目前,广东2024年普通专升本各类别、各批次投档录取情况及补录计划已经出炉,录取结果查询系统已经开放。
我省2024年普通高等学校专升本招生因考生志愿填报不均衡,尚有少量缺额计划需征集志愿。现就有关事项通知如下:
一、征集志愿时间
5月25日18:00-5月27日10:00,考生填报征集志愿。5月27日10:00-12:00不能修改志愿,只能确认志愿,逾时一律不再受理。
二、征集志愿批次、分数线及范围
(一)征集志愿批次
根据生源及缺额计划情况,仅两个批次需参加征集志愿,一是普通批次,二是建档立卡考生批次。
各批次投档顺序为普通批→建档立卡批,一个批次结束后再进行下一批次录取。
(二)征集志愿分数线及范围
1.普通批
按《关于公布广东省2024年普通高等学校专升本招生最低控制分数线的通知》(粤招办普〔2024〕19号)规定的普通考生不同专业基础课的三门考试科目总分(下称三科总分),即按公共课(政治理论和英语科目,其中外国语言文学类中非英语类专业为政治理论和专业课科目)及专业基础课三门科目总分进行征集志愿填报和投档录取。
具体最低控制分数线如下:
大学语文、民法、教育理论、生态学基础、艺术概论(三科总分):120分
经济学、管理学(三科总分):110分
高等数学(三科总分):105分
生理学(三科总分):130分
三科总分达到相应专业基础课的最低控制分数线,且未被录取的2024年普通专升本考生,可以填报本批次志愿。
2.建档立卡批
按建档立卡考生三科总分进行征集志愿填报和投档录取。
具体最低控制分数线如下:
大学语文、民法、教育理论、艺术概论(三科总分):110分
经济学、管理学(三科总分):100分
