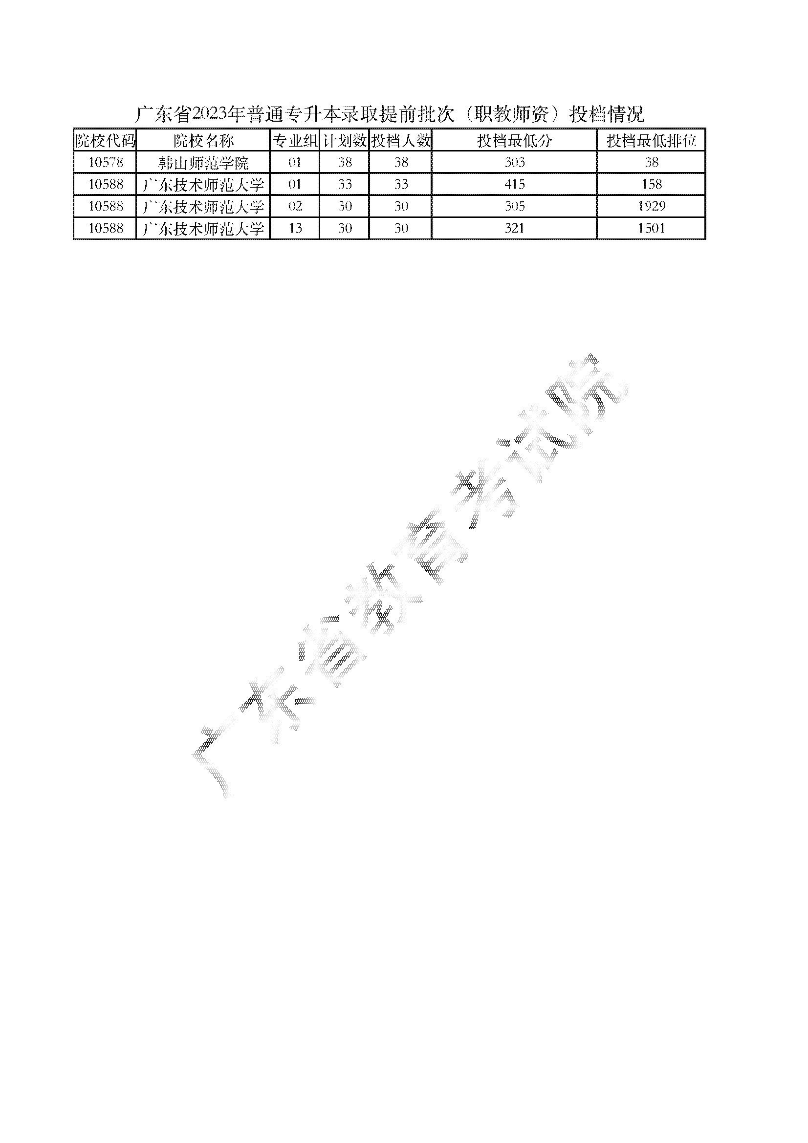
