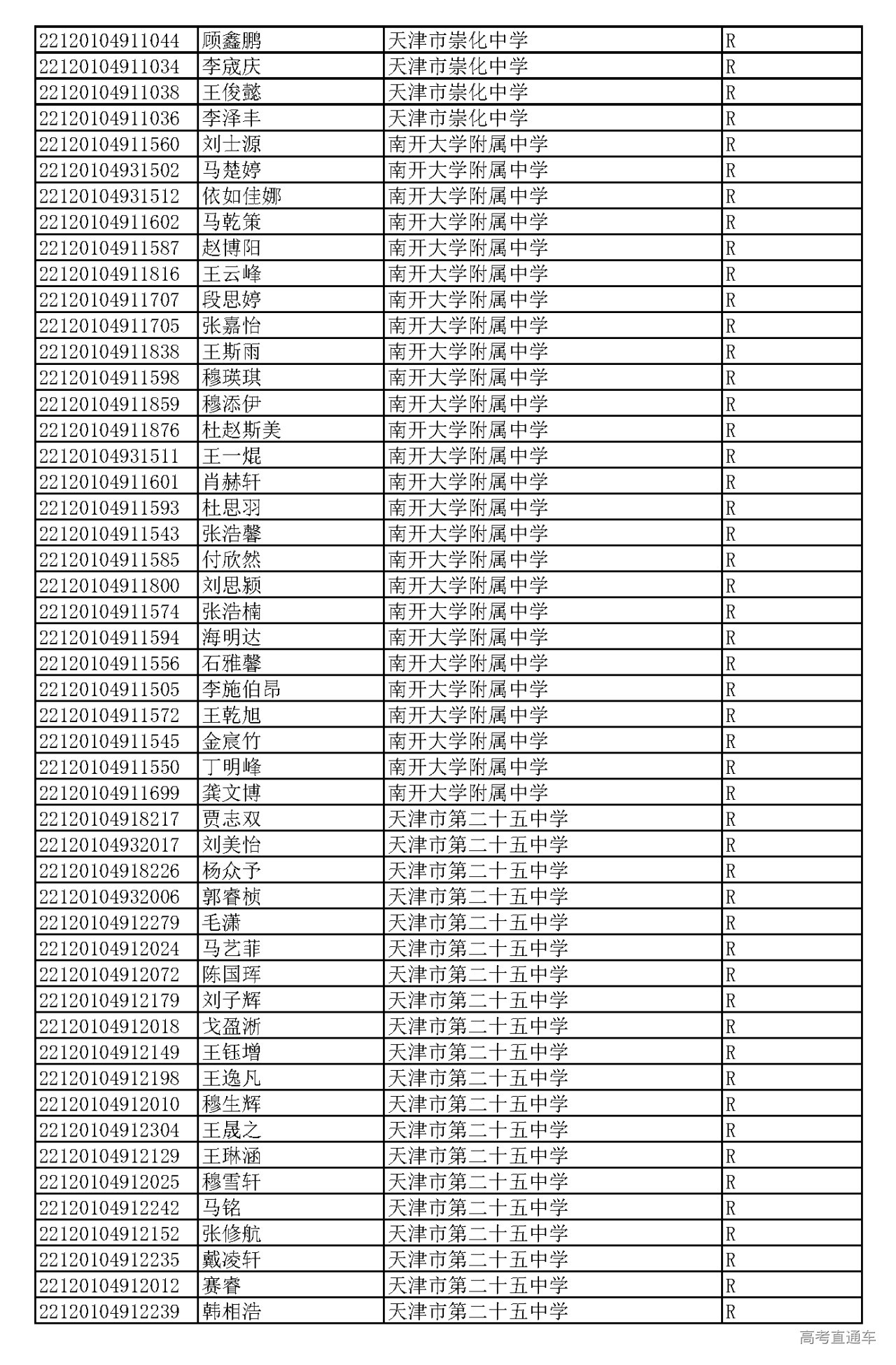
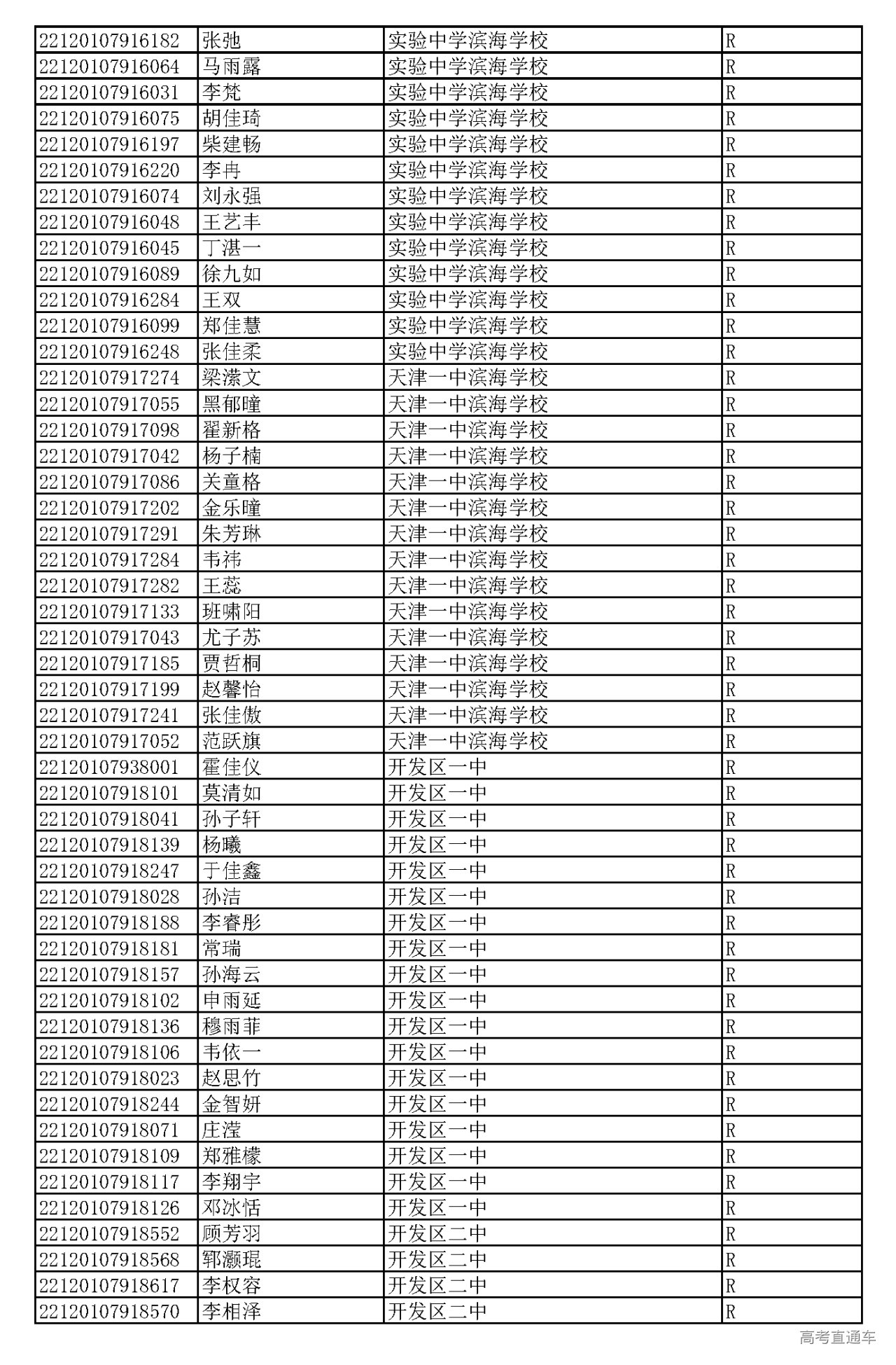
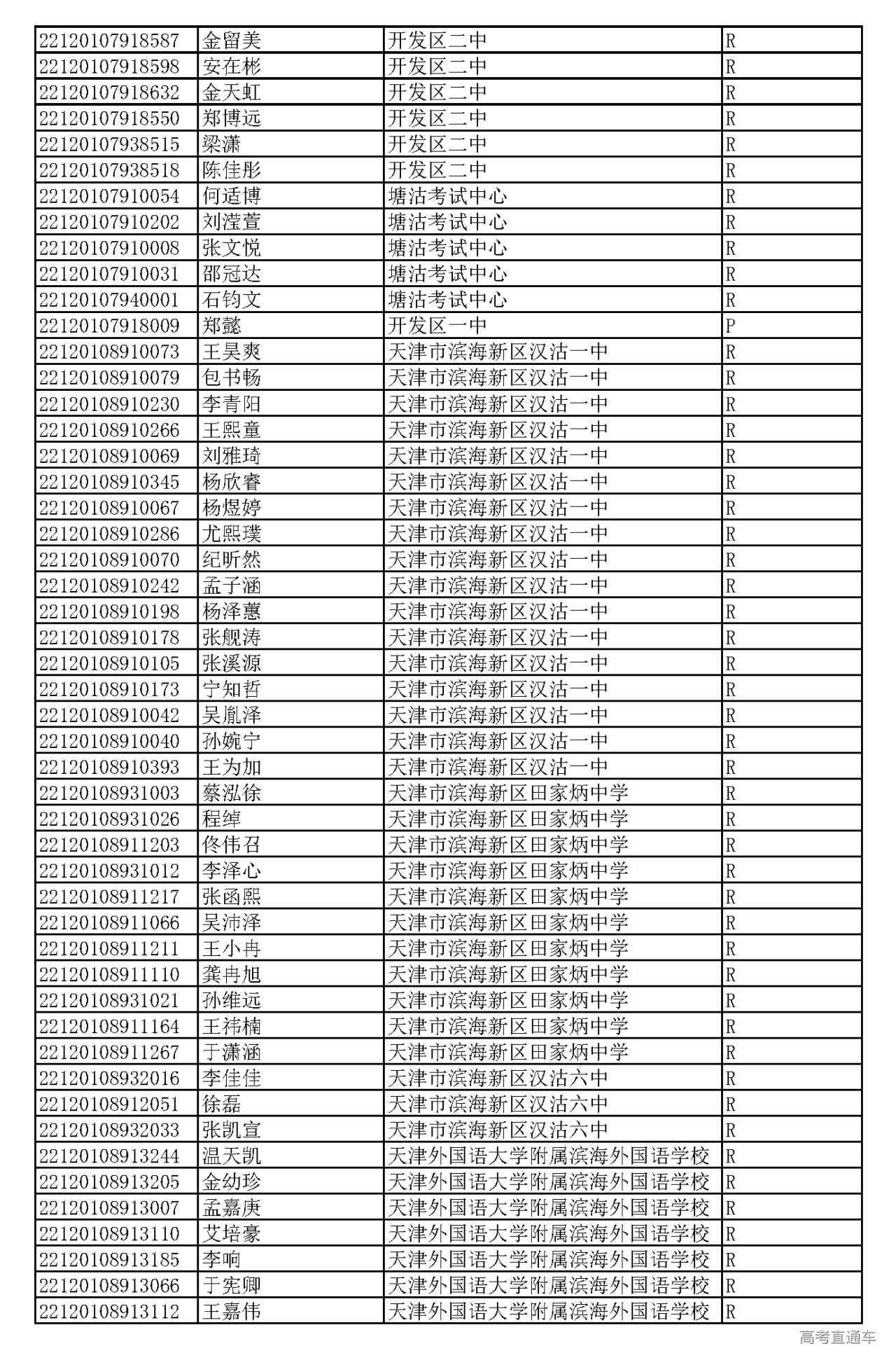
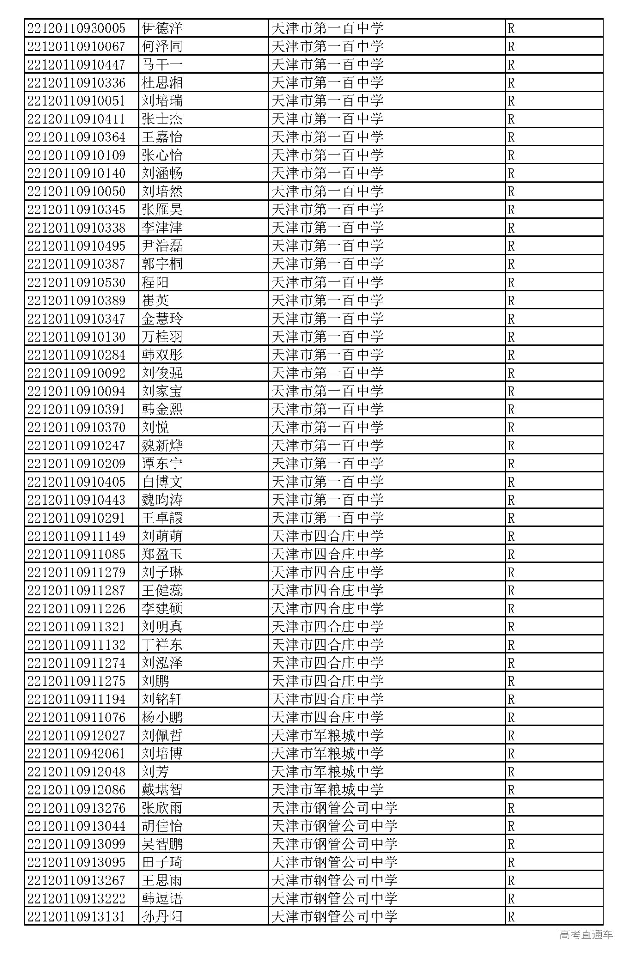
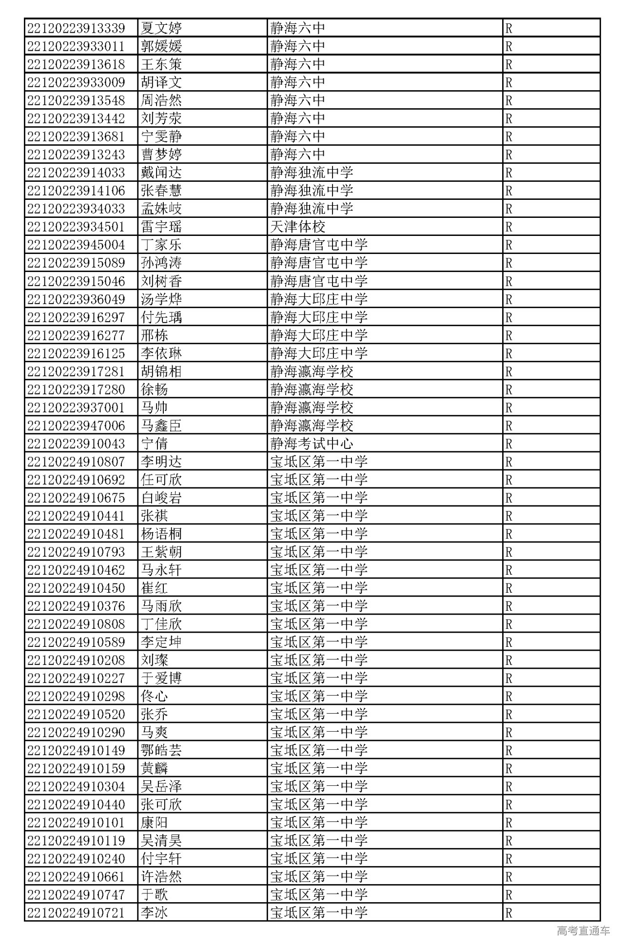
