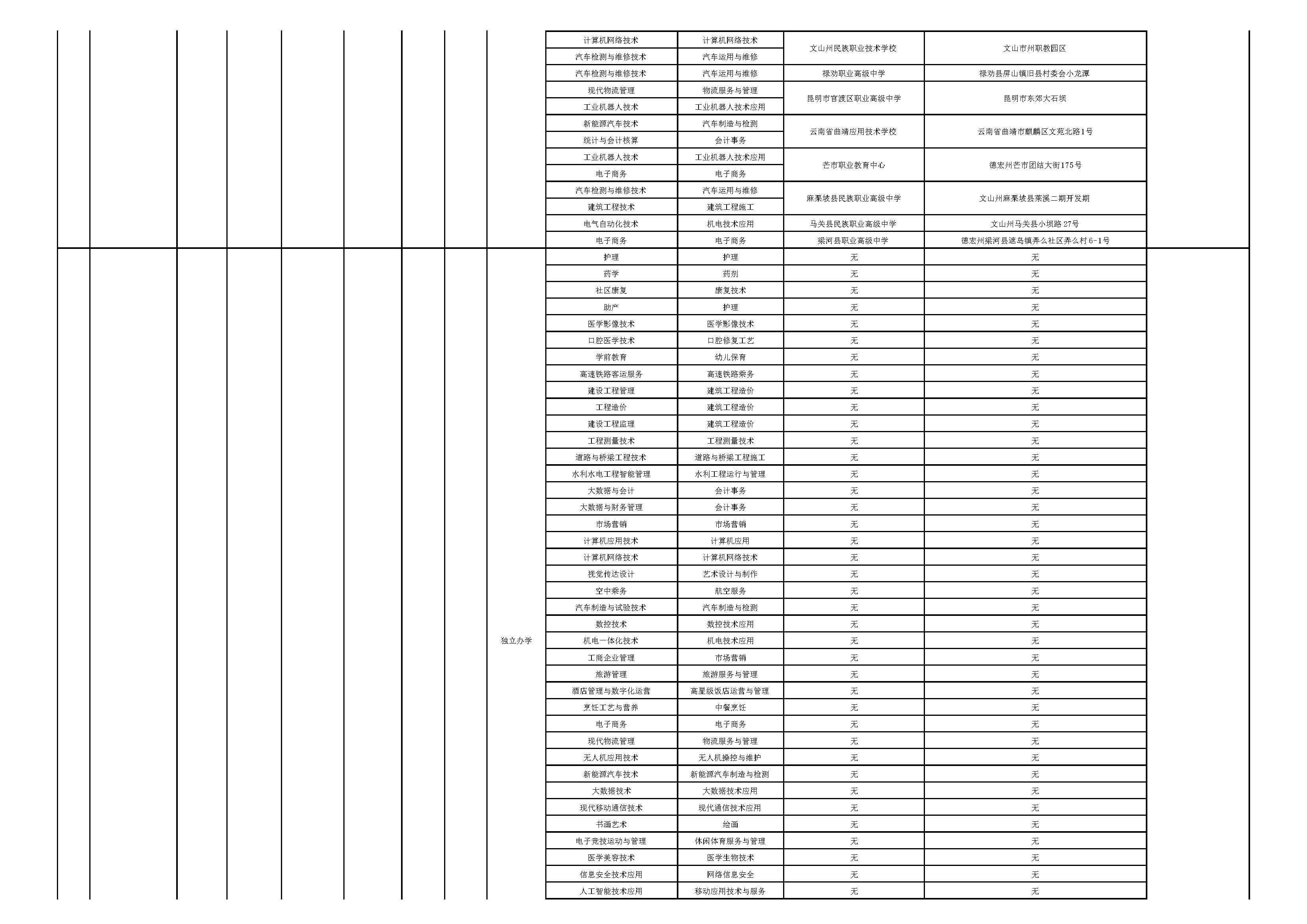
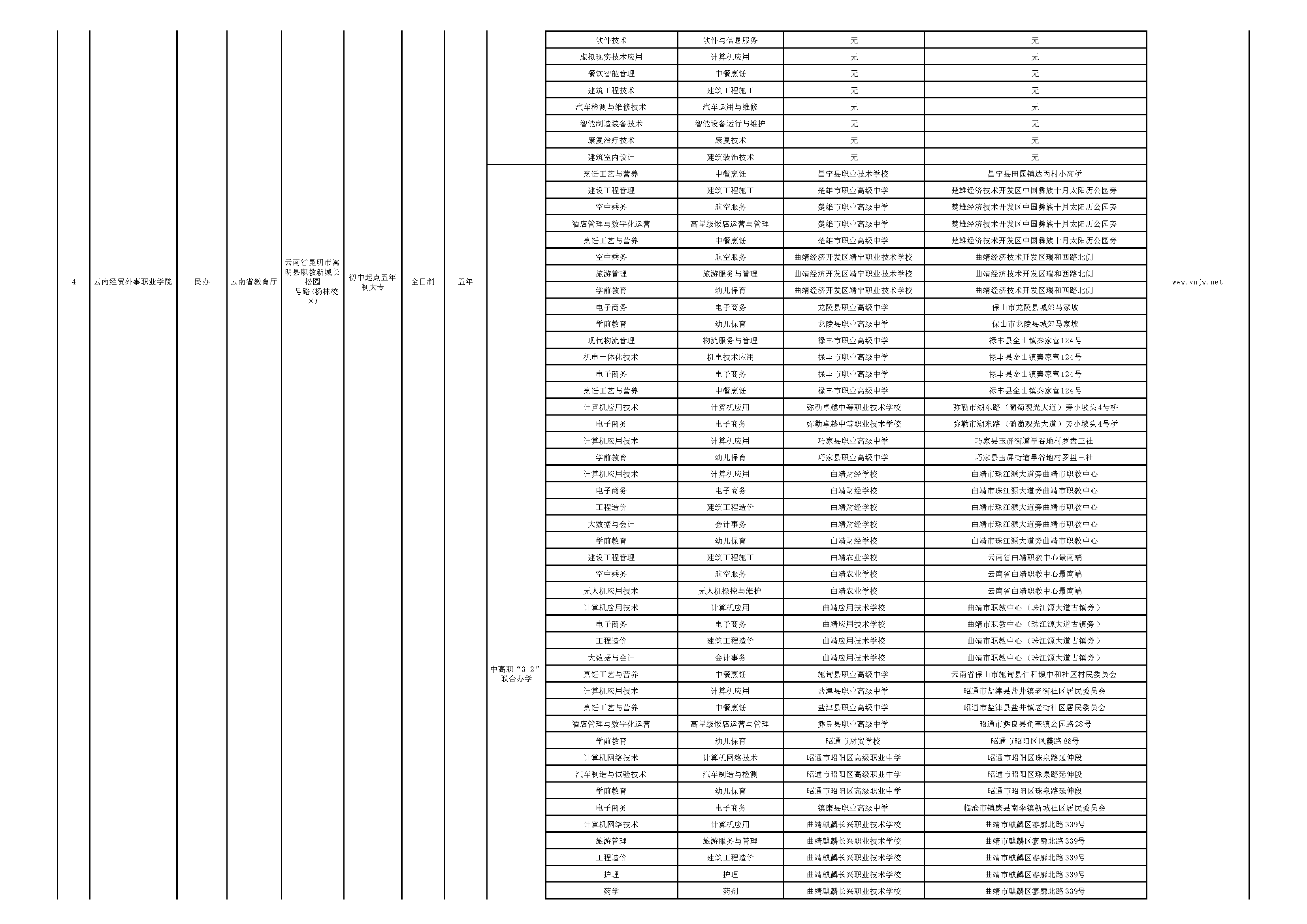
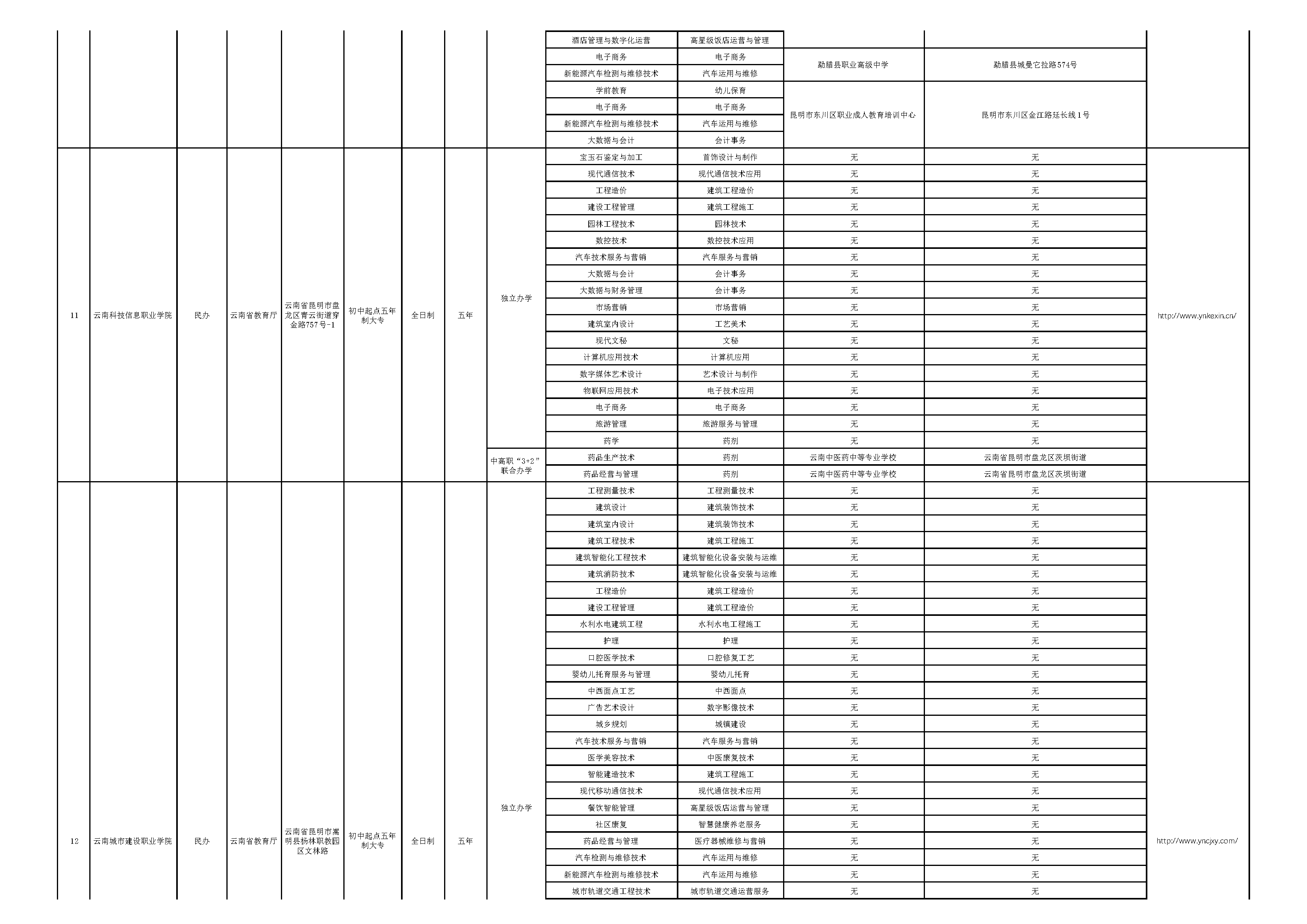
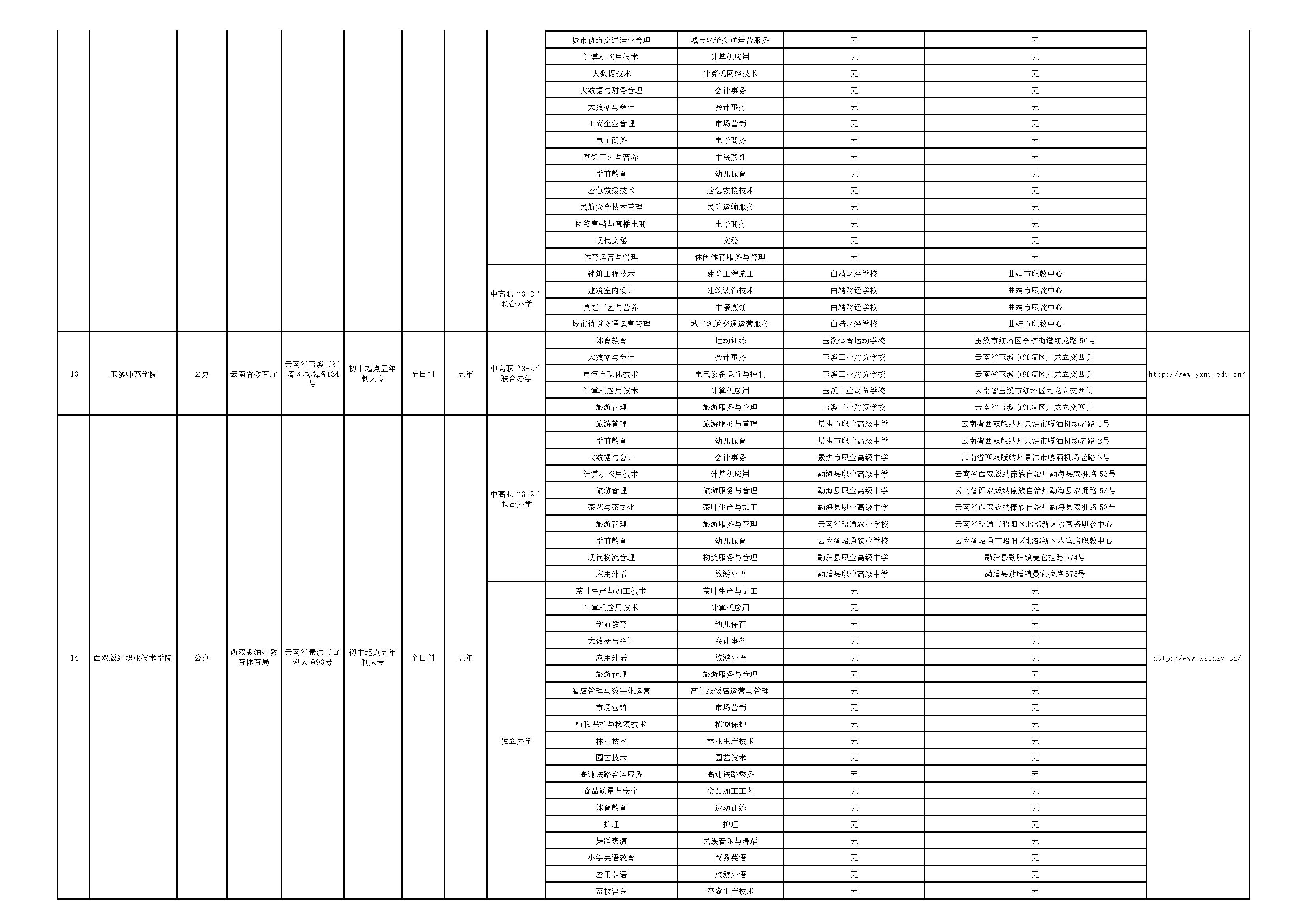
