西藏自治区2024年公开招募 “三支一扶”人员公告
广大高校毕业生:
为深入贯彻党的二十大精神,进一步引导和鼓励高校毕业生到基层工作,按照《人力资源社会保障部办公厅 财政部办公厅关于做好2024年高校毕业生“三支一扶”计划实施工作的通知》(人社厅发〔2024〕26 号)和《西藏自治区党委组织部 人力资源和社会保障厅等部门关于实施全区第四轮高校毕业生“三支一扶”计划的通知》(藏人社发〔2021〕53 号)要求,为做好我区2024年“三支一扶”招募工作,现将有关事项公告如下。
一、招募范围
参加西藏自治区2024年事业单位公开招聘高校毕业生笔试(以下简称招聘考试)的人员。
二、招募计划
2024年“三支一扶”招募计划共计1320名,重点招募应届毕业生。本次招募不再单独组织考试,依据2024年招聘考试成绩从高到底依次确定招募人员。免试人员纳入招募范畴,限报指定岗位。
三、招募报名
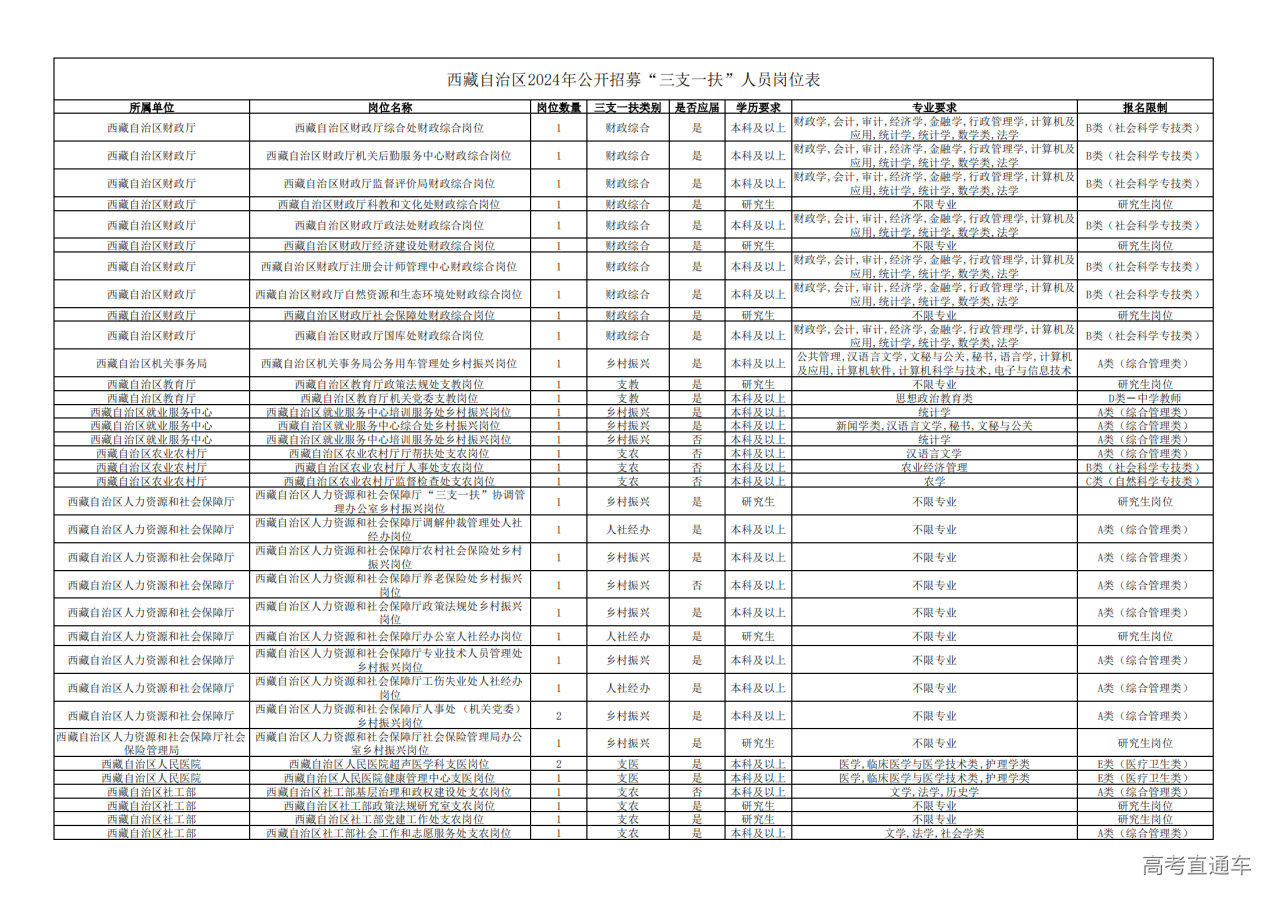
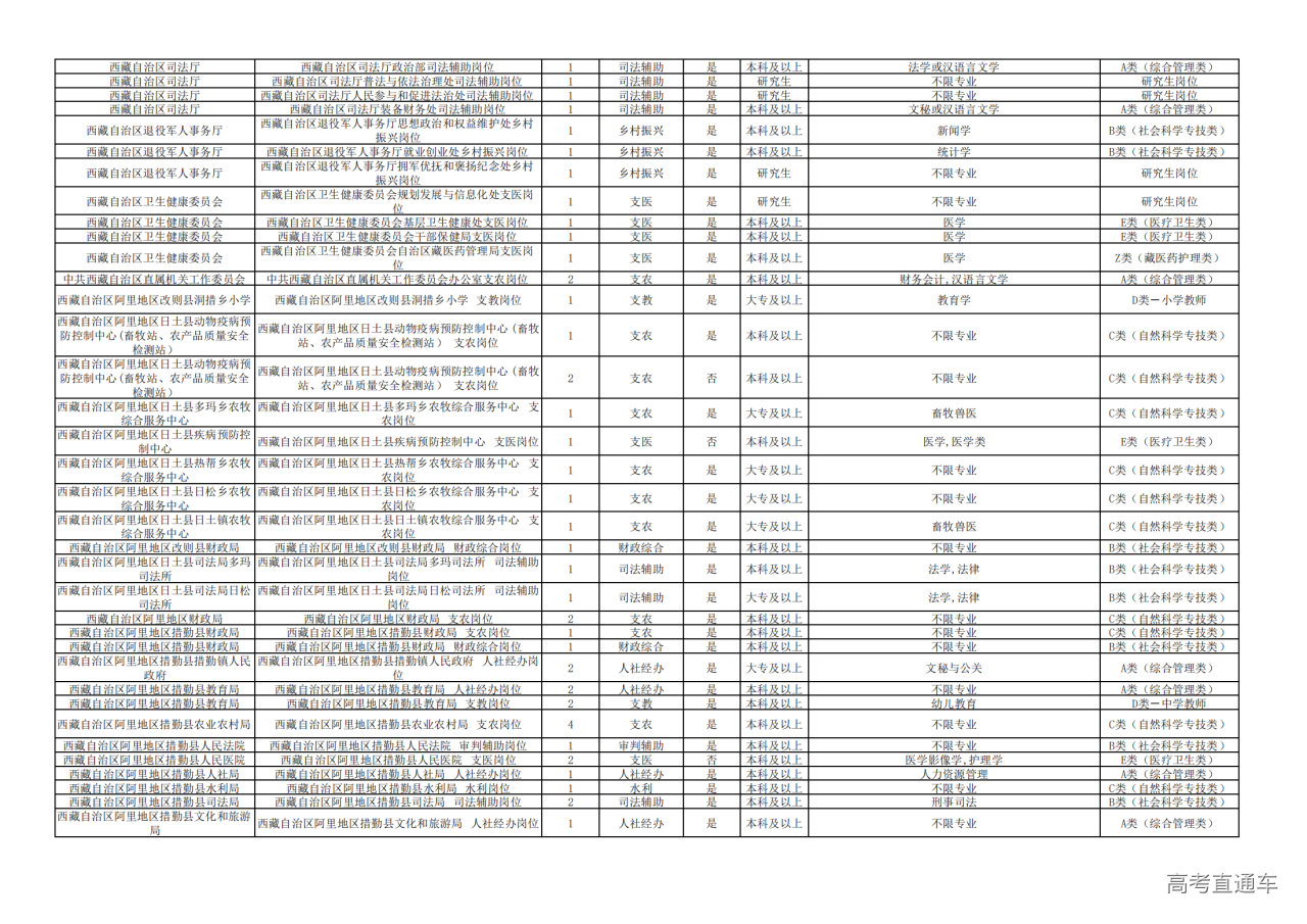
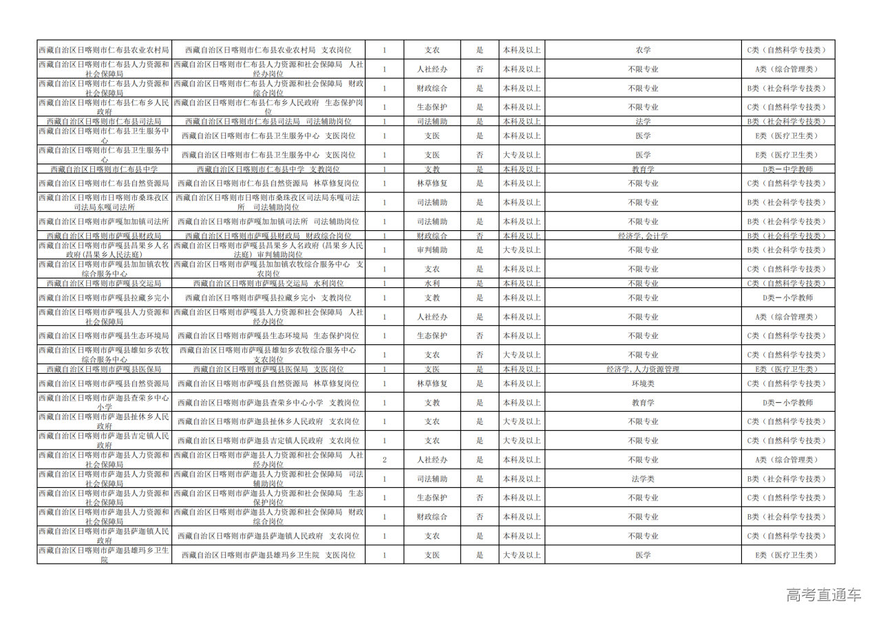