为深入贯彻实施高校招生阳光工程,确保招生录取公平、公正、公开,维护广大考生的切身利益,按照教育部和天津市有关规定,2022年高考加分照顾政策考生在各中学和区考试机构审核及公示的基础上,经市人民政府侨务办公室、市台湾同胞联谊会联络部、民族宗教事务办公室、市退役军人事务局和各区招生办公室等资格审查后,现由市高招办面向社会予以公示,接受社会各界的监督。举报电话:23769162。
查看完整试题
登录查看完整试题答案
阅读数:2.1 k
特别声明:
1. 本站注明稿件来源为其他媒体的文/图等稿件均为转载稿,本站转载出于非商业性的教育和科研之目的,并不意味着赞同其观点或证实其内容的真实性。如转载稿涉及版权等问题,请作者在两周内速来电或来函联系,本站根据实际情况会进行下架处理。
2. 任何媒体、网站或个人未经本网协议授权不得转载、链接、转贴或以其他方式复制发表,违者本站将依法追究责任。
1. 本站注明稿件来源为其他媒体的文/图等稿件均为转载稿,本站转载出于非商业性的教育和科研之目的,并不意味着赞同其观点或证实其内容的真实性。如转载稿涉及版权等问题,请作者在两周内速来电或来函联系,本站根据实际情况会进行下架处理。
2. 任何媒体、网站或个人未经本网协议授权不得转载、链接、转贴或以其他方式复制发表,违者本站将依法追究责任。
























