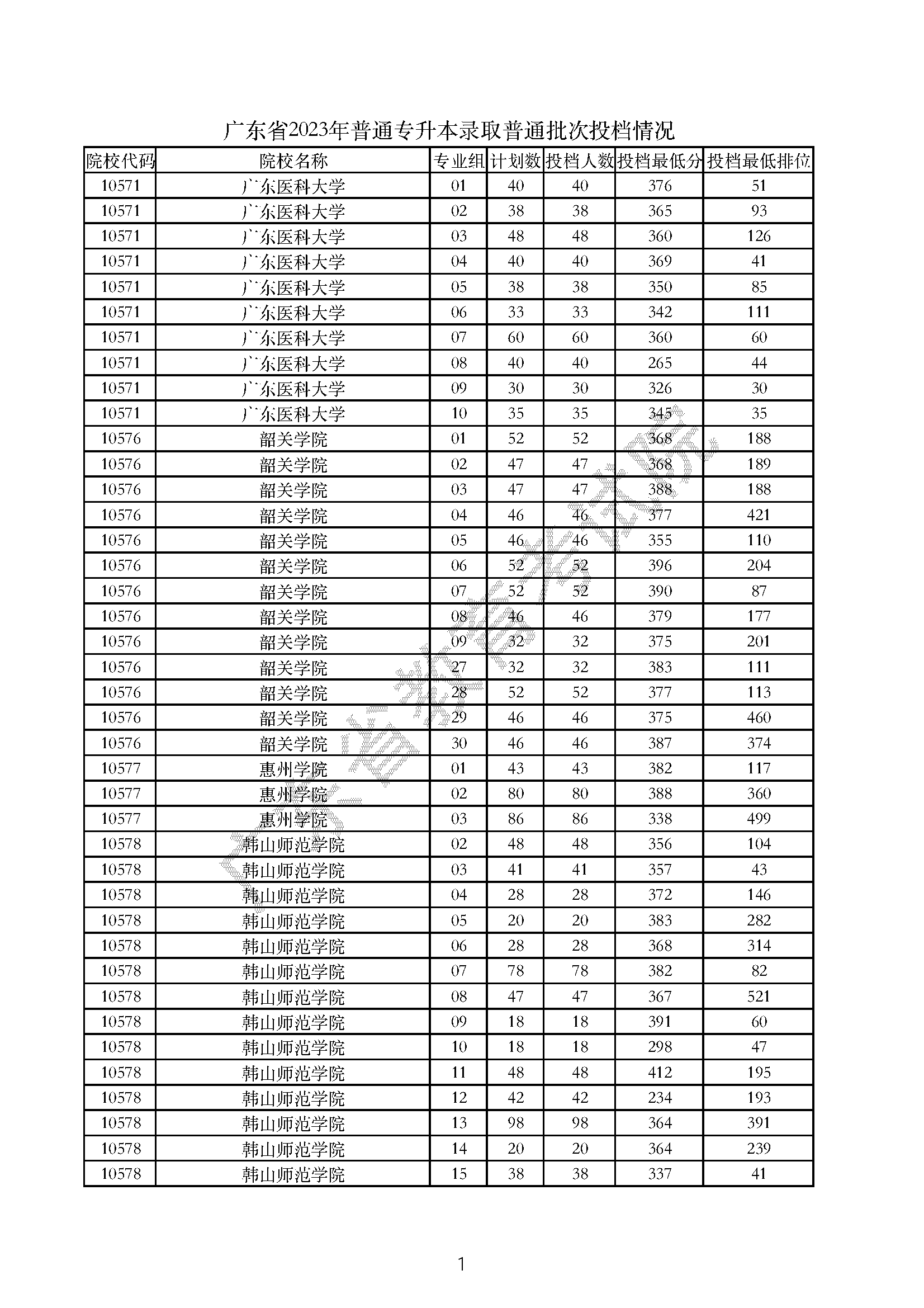
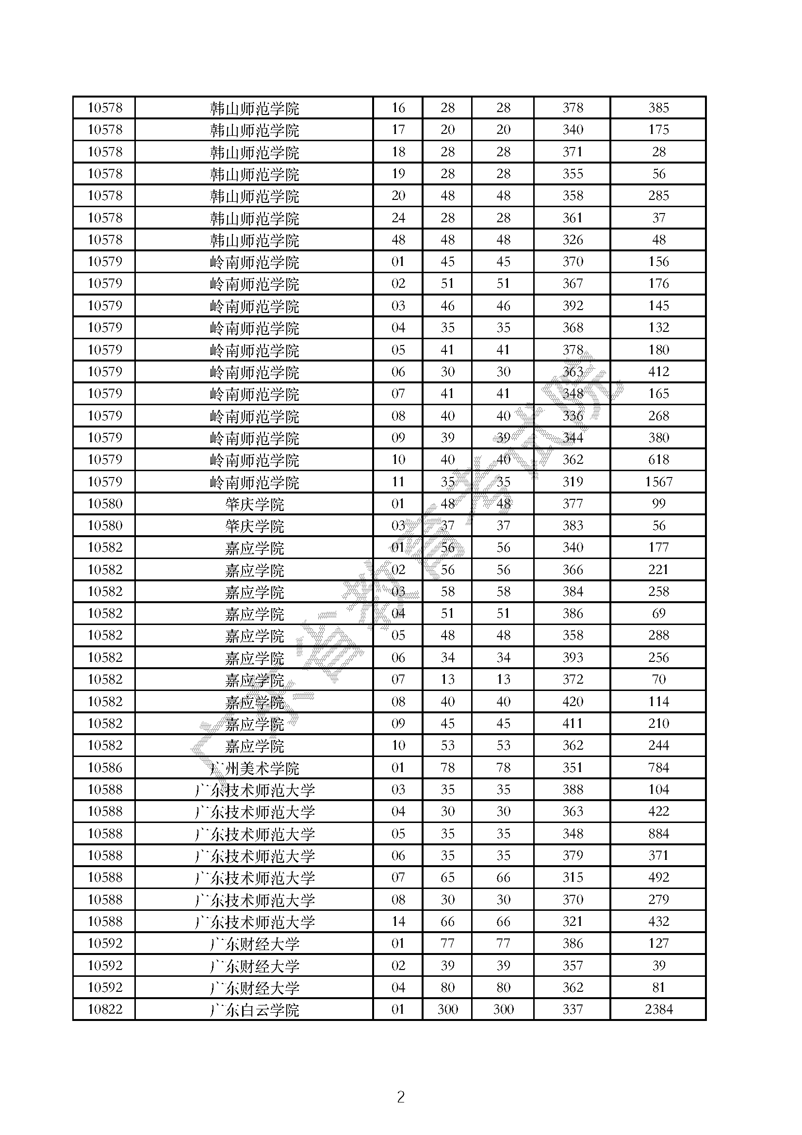