招募报名时间另行通知。请考生关注西藏人社厅官网及“西藏人事人才”微信公众号,届时点击“西藏人事人才系统”,进入“三支一扶”模块进行报名。系统登录时,账号为考生本人身份证号,密码默认为123456。登录后,考生必须确认手机号码并修改密码。报名时,管理系统根据考生招聘考试科目分类,引导考生自动获取可报岗位,考生选岗后确认提交报名,服从调剂人员需勾选服从调剂选项。结合考生招聘考试笔试科目分类情况,为方便考生充分了解岗位信息,我们制作了《西藏自治区2024年公开招募“三支一扶”人员岗位表》,请考生重点关注表中的“报名限制”栏,根据下面具体“岗位-科目”对应情况进行报名:
(一)研究生岗位,限报名招聘考试的硕士及以上学历人员报名。
(二)“综合管理类(A类)”岗位,仅限招聘考试笔试科目为综合管理类(A类)的人员报名。
(二)“社会科学专技类(B类)”岗位,仅限招聘考试笔试科目为社会科学专技类(B类)的人员报名。
(三)“自然科学专技类(C类)”岗位,仅限招聘考试笔试科目为自然科学专技类(C类)的人员报名。
(四)“小学教师”岗位,仅限招聘考试笔试科目为中小学教师类(D类)—小学教师的人员报名。
(五)“中学教师”岗位,仅限招聘考试笔试科目为中小学教师类(D类)—中学教师的人员报名。
(六)“医疗卫生类(E类)”岗位,仅限招聘考试笔试科目为医疗卫生类(E类)的人员报名。
(七)“藏医药护理类(Z类)”岗位,仅限招聘考试笔试科目为藏医药护理类(Z类)的人员报名。
四、资格审核