高等数学(三科总分):95分
生理学(三科总分):120分
三科总分达到相应专业基础课的最低控制分数线,且未被录取的2024年普通专升本原建档立卡考生,可以填报本批次志愿。
征集志愿填报志愿及录取时,考生的专业基础课必须同专业要求的专业基础课一致,其中外国语言文学类中非英语类专业还要求专业课必须一致。
三、考生征集志愿成绩排位规则
为方便考生填报征集志愿,所有在库考生三科总分按以下原则重新进行排位,考生可在报名系统中查询:
(一)不同专业基础课分开、单独排位;其中外国语言文学类中非英语类专业还按专业课分开、单独排位。
(二)根据考生三科总分(含加分)从高到低确定投档位序。三科总分(含加分)相同时,比较三科总分(不含加分)高低,高者优先。
三科总分(不含加分)仍相同时,按以下原则进行排序:
第一位序,比较专业基础课成绩高低,高者优先。
第二位序,比较公共课中政治理论科目成绩高低,高者优先。
第三位序,除外国语言文学类中非英语类专业外,比较公共课中英语科目成绩高低,高者优先。外国语言文学类中非英语类专业,比较专业课成绩高低,高者优先。
第四位序,单科成绩均相同的同时投档。
四、征集志愿设置
普通批征集志愿设置10个院校专业组志愿,每个院校专业组志愿可填报4个专业志愿及1个是否服从调剂选项;
建档立卡批征集志愿设置5个院校专业组志愿,每个院校专业组志愿可填报4个专业志愿及1个是否服从调剂选项。
建档立卡考生可同时报考普通批符合报考条件的院校专业组及专业。
五、征集志愿程序和填报志愿方式
(一)查询是否被录取。考生可登录“广东省2024年普通高校专升本报名系统”(下称报名系统)(网址:http://www.eeagd.edu.cn/ptzsbks)查询普通专升本录取结果。