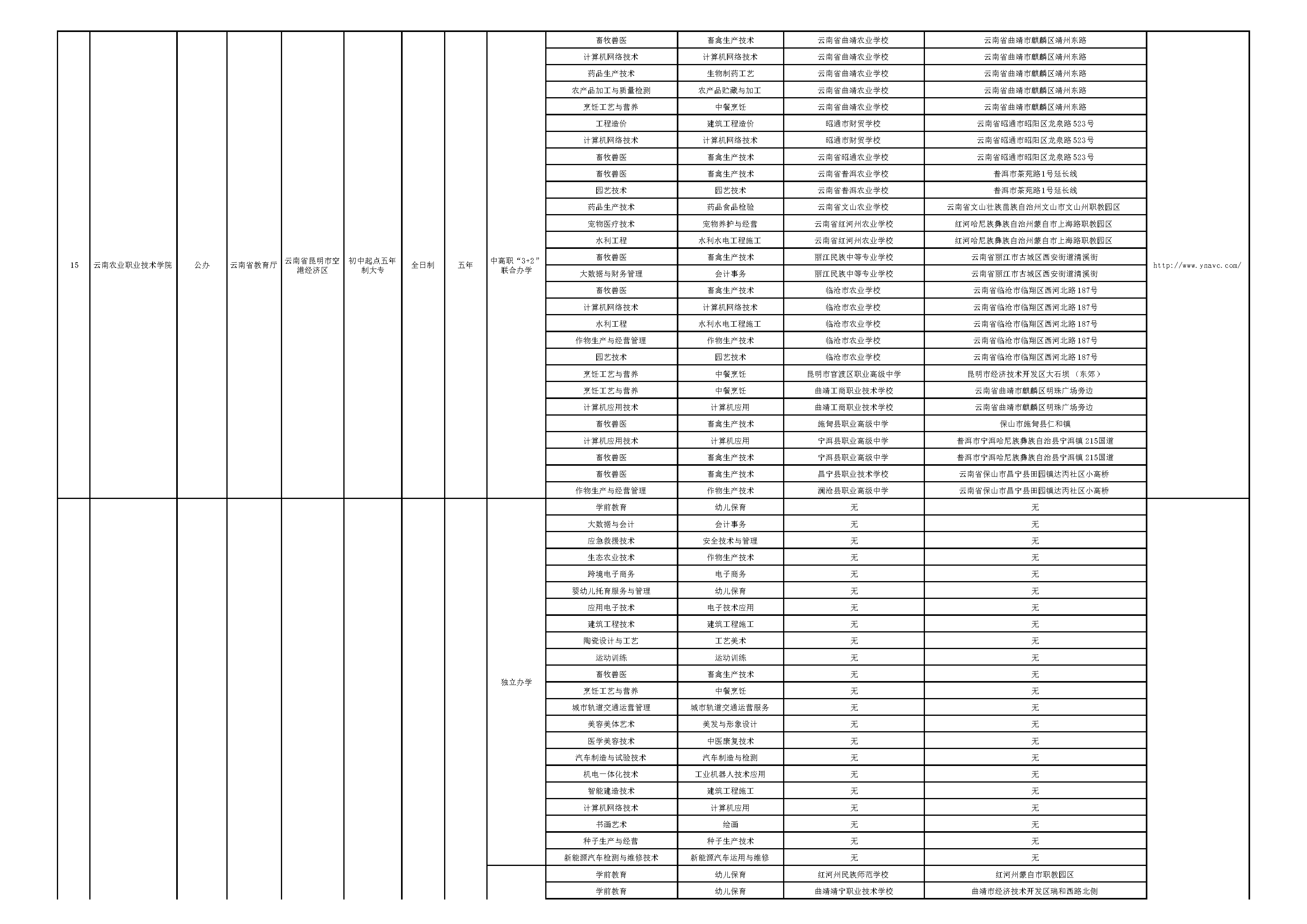
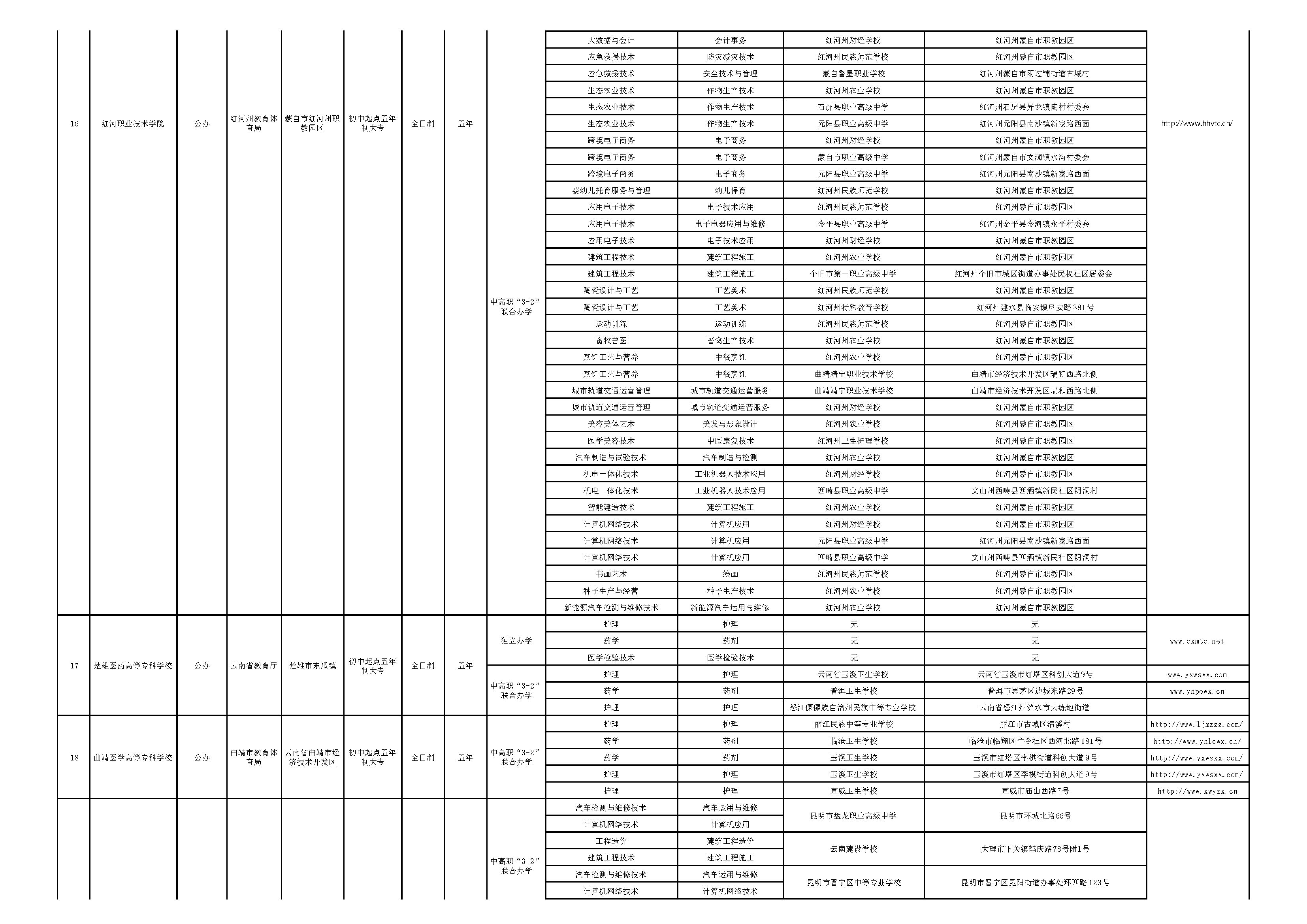
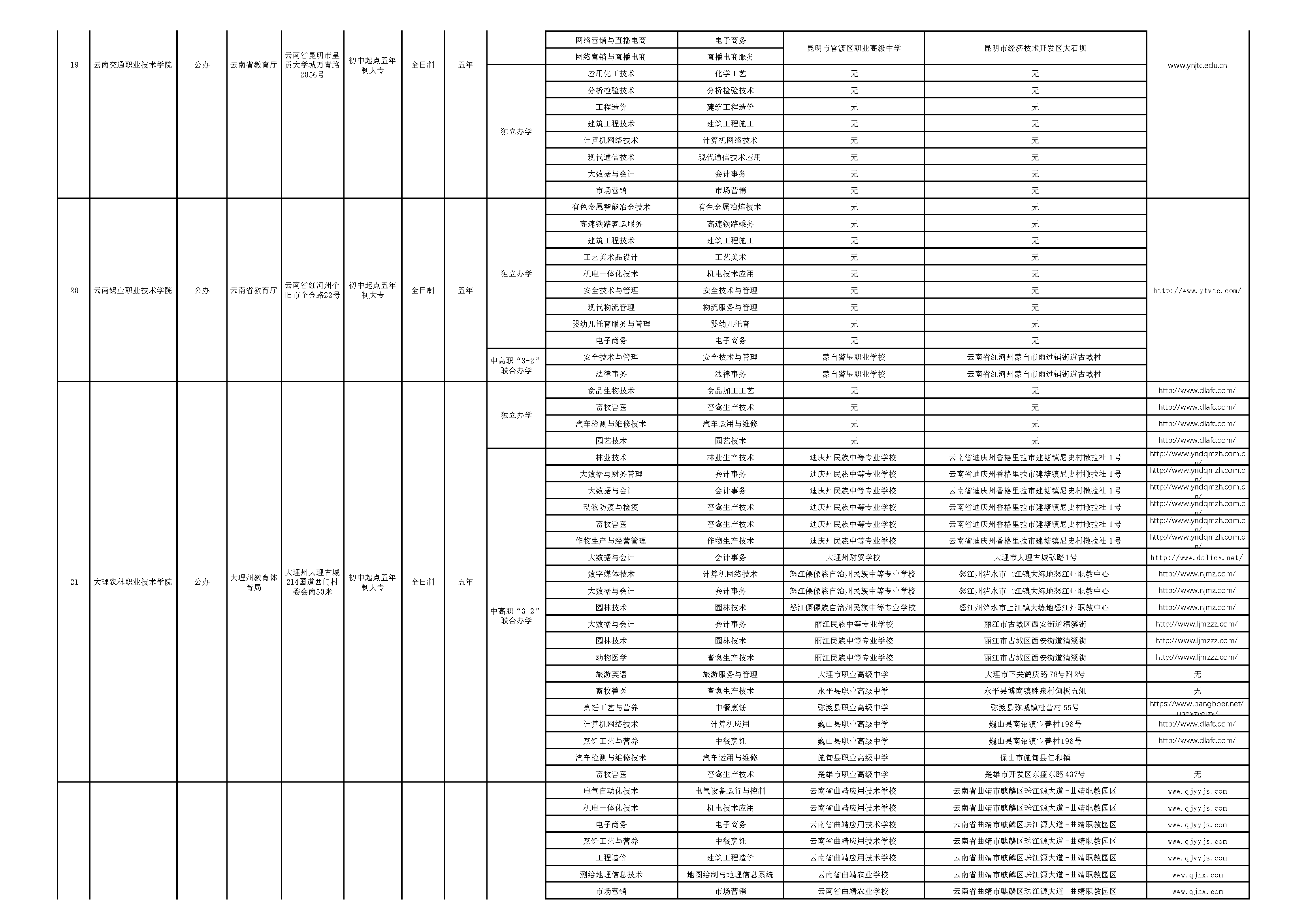
