刚刚,广东省2024年农村卫生专项计划政策、招生名额正式出炉,不限农村户口、不限定向地户口。通知原文如下↓
(上下滑动查看)
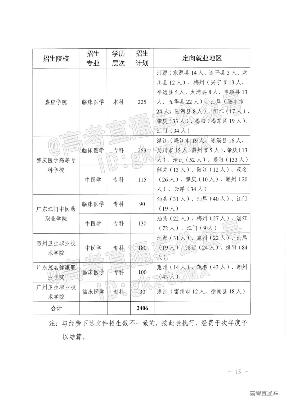
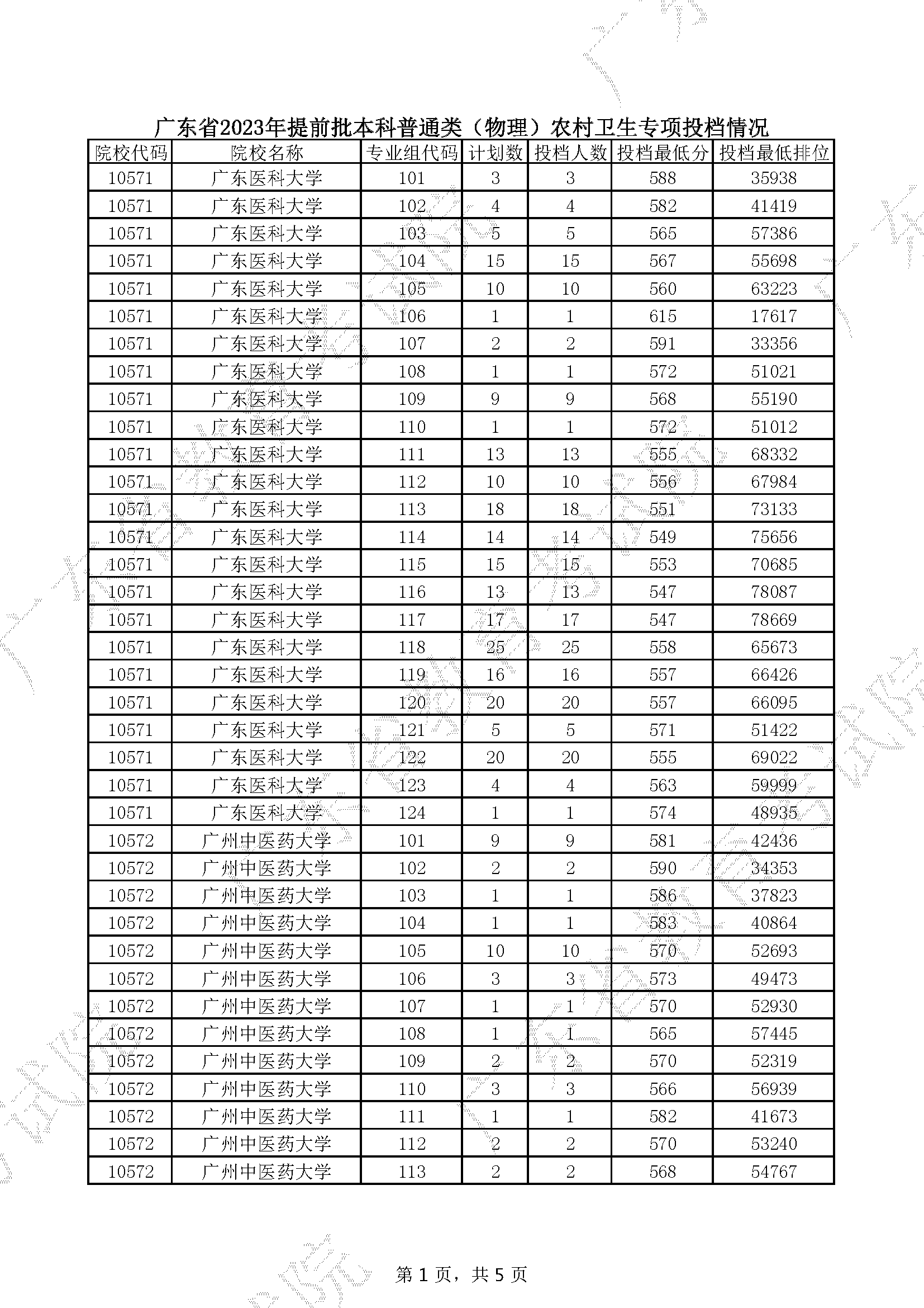
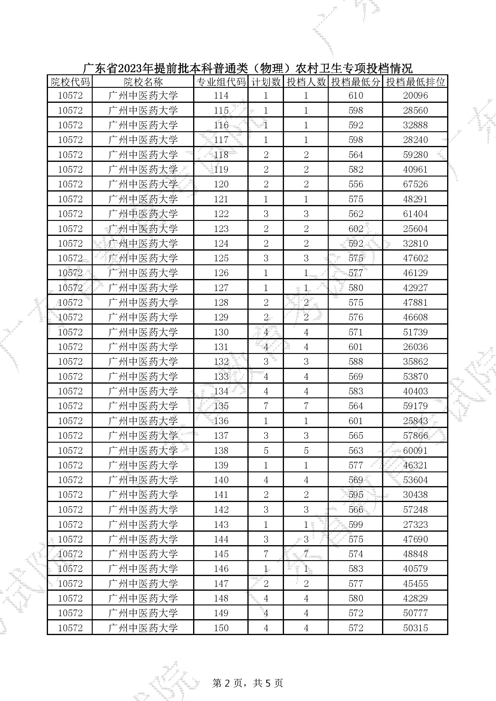
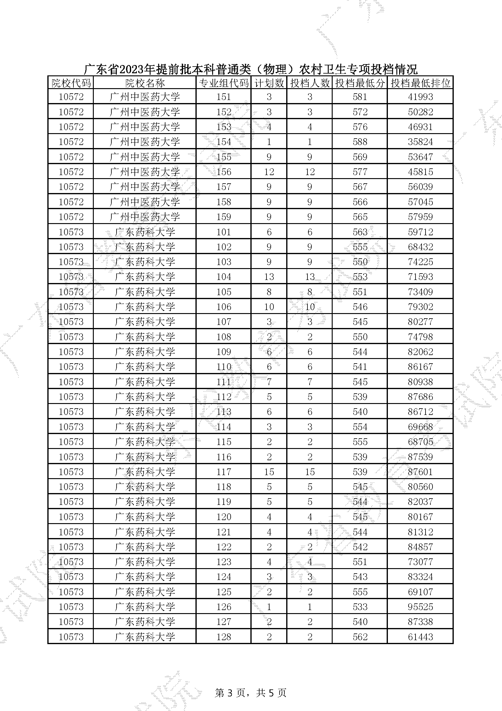
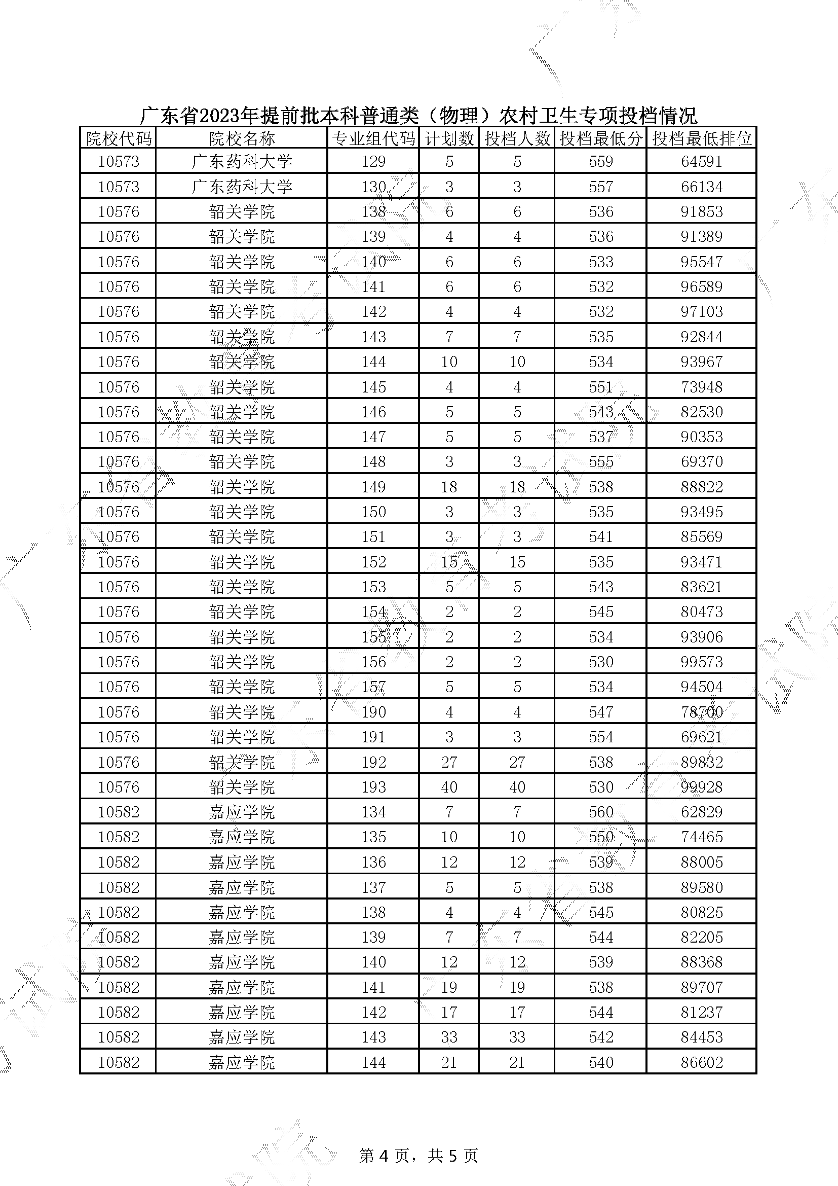
据高考直通车统计,今年共计划招2406名考生,由11所本、专科院校为全省15个地级市培养医学生。学生毕业后分配到指定卫生医疗机构至少工作6年,落实编制。
据了解,广东农村卫生人才免费定向培养始于2014年,被录取的同学免缴学费、住宿费等,并有生活费补助。


2024年招生计划为2406人(具体招生计划附后),对比此前两年呈现缩招趋势,2014-2024年招生计划数统计如下:

招生院校:广州中医药大学、汕头大学医学院、广东医科大学、广东药科大学、韶关学院、嘉应学院、肇庆医学高等专科学校、广东江门中医药职业学院、惠州卫生职业技术学院、广东茂名健康职业学院、广州卫生职业技术学院。
招生专业:中医学、临床医学。

定向市仍然是15个:汕头市、韶关市、河源市、梅州市、惠州市、汕尾市、江门市、阳江市、湛江市、茂名市、肇庆市、清远市、潮州市、揭阳市、云浮市。

填报志愿:直接在高考的提前批本科、提前批专科填报志愿,用高考成绩录取,不需提前报名和参加其他考核。
投档方式:平行志愿投档方式,投档比例为1:1。
录取原则:院校按“分数优先”原则分配专业。


物理类:
历史类:

物理类:
历史类:




