(二)登录“报名系统”。经查实未被录取且普通专升本成绩在省招生办公室公布的征集志愿最低控制分数线(含)以上的考生,可登录“报名系统”填报志愿。省教育考试院于5月25日18:00-5月27日10:00开放“报名系统”。考生须在规定的时间内填报并确认征集志愿。5月27日10:00-12:00期间,仅限已填报征集志愿但未确认的考生确认志愿,逾时一律不再受理。已经被录取的考生,不得申请填报征集志愿。
(三)填报志愿方式。征集志愿采用考生自行上网填报方式。考生凭证件号和密码登录“报名系统”,按本通知精神和相关要求自行上网填报。征集志愿院校、院校专业组、专业计划详细情况及要求详见附件。
1.考生填报志愿时,须认真查阅网上填报系统中公布的征集志愿院校、院校专业组及专业计划、办学地点等相关信息,并认真仔细阅读拟填报院校的招生简章,以便准确填报。
2.考生在填报征集志愿时,考生的三科总分中的考试科目须与所填报的院校专业组要求的科目一致。
3.填报志愿时,系统提示有体检要求的专业,请考生务必仔细查阅招生院校招生简章,确认符合体检要求后方可填报。录取时,由于不符合体检要求被院校退档造成不能录取的责任由考生自负。系统提示不符合前置专业要求的,将无法提交志愿,如有疑问,请及时与招生院校联系。考生在提交所填报的志愿后,系统将进行数据逻辑校验,如果出现红色的警告字符,所有志愿将无法提交,请考生仔细核对院校代码、院校专业组代码、专业代码及专业条件后进行修改,直至正确为止。修改正确后,考生可保存所填报的志愿,并进行查看、修改等操作。
