
今年我市高中阶段学校最低录取控制分数线已经划定,现予以公布,具体如下:
普通高中最低录取控制分数线


(一)统招生最低录取控制分数线
第一批普通高中学校:450分。
第二批普通高中学校:350分。
各普通高中学校统招生录取分数线详见附件1。
(二)指标生最低录取控制分数线
公办国家级示范性和省一级普通高中学校指标生最低录取控制分数线为450分。
(三)特长生最低录取控制分数线
第一批普通高中学校:中考总分405分,术科65分。
第二批普通高中学校:中考总分315分,术科50分。
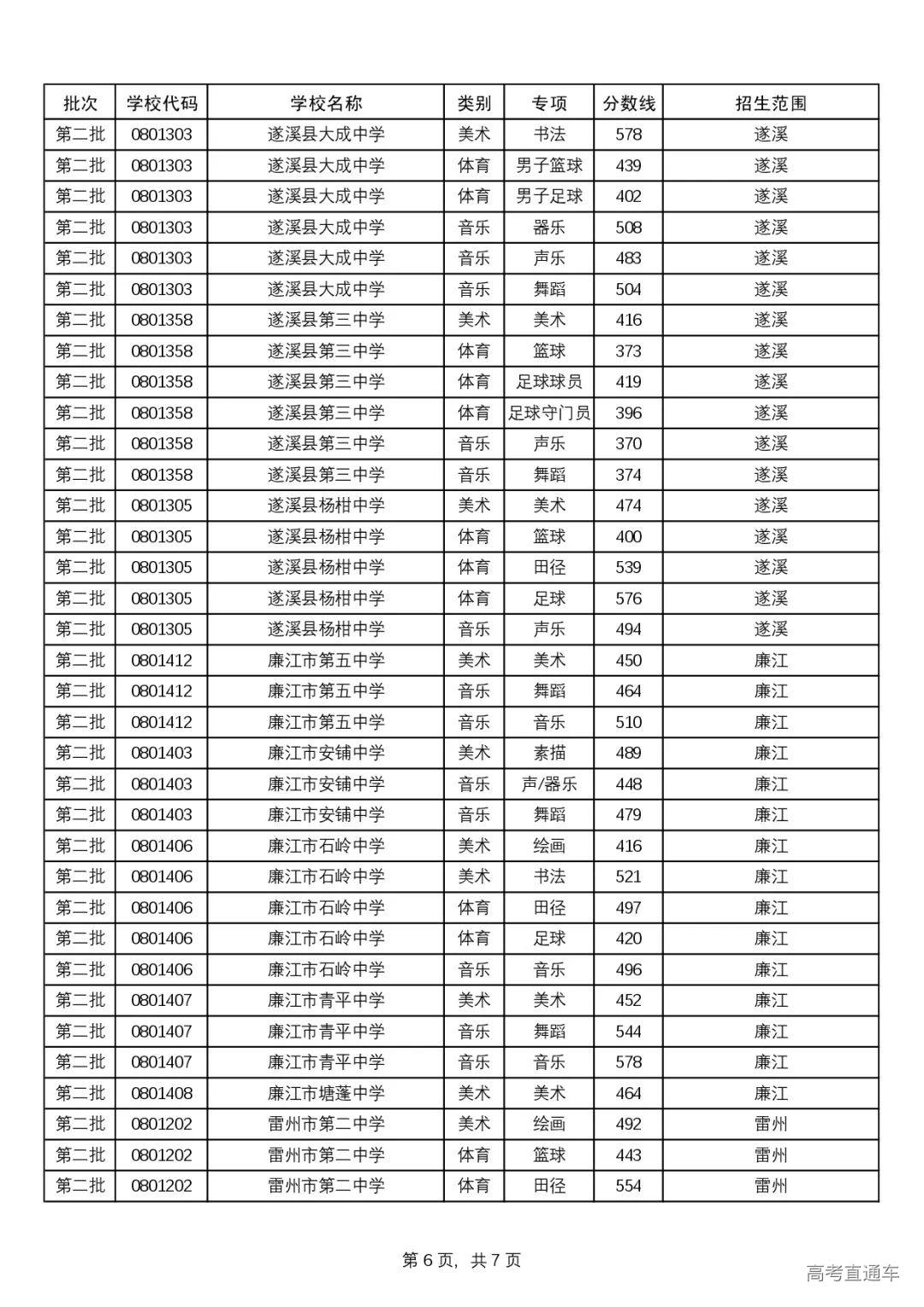
特长生录取分数线按考生中考成绩、术科成绩合成的总分(计算公式为:中考成绩×40%+术科成绩×7.6×60%)从高到低、依照志愿顺序进行划定。各普通高中学校特长生录取分数线详见附件2。
被授予国家二级及以上运动员技术等级称号的体育特长生、备战广东省第十四届中学生运动会等省级以上比赛布点项目学校运动队学生,由招生学校按程序上报有关证明材料单独录取。
中等职业学校最低录取控制分数线


(一)试点中职学校“中本贯通班”最低录取控制分数线
湛江机电学校(中本贯通班):594分。
湛江中医学校(中本贯通班):524分。
(二)其他中等职业学校(含技工院校)的最低录取控制分数线由各学校根据本校生源情况自行确定。
录取结果查询


(一)查询开始时间
2025年7月23日12时。
(二)查询方式及步骤
1.“湛江教育”微信公众号查询。关注“湛江教育”微信公众号(微信号:gdzjedu),进入公众号页面,点击右下角“查看更多”—“成绩查询”,输入准考证号、姓名及验证码查询。
2.湛江市招生考试网查询。进入网站首页(http://zk.jyj.zhanjiang.gov.cn/),输入准考证号、姓名及验证码查询。
(三)市教育局咨询电话
3211036、3339667