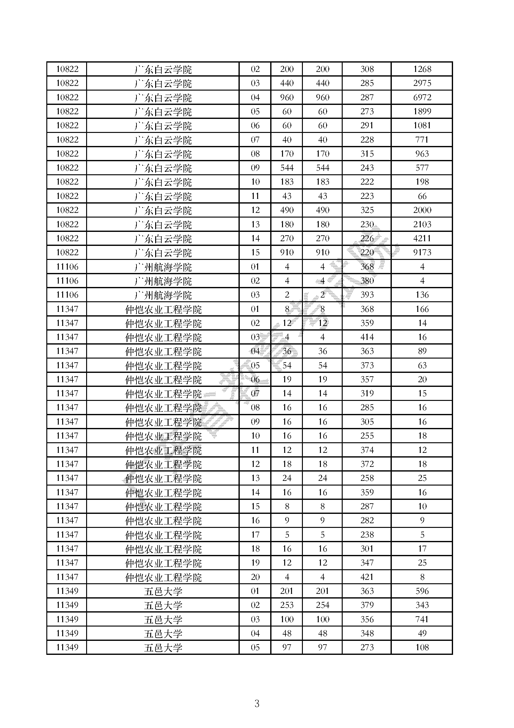
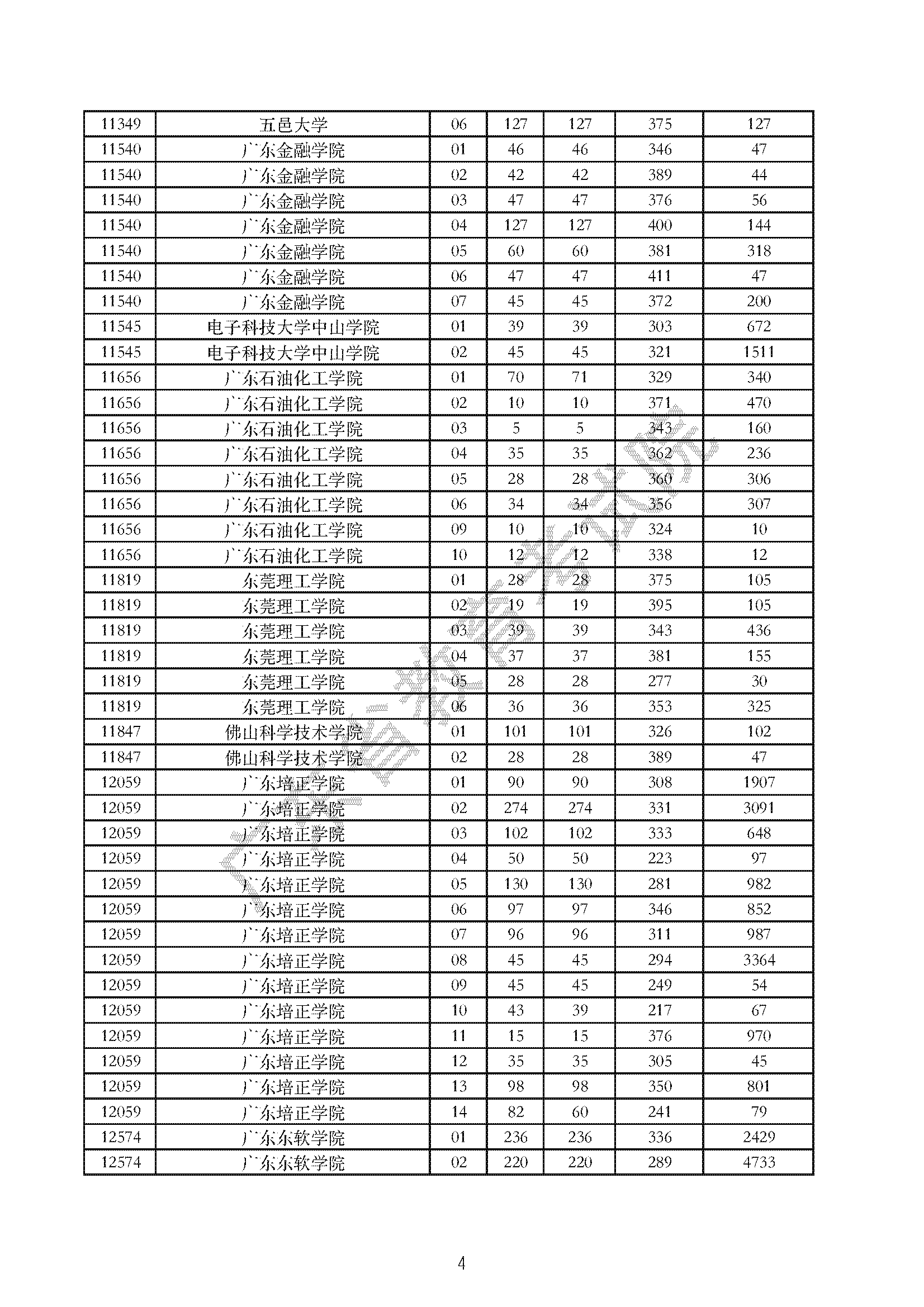
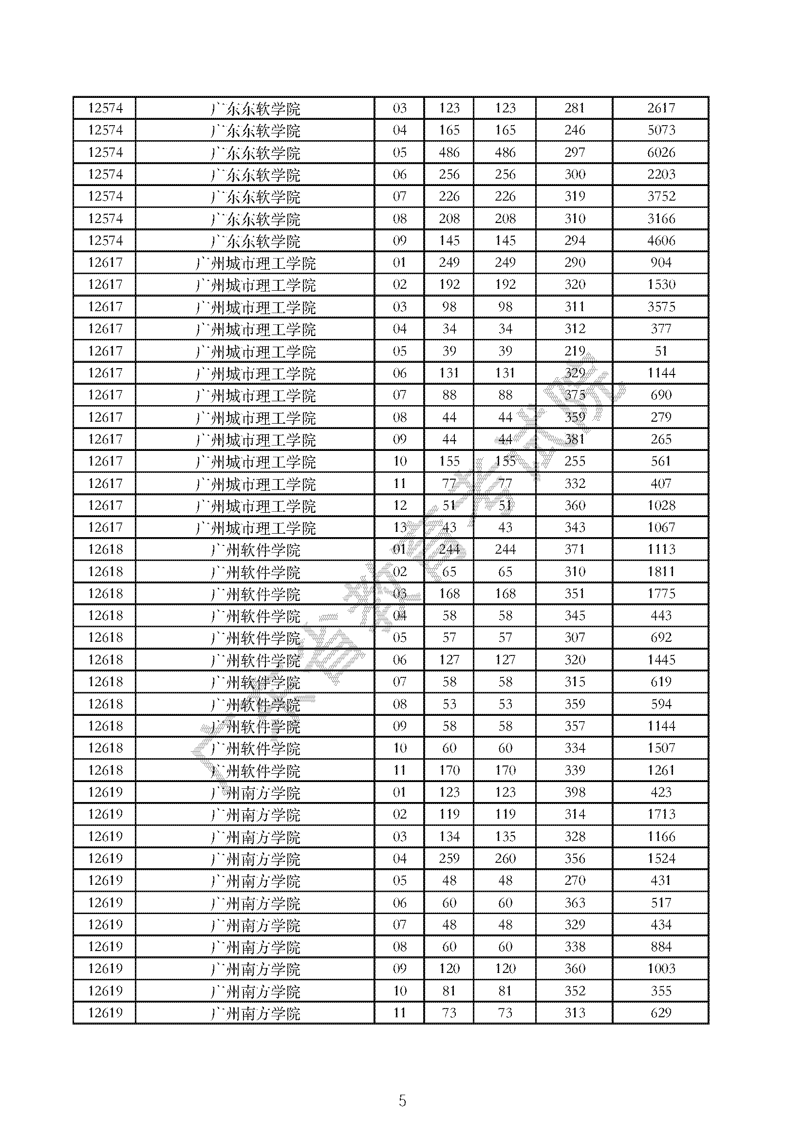