各地市人社局、区直有关单位政工人事部门负责本地本部门报名人员的资格审核工作,依据招聘考试成绩由高到低确认拟招募人员。研究生岗位的面试工作,由自治区“三支一扶”协调管理办公室会同区直有关单位负责。资格审核贯穿招募工作全过程,任何环节发现有关材料信息不实、弄虚作假、影响资格审核结果的,直接取消招募资格。自愿放弃服务岗位的,各审核部门依据成绩从高到低依次递补。递补后仍有缺额的岗位由区“三支一扶”协调管理办公室进行调剂,优先招募脱贫人口、零就业家庭毕业生和易地扶贫搬迁家庭毕业生。
(一)资格审核咨询电话
区 直:0891-6845864
拉 萨 市:0891-6861374
日喀则市:0892-8708870
山 南 市:0893-7821196
林 芝 市:0894-5828926
昌 都 市:0895-4843357
那 曲 市:0896-3721012
阿里地区:0897-2828712
(二)技术服务咨询电话:18030532147
五、进行公示
拟招募人员名单确定后,由区人社厅在官网和西藏人事人才微信公众号上进行公示。
六、人员派遣
派遣时间另行通知。新招募人员出具本人身份证原件、人事人才信息系统微信端个人信息,按管理权限由各级“三支一扶”协调管理办公室出具介绍信,新招募人员持介绍信按规定时间到服务单位报到。





