4.考生填报完志愿不再更改并成功保存志愿后,需点击“确认志愿”按钮获取短信验证码,输入收到的验证码(发送到普通专升本报名时绑定的手机)后进行网上志愿确认。手机收到的短信验证码为6位数字,有效时间为3分钟,超过有效时间则需重新获取验证码。在规定的志愿填报时间截止后的2小时内(5月27日10:00-12:00),考生志愿信息不可修改,但仍可以获取短信验证码完成志愿确认。考生未在规定时间内进行网上志愿确认的,其志愿无效。
考生首次“确认志愿”后,如有需要最多可进行2次取消志愿确认,修改志愿并重新确认志愿的机会。当考生确定不再进行志愿修改时,必须在规定时间内进行网上志愿确认。取消志愿确认后必须再次进行网上确认,否则志愿无效。
5.考生要对自己填报志愿的准确性负责。考生网上填报的志愿数据一经确认,任何人不得更改。征集志愿填报必须由考生本人亲自完成。考生须管好自身密码,以防他人冒名填报征集志愿。投档时,以考生网上填报并最终确认的志愿数据为准。
六、征集志愿网上录取时间和程序
(一)征集志愿网上投档录取时间。5月27日,省招生办公室投征集志愿的考生档案,30日录取结束。5月27—30日组织院校录取时,以考生网上填报并确认的征集志愿信息为投档依据。
(二)征集志愿网上投档录取程序。征集志愿实行院校专业组平行志愿投档录取模式。一个院校专业组即为一个投档单位。正式投档前,将视院校生源情况,对各院校专业组间计划进行适当调整。
1.投档录取原则:省招生办公室依据本文规定的最低控制分数线和各有关院校缺额招生计划数,由高分到低分按院校专业组计划1:1比例投档,由院校择优录取。