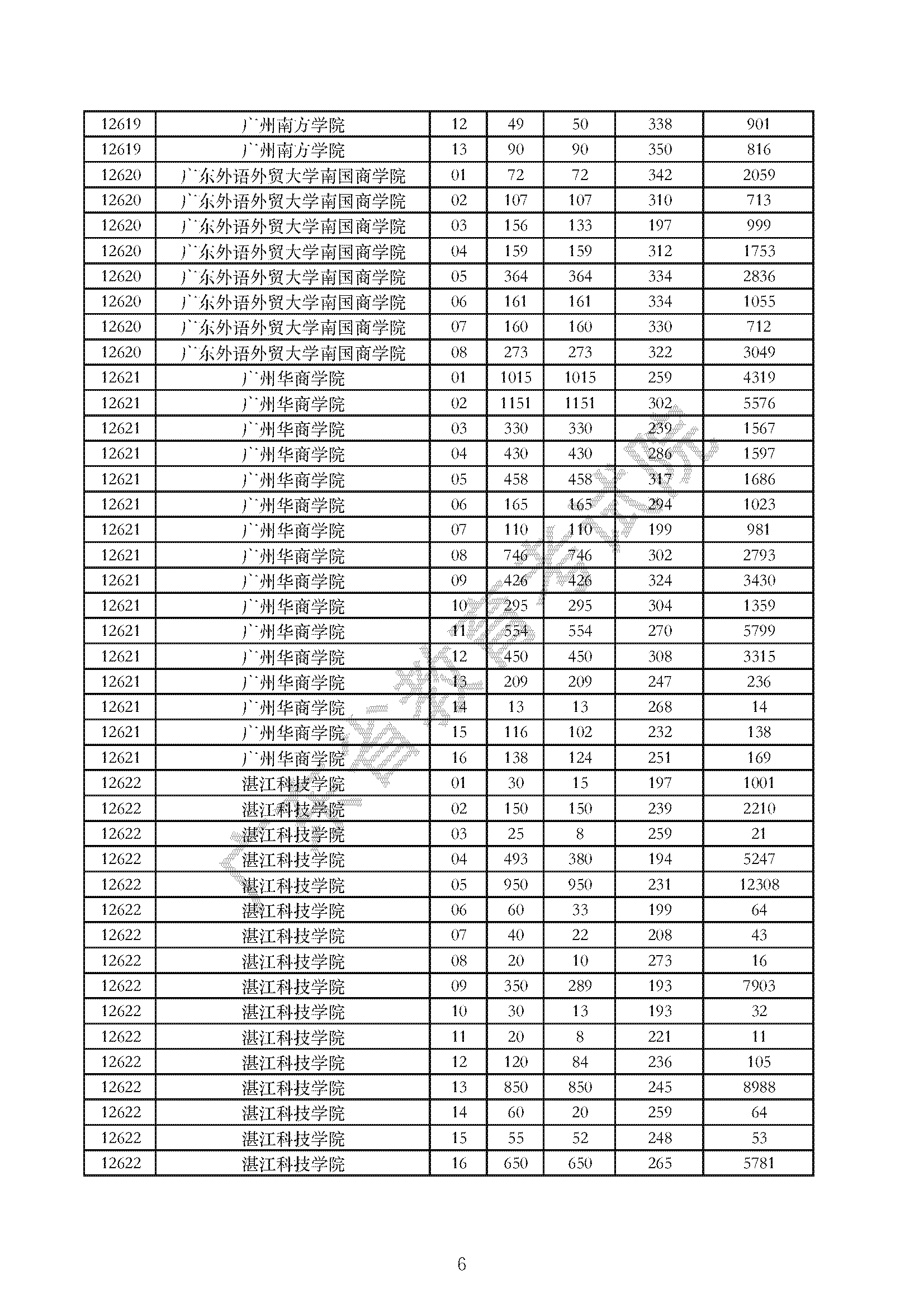
