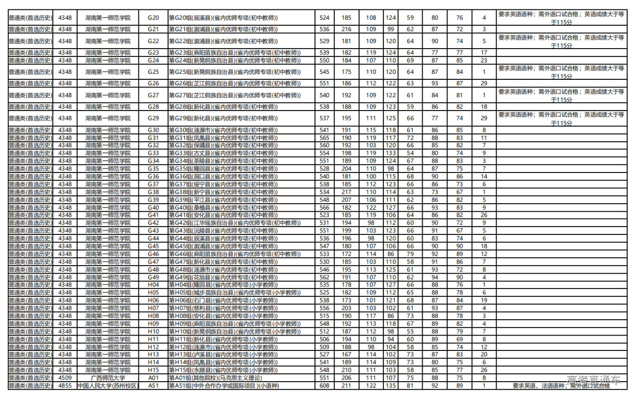
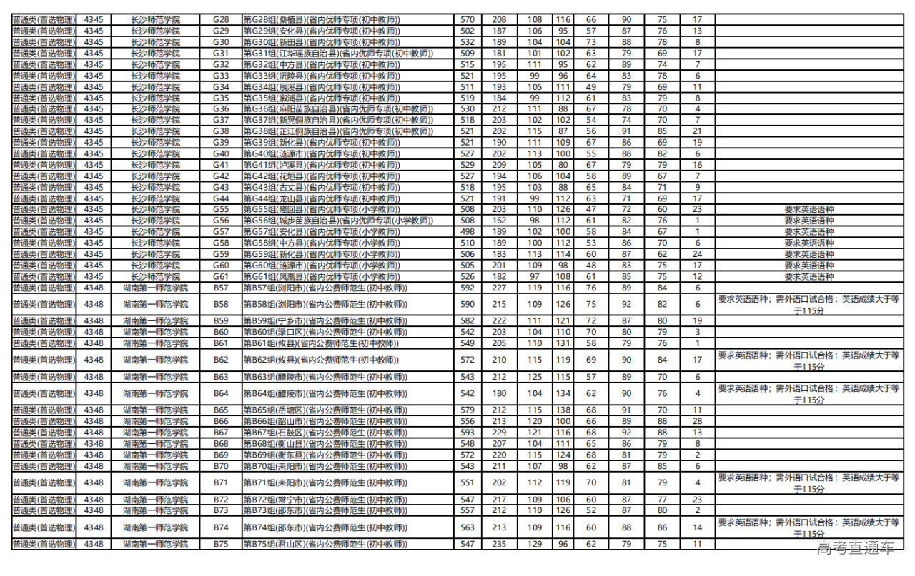
说明:
1. 平行志愿投档的规则:在上线考生中先按分数优先的原则从高分到低分排序(当遇到多名考生同分时,按我省规定的同分排序规则排序),再按考生填报的院校专业组顺序出档。表中所列“语数之和、语数最高、外语、首选科目、再选最高、再选次高、志愿序号”是投档最低分同分考生排序项。
2. 考生文化成绩(含政策性加分)须达到本科相应类别录取控制分数线。招生院校提出的外语口试、外语语种、单科成绩等投档要求,已在相应院校专业组备注栏中做了注明。
3. 部属和外省属院校投档时,档案分中不含考生地方性项目加分。
4. 报考省内公费定向师范(含省级优师专项计划)的考生需符合文件规定的户籍及年龄要求。其中,报考培养小学教师、初中教师、高中教师和特殊教育教师招生计划的考生须具有招生计划定向的县市区所在市州范围内户籍,同时户籍迁移时间必须符合文件规定。
点击下载:湖南省2023年普通高校招生本科提前批采用平行志愿的非军事院校第一次投档分数线(普通类).xls





































