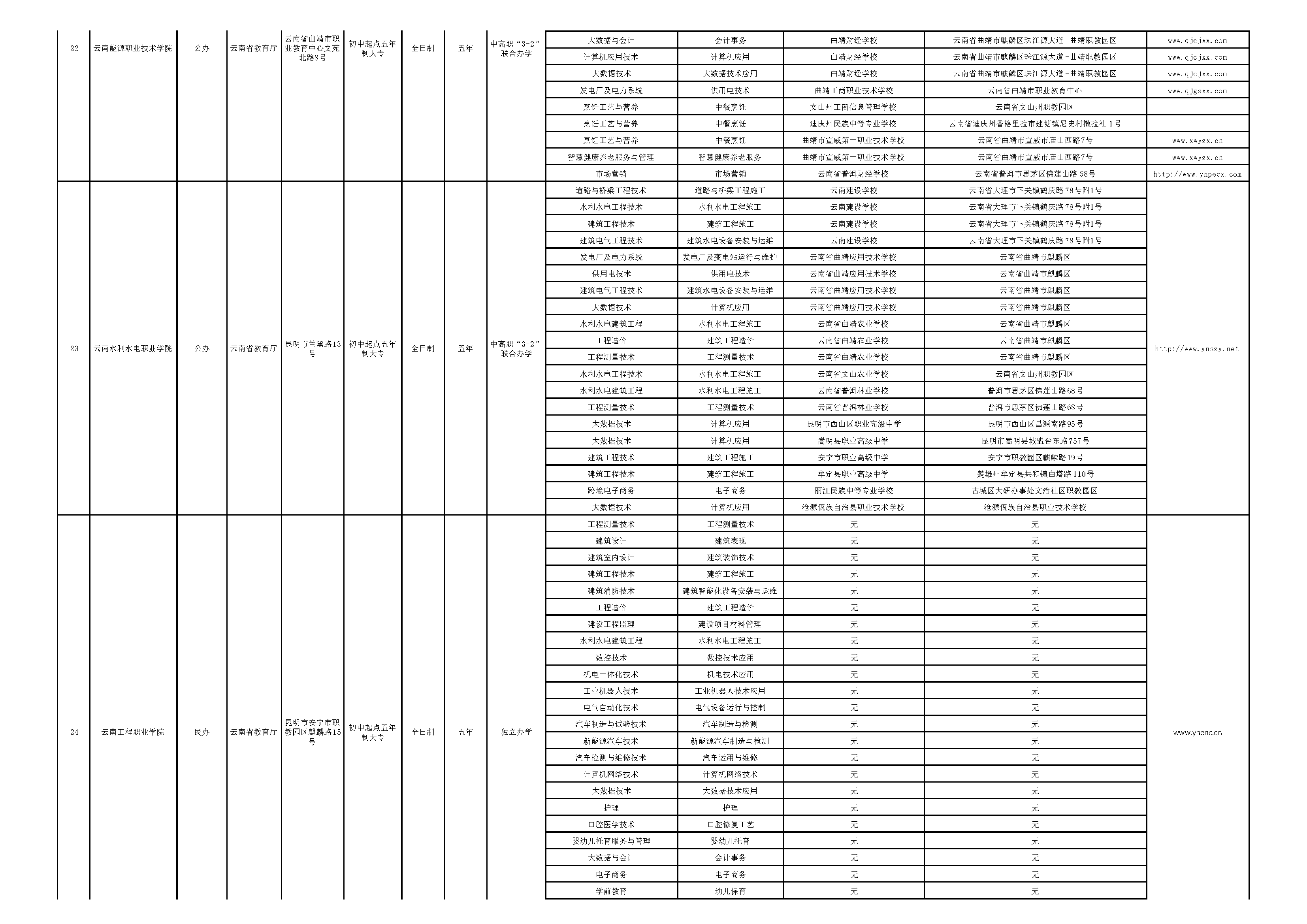
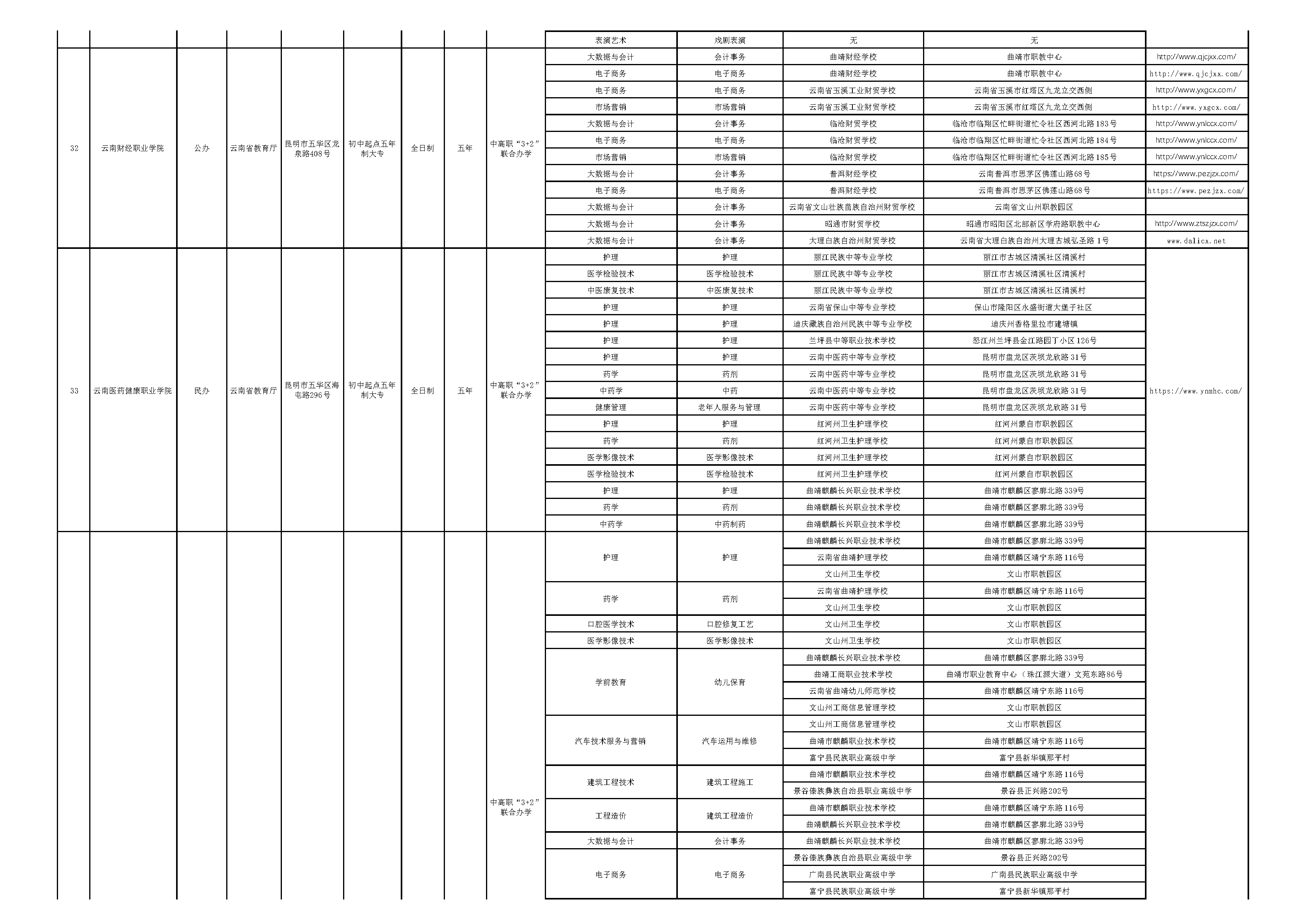
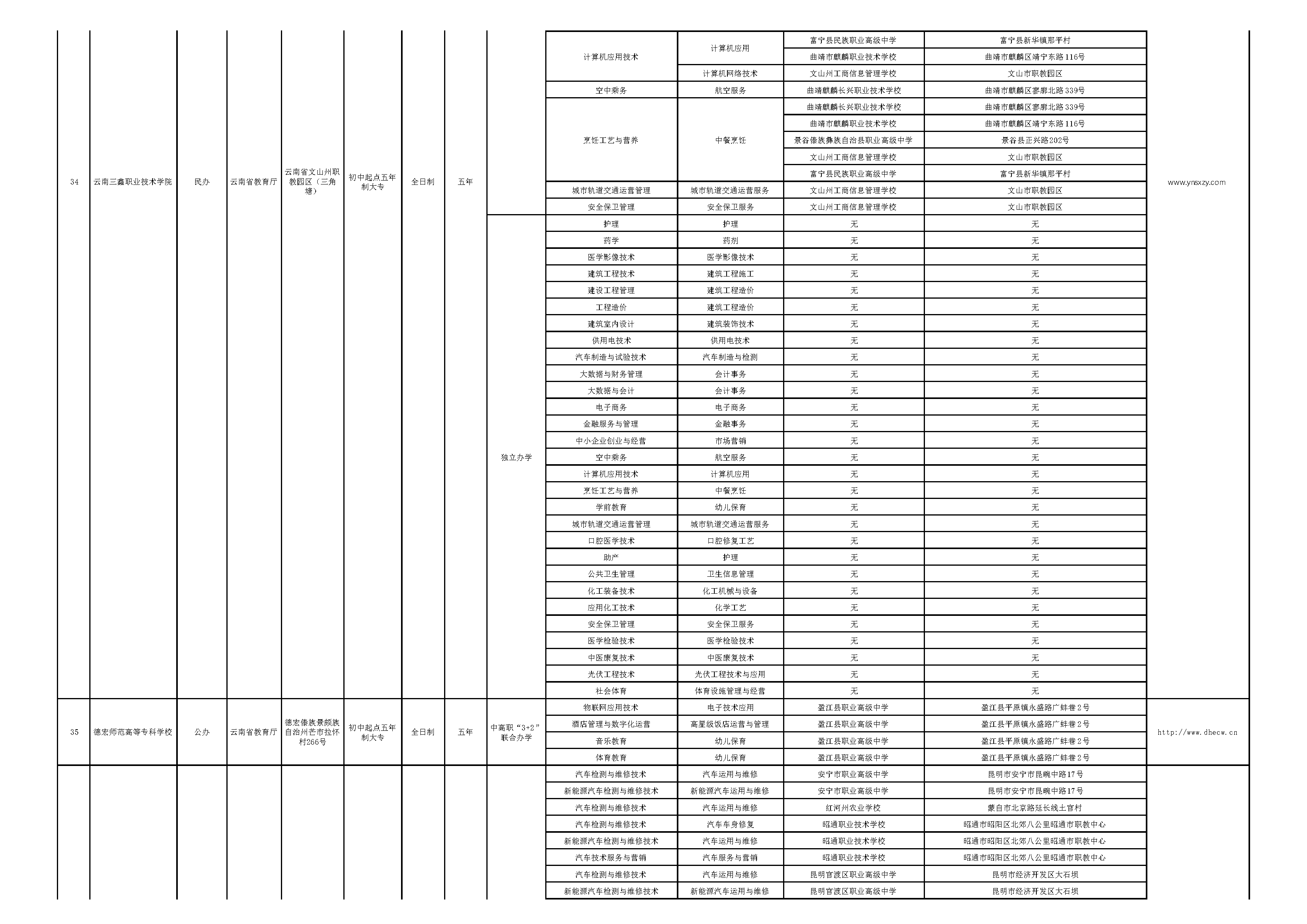
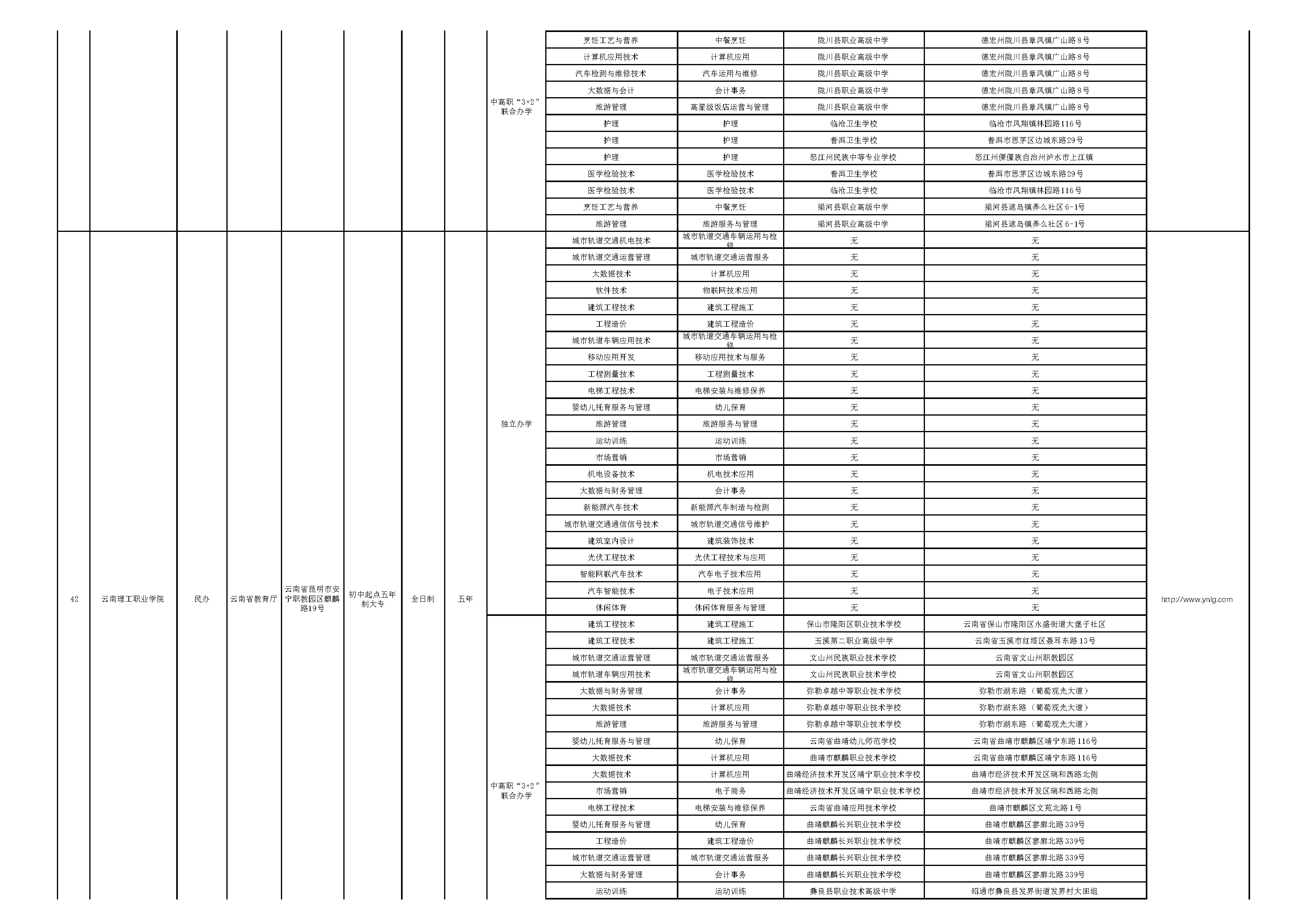