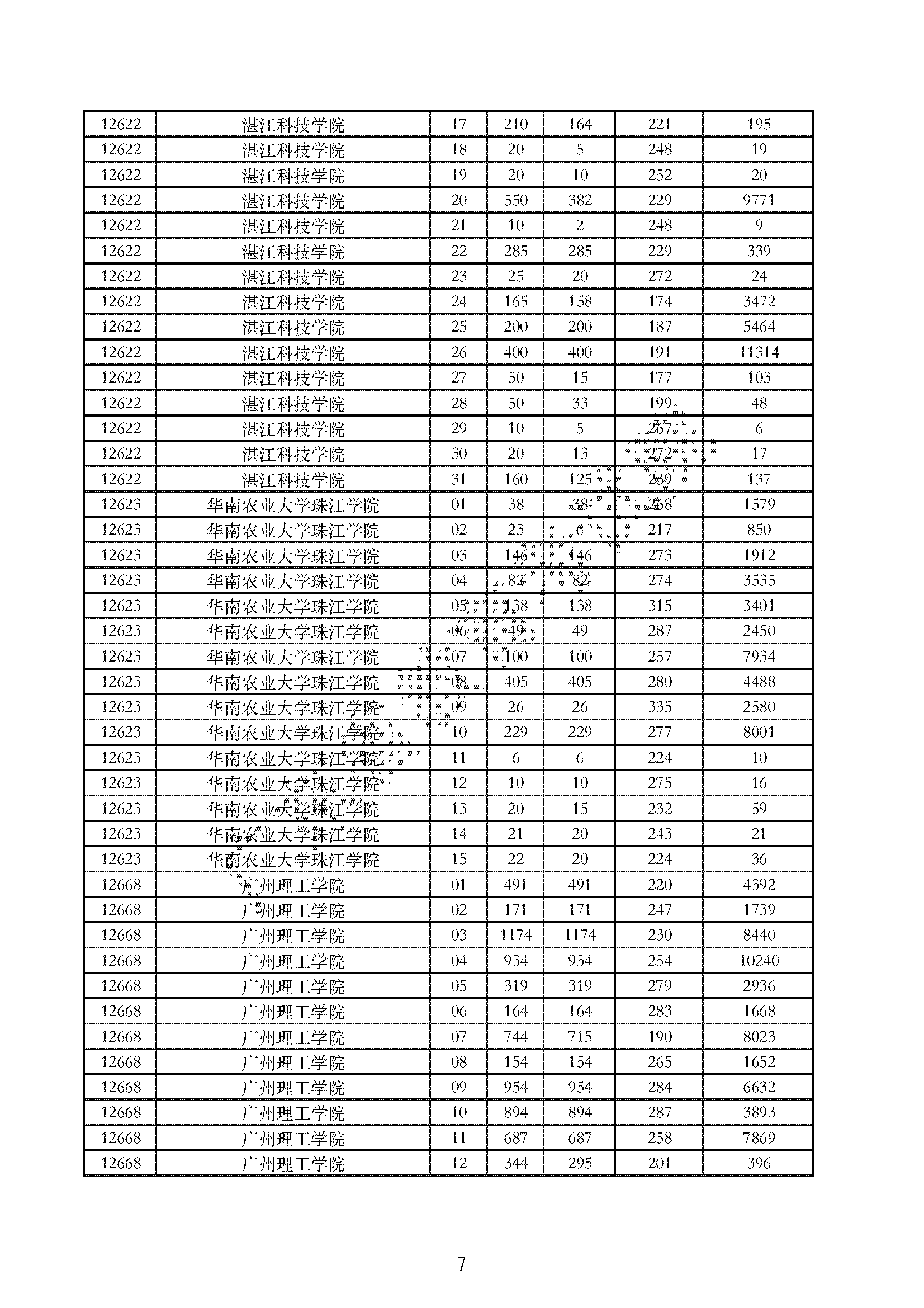