2.投档志愿顺序:根据平行志愿投档原则,按考生三科总分(含加分)和院校专业组计划1:1比例,由高分到低分进行投档。即依照“分数优先,遵循志愿”的原则和院校专业组计划,按考生成绩排位情况从高到低检索,排位靠前的考生优先检索,再按考生填报的院校专业组志愿逐个检索,在考试科目组符合的前提下,按院校专业组计划1:1比例从高到低投档,由招生院校在投出的考生中按照招生简章择优录取,不得跨院校专业组录取或调剂。
考生档案一旦投出,不再检索其后续院校专业组志愿。
七、工作要求
各招生院校要切实履职尽责,按时、高效、严谨组织做好征集志愿填报及投档录取工作,确保考生征集志愿工作顺利进行,圆满完成我省2024年普通专升本招生任务。
附件:
1.广东省2024年普通专升本招生征集志愿招生计划表
2.广东省2024年普通高等学校专升本招生录取考生征集志愿表(样式)
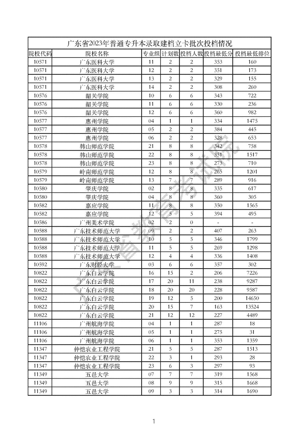
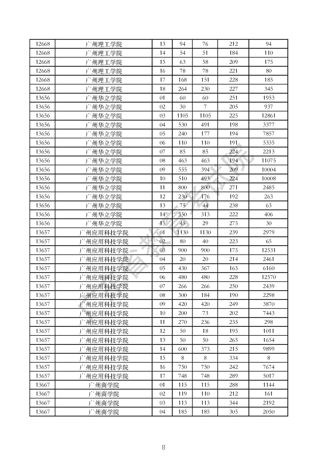
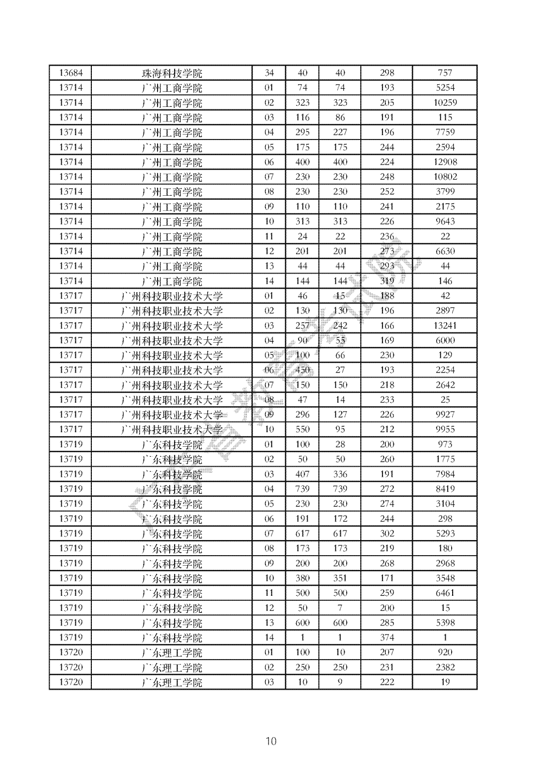
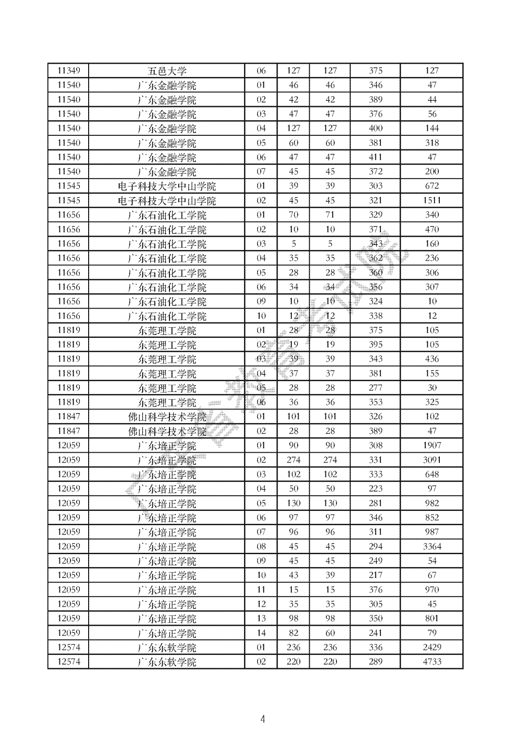
我省2024年普通专升本招生录取工作于5月20日开始。截至目前,已录取67583人,其中,三二分段专升本转段招生录取6705人;退役大学生士兵录取3890人;普通专升本提前批录取125人,普通批录取56272人,建档立卡批录取591人,相关投档情况请查看附件。考生可登录“广东省2024年普通高校专升本报名系统”(https://www.eeagd.edu.cn/ptzsbks)查询录取结果。
因考生志愿填报不均衡,尚有少量缺额计划需征集志愿。根据录取工作安排,将于5月25日开始征集志愿。请未被录取的考生密切关注广东省教育考试院官网官微,及时获取我省2024年普通专升本征集志愿相关信息。
