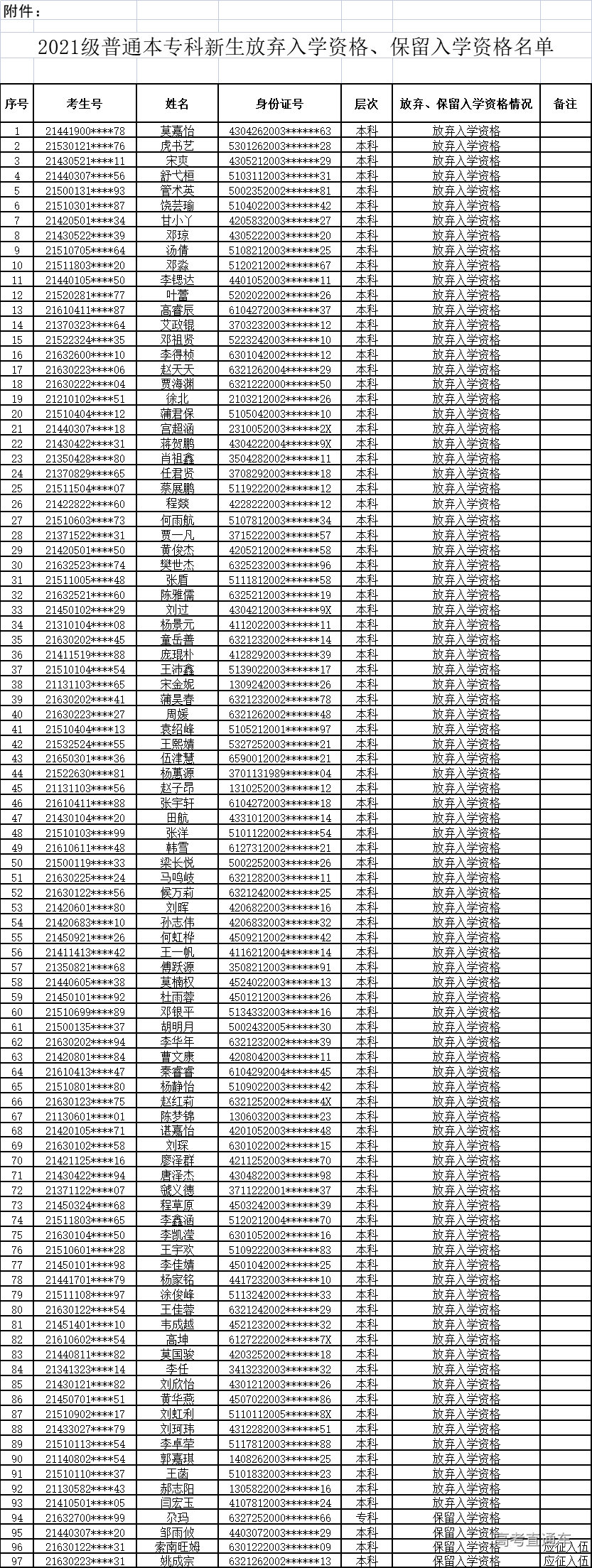
根据《普通高等学校学生管理规定》及《青海大学普通全日制本科学生学籍管理规定》,新生无故逾期两周不办理报到入学手续者,除因不可抗力延迟等正当理由的,视为放弃入学资格;新生可以申请保留入学资格,保留入学资格时间为1年,保留入学资格期间不注册学籍;新生和在校学生应征参加中国人民解放军(含中国人民武装警察部队),学校应当保留其入学资格或者学籍至退役后2年。
经学生申请、各院(系)上报汇总,截至2021年10月21日,共有93名新生未按规定办理入学手续或主动申请放弃入学资格,4名新生申请保留入学资格,现予以公告。
附件:2021级普通本专科新生放弃入学资格、保留入学资格名单
2021年11月1日