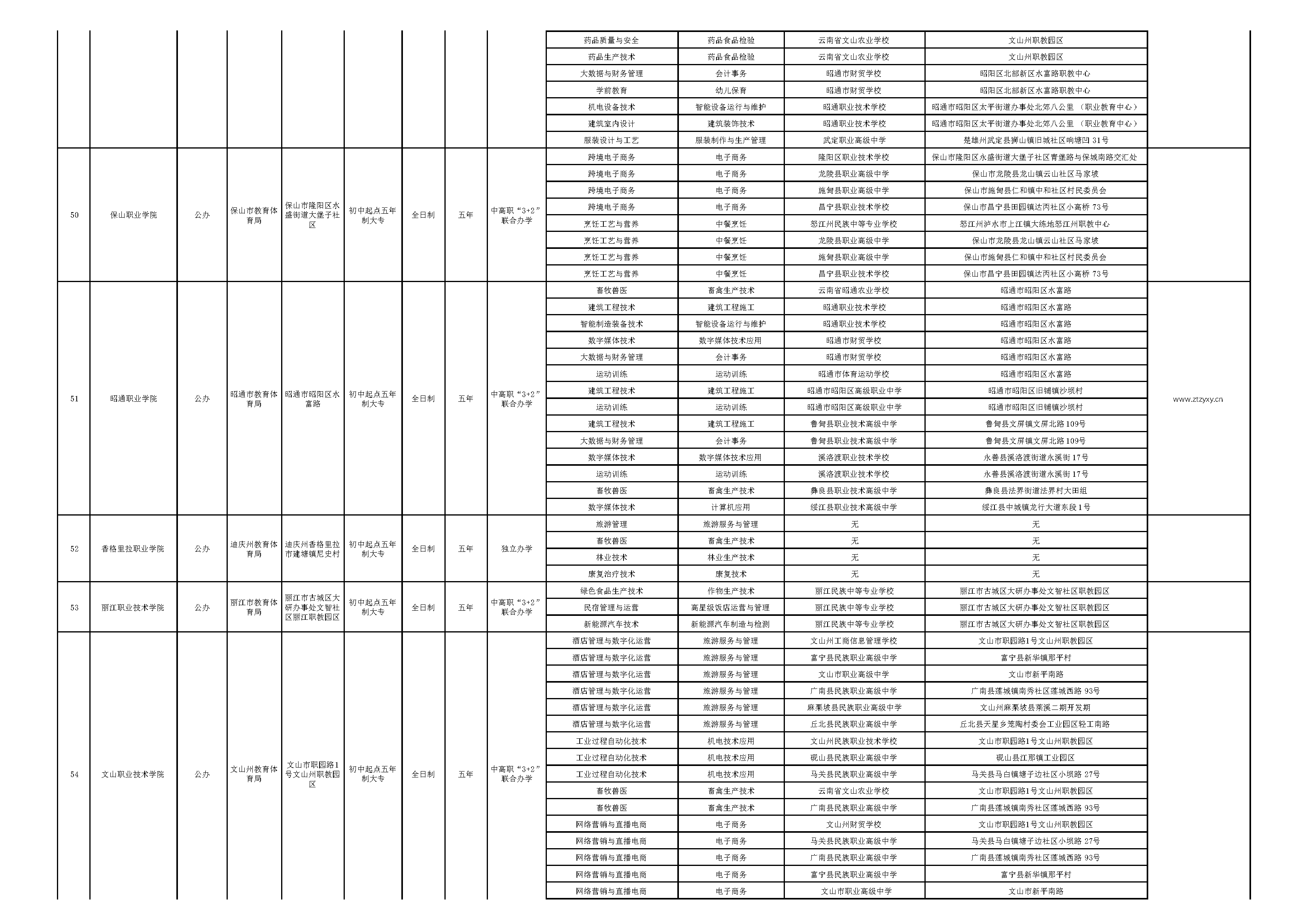
一、2023年度云南省具备学历教育招生资质的中职学校 228家,举办初中起点五年制高职教育学校56家。全部学校名单将通过云南省教育厅网站(https://jyt.yn.gov.cn/)、云南省招考频道(https://www.ynzs.cn/)进行公布。各学校各专业具体招生计划数以计划下达正式文件为准。
二、各地教育行政部门和学校要认真做好招生宣传工作,有效引导学生报读具有招生资质的中等职业学校,保障学生接受中等职业教育的权利。未在招生资质核查公布名单之列的学校、专业及中高职3+2联合办学,以及未经办学地教育行政部门审批设立的中职异地分校、办学点,均不得安排招生。学校擅自招生属违规招生行为,所招学生不予注册学籍。
三、中职学校和五年制高职院校均须严格执行核准或备案的学费标准,严格落实中职教育段免学费和奖助学金政策。严禁随意更改收费标准,严禁混淆学段收费。
四、各级教育行政部门要建立招生资质核查与学校基础能力建设项目挂钩机制,明确奖惩措施,对办学规范、内涵建设特色鲜明、专业布局紧密对接区域经济发展的学校,在专项资金和项目安排上给予重点倾斜。对存在招生办学不规范行为、办学条件达标情况差的学校,要高度重视,采取措施,及时整改。
附件(点击下载):
云南省2023年具备学历教育招生资质中等职业学校名单(初中起点五年制高职教育).pdf
云南省2023年具备学历教育招生资质中等职业学校名单(中职教育).pdf




































































