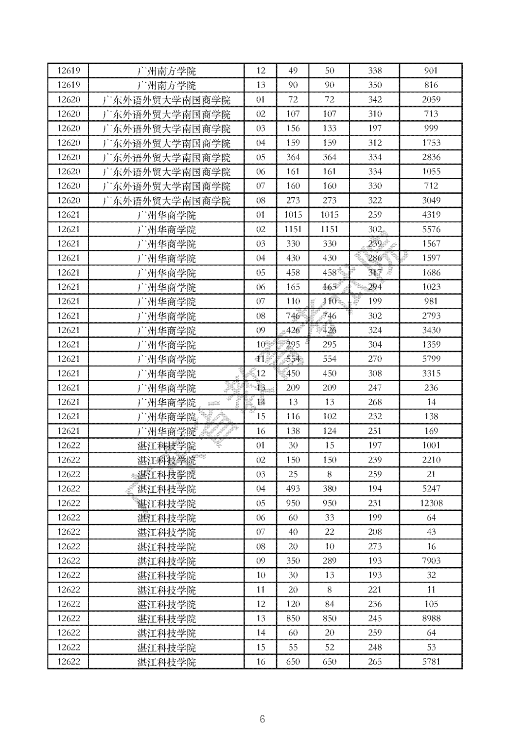
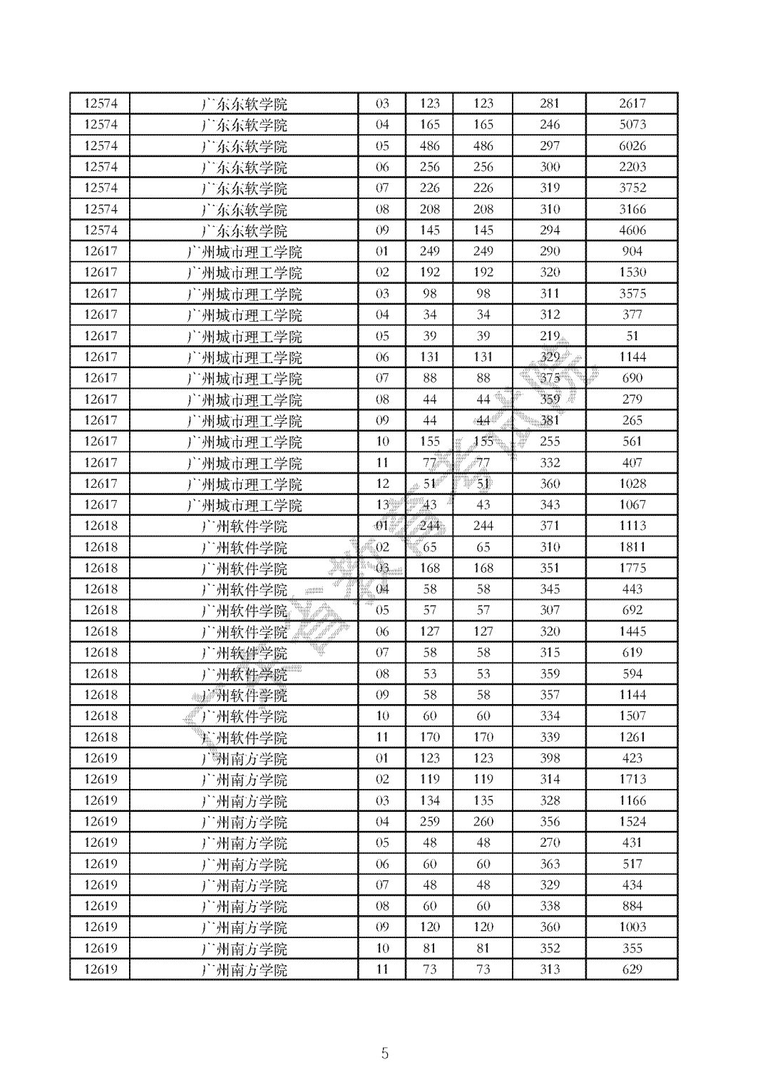
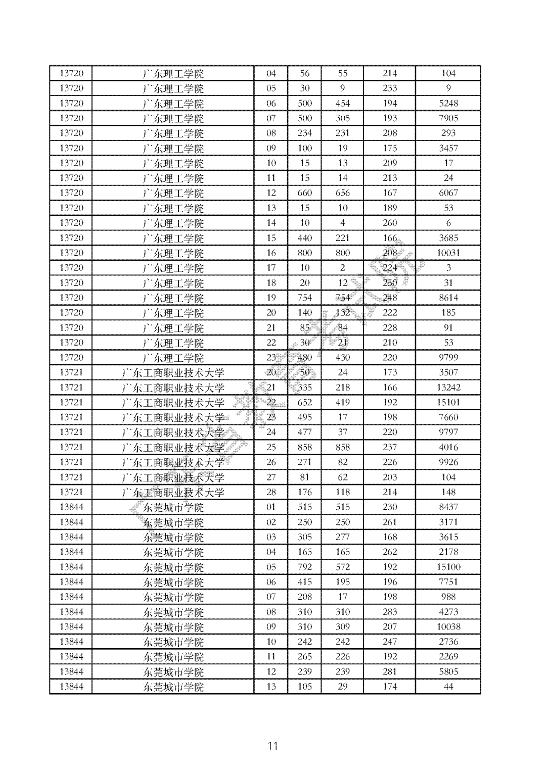
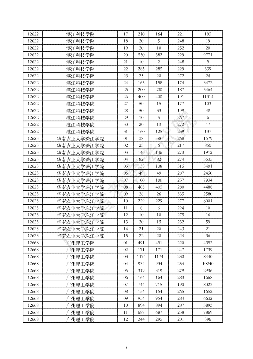
按照日程安排,普通批征集志愿将于5月25-30日进行。目前已有11所院校明确有补录,有补录意向的同学,记得关注补录相关通知,及时参与征集志愿填报。
明确有补录的院校:广东理工学院、广州应用科技学院、广州华商学院、华南农业大学珠江学院、广州工商学院、广州华立学院、湛江科技学院、广东工商职业技术大学、广州科技职业技术大学、广东白云学院、广州软件学院。
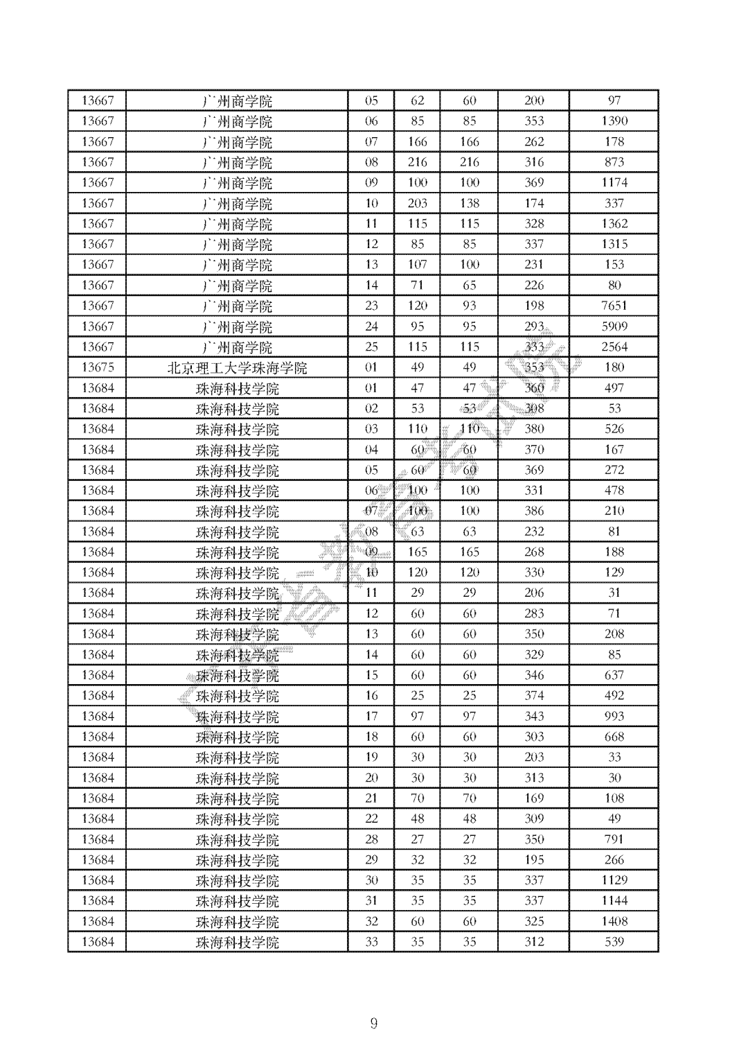
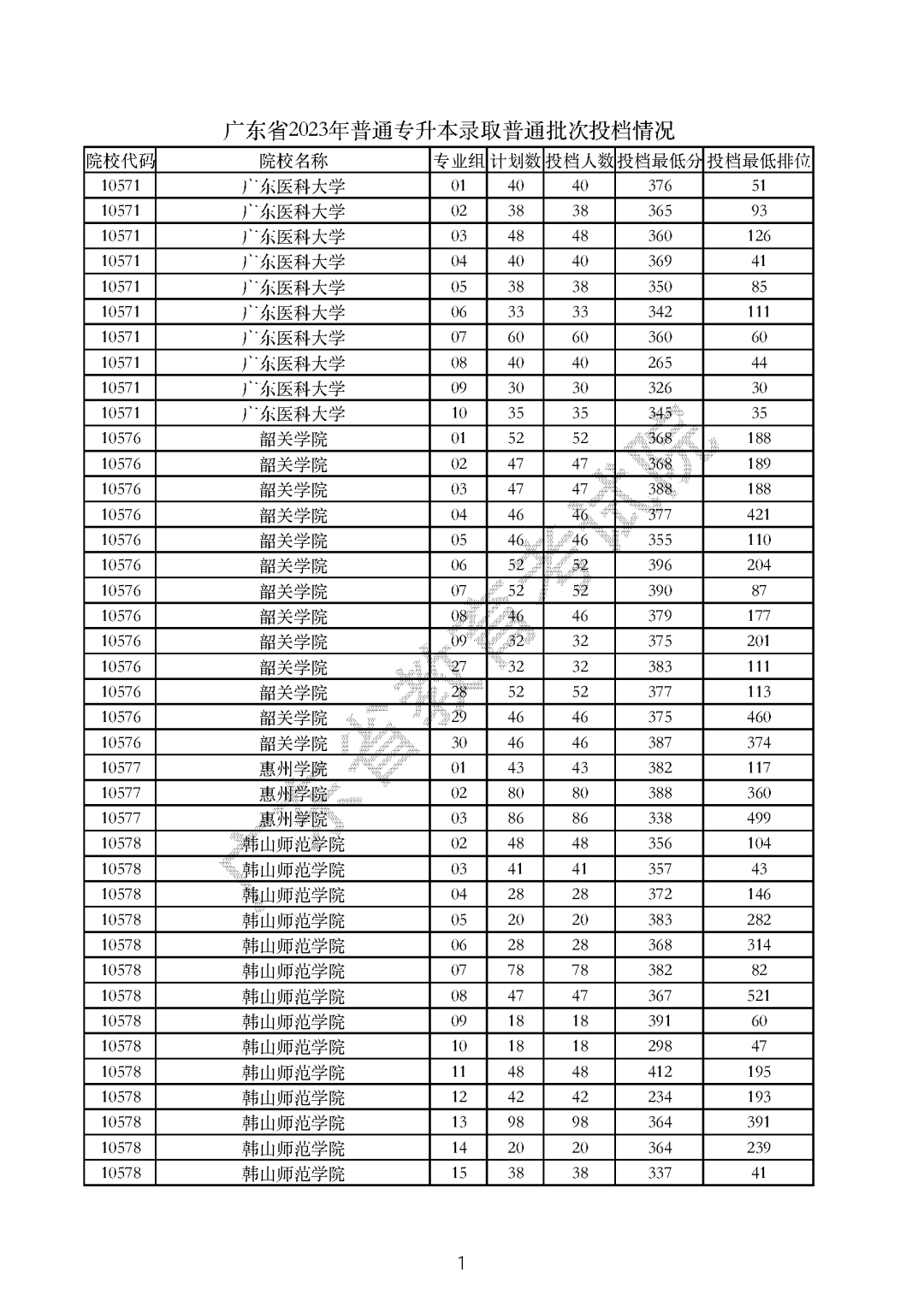
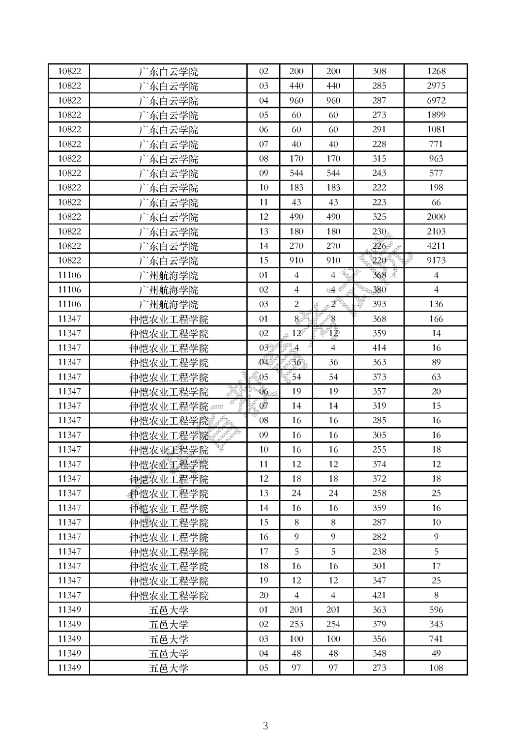
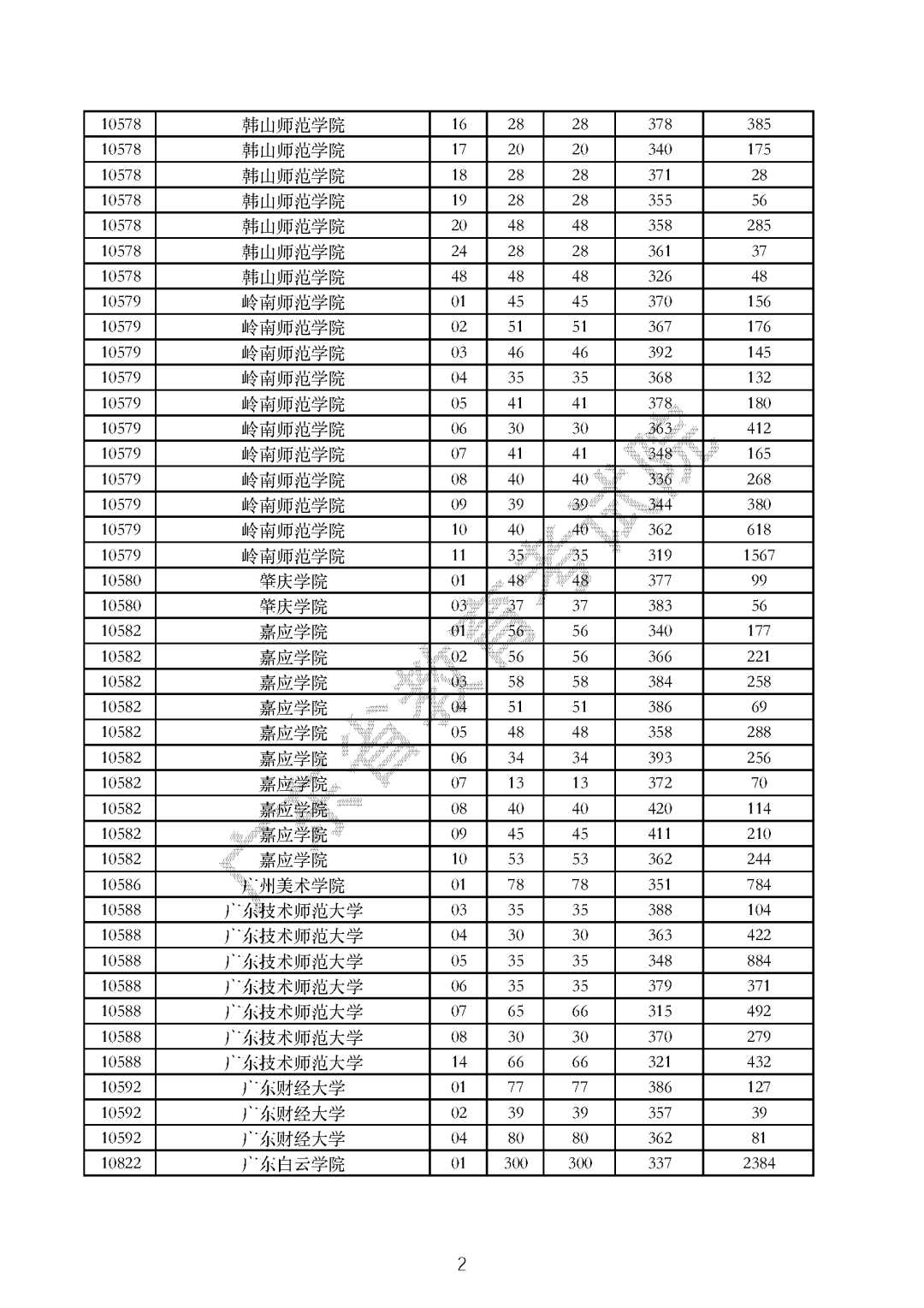
各校具体投档情况如何?高考直通车汇总如下(部分院校仍有缺额需补录):
我校普通批共投档1874人,具体录取结果将于近期公布。
从普通批投档情况来看考生认可度高,生源质量大幅度提高,最低排位同比2023年进一步提升,其中:
视觉传达设计专业,同比2023年提升37位;
动画专业,同比2023年提升139位;
汉语言文学专业,同比2023年提升30位;