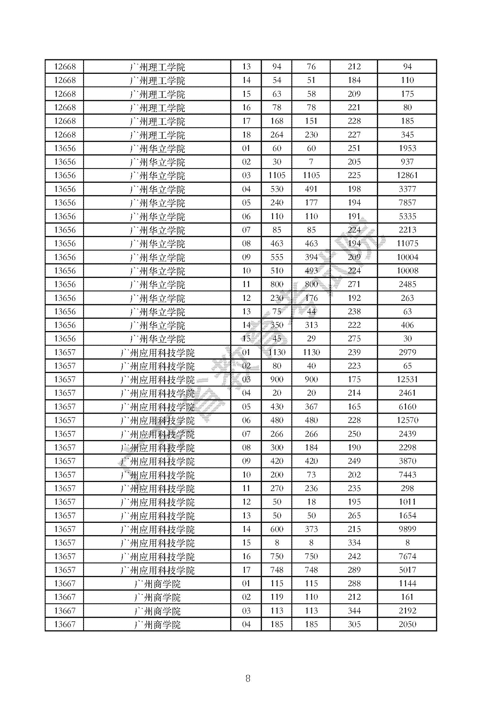
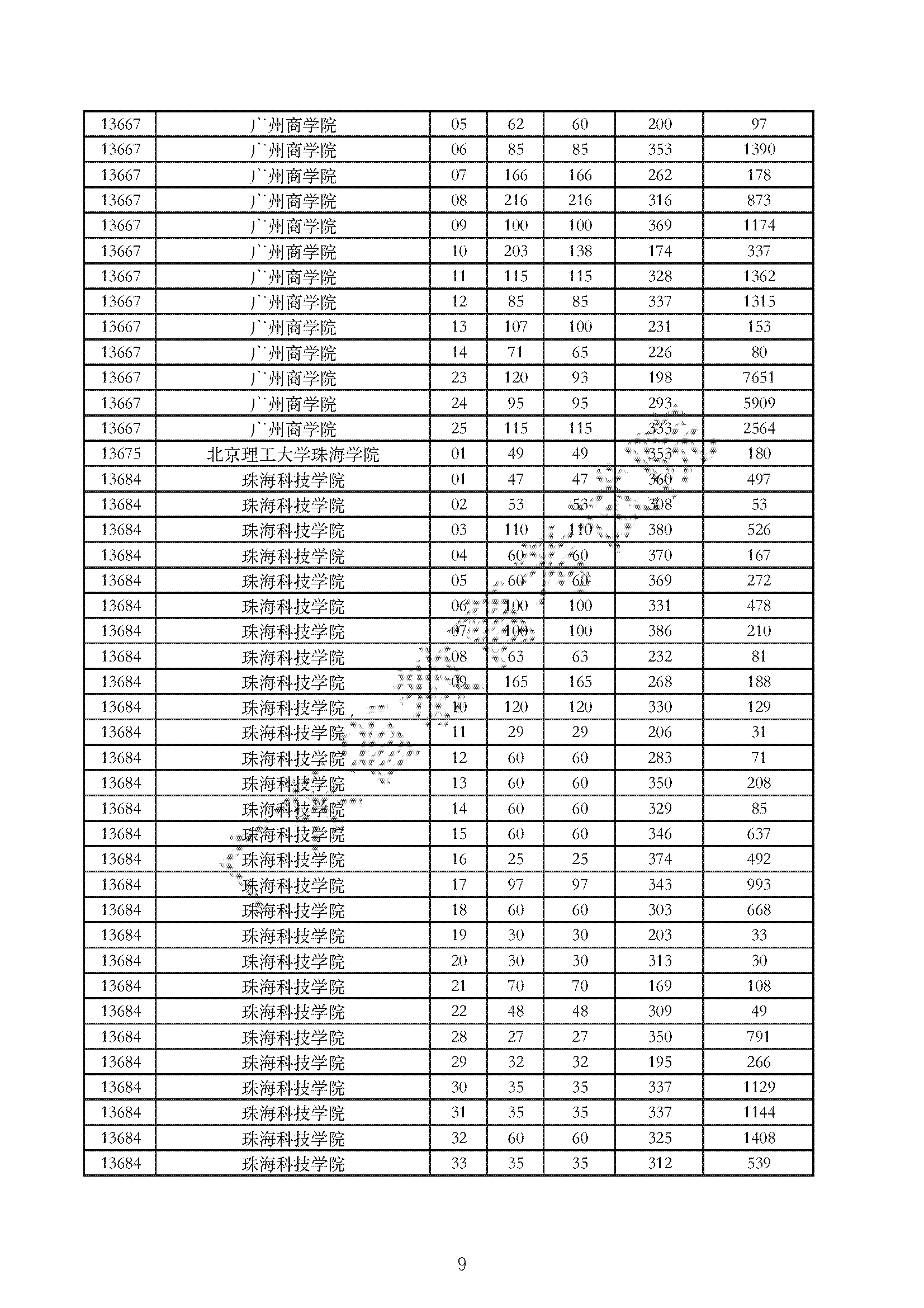