行政管理专业,同比2023年提升214位;
市场营销专业、工商管理专业,同比2023年提升49位;
人力资源管理专业,同比2023年提升52位;
会计学专业、财务管理专业,同比2023年提升55位;
电子商务专业,同比2023年提升54位;
机械设计制造及其自动化专业,同比2023年提升51位;
机械电子工程专业,同比2023年提升90位;
电子信息科学与技术专业、通信工程专业,同比2023年提升586位;
自动化专业,同比2023年提升538位;
微电子科学与工程专业,同比2023年提升470位;
无人驾驶航空器系统工程专业、飞行器设计与工程专业,同比2023年提升388位。
统考最高分为399分,对应排位是21,该专业为电子商务。全部专业投档情况如下:
根据2024年普通专升本录取工作日程安排,退役士兵批录取工作和普通批第一阶段录取工作已完成。因考生志愿填报、专业间生源不均衡,我校预计有工学、管理学、经济学、艺术学、文学5个学科门类、11个专业参加征集志愿,具体如下表:
2024年5月23日,广东省2024年普通高等学校专升本普通批正式投档,共投档595人,我校投档情况再创新高!
我校生源充足,考生认可度、招生宣传效能、最低排位对比去年有明显提高,其中:
“计算机基础与程序设计”最低排位提升1668;
“机械工程基础”最低排位提升224;
“国际贸易理论与实务”最低排位提升165;
“管理学”+“市场营销学”最低排位提升287;
“经济学”+“金融学”最低排位提升15;
“英语基础与写作”最低排位提升185;
其中车辆工程、机械工程、机械电子工程、国际经济与贸易、英语受到考生追捧,成为热门专业!
另退役大学生士兵批计划260人,已录取274人。录取结果预计将于5月24日公布。
广州工商学院2024年普通专升本普通批次投档分数线公布如下:
注:最终数据以广东省教育考试院公布为准。
普通批次征集志愿专业如下:
注:以上仅为投档情况,录取结果后续持续更新,最终录取结果以广东省教育考试院公布为准。
2024年广东东软学院专升本招生普通类已投档,招生计划1602人一次投档即满,各专业投档最低分和最低排位如下:
2024年5月23日,广东省2024年普通高等学校专升本普通批正式投档,我校2024年普通专升本招生录取成绩喜人,绝大部分专业组一次满档,投档分远超省控线!
录取结果查询系统预计在5月23日-24日开放,具体请留意“广外南国招生就业指导处”微信公众号!
广东理工学院2024年专升本普通批各专业投档情况如下:
根据录取工作日程安排,普通批征集志愿将于5月25-30日进行,广东理工学院还有少量计划参加征集。
5月23日,广东省教育考试院2024年普通专升本完成投档录取。我校共投出考生近两千人(含退役士兵、三二分段批),其中部分专业生源较好,如学前教育专业生源火爆、投档最高分320分,最低分231分,最低排位4027,录取排位较往年有明显提高。目前,相关审核录取工作已完成,根据生源情况,预计文学、管理学、工学、艺术等科类将参加征集志愿。
普通批:
建档立卡批:
从投档情况看,文学、工学、教育学等科类专业受考生青睐。根据录取工作日程安排,普通批征集志愿将于5月25日-30日进行,我校有部分专业参加征集,机不可失!
我校2024年普通专升本目前已经录取2931人,其中普通批2538人,三二分段179人,退役士兵214人(含三等功2人)。其中:汉语言文学,法学,管理类,计算机类,医科类,艺术类等专业广受考生青睐,投档分数再创新高,生源质量进一步提高。
注:录取结果以广东省教育考试院公布为准。
今年,我校普通专升本普通批录取975人、退役士兵批录取92人、三二分段批录取307人。
普通批
退役士兵批
从投档情况看,今年受热捧专业有:计算机科学与技术类专业、电气及机械类专业、汉语言文学、英语、学前教育等专业。
因部分考生填报志愿不合理,我校部分专业有少量名额将征集补录志愿。请持续关注我校官微最新动态。
2024年投档分数线:
注:最终投档情况以广东省教育考试院为准。
今年,我校普通专升本共开设37个招生专业,涵盖了管理学、经济学、文学、工学、艺术学、教育学、医学等七大学科门类。根据投档结果显示,我校的录取情况继续保持乐观趋势,各专业组受到广大考生的热切追捧,投档分数线均高于省最低控制分数线。
普通批次投档情况:
征集志愿:
普通批次:
.
退役士兵批次:
5月23日,广东省普通专升本普通批次投档出炉,华南农业大学珠江学院各专业投档情况如下:
注:最终录取分数线和排位以广东省教育考试院公布为准。
广州软件学院招生生源充足,追加计划100个本次投档人数共1862人。录取成绩继续保持稳中有进,从各专业的投档情况来看,录取位次及生源质量也得到了进一步提升!
计算机科学与技术专业表现尤为出色,投档最低分384,平均分398,最高分415,投档最低排位595;电子与计算机工程专业也不甘示弱,投档最低分347,平均分364,最高分390,投档最低排位1372。
今年是广州软件学院开展普通专升本招生的第三年,多数招生专业录取分数稳中有升,大部分专业的分数线都稳定在300分以上。其中,计算机科学与技术、人力资源管理、行政管理、国际经济与贸易、电子商务、会计学6个专业在全省排名1000名内。
5月23日,按照广东省教育考试院的工作安排,广州应用科技学院2024年普通专升本普通批次投档。从投档情况看,我校2024年普通专升本普通批次投档5834人(除退役士兵、三二分段、建档立卡等批次),生源充足良好,法学、行政管理、汉语言文学、新闻学、社会体育指导与管理、美术学、视觉传达设计等热门专业继续受到考生追捧,广大考生对广州应用科技学院优势专业认可度显著增高,理工科专业报考热度持续提升。
为给更多考生提供继续升学本科的学习机会,我校将在征集志愿中的民法、高等数学、管理学、教育理论、经济学、大学语文等科类继续扩招,增加部分招生计划。录取查询通道及征集补录通知将在近期开放。
2024年普通专升本普通批次投档线:
5月23日,广东省2024年普通专升本普通批次顺利完成投档工作。退役士兵批次、三二分段录取结果现已开放查询,普通批次录取结果预计5月24日-25日开放查询,建档立卡批次尚未投档,请大家耐心等候,最终录取分数和排位请以广东省教育考试院公布为准。


