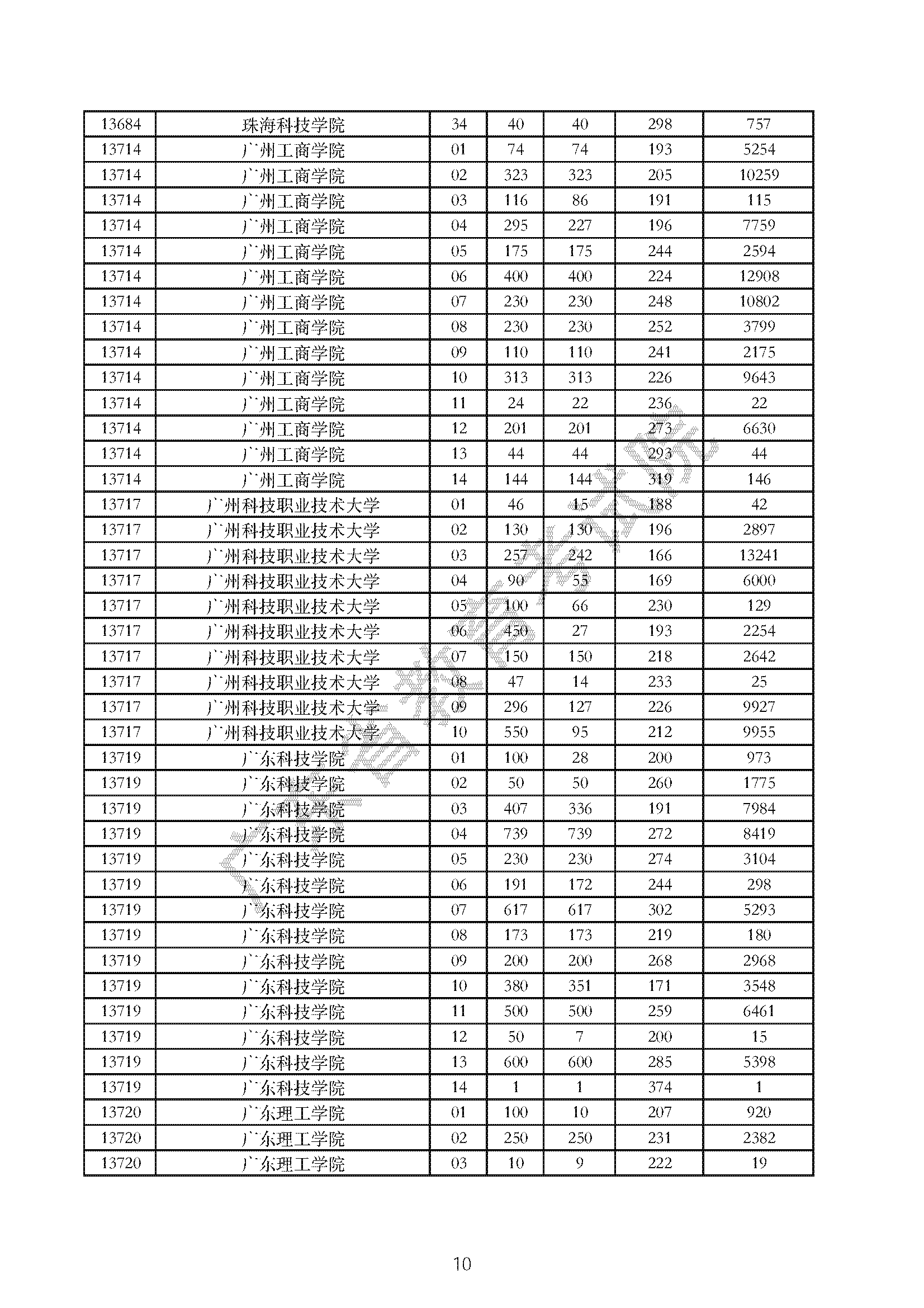
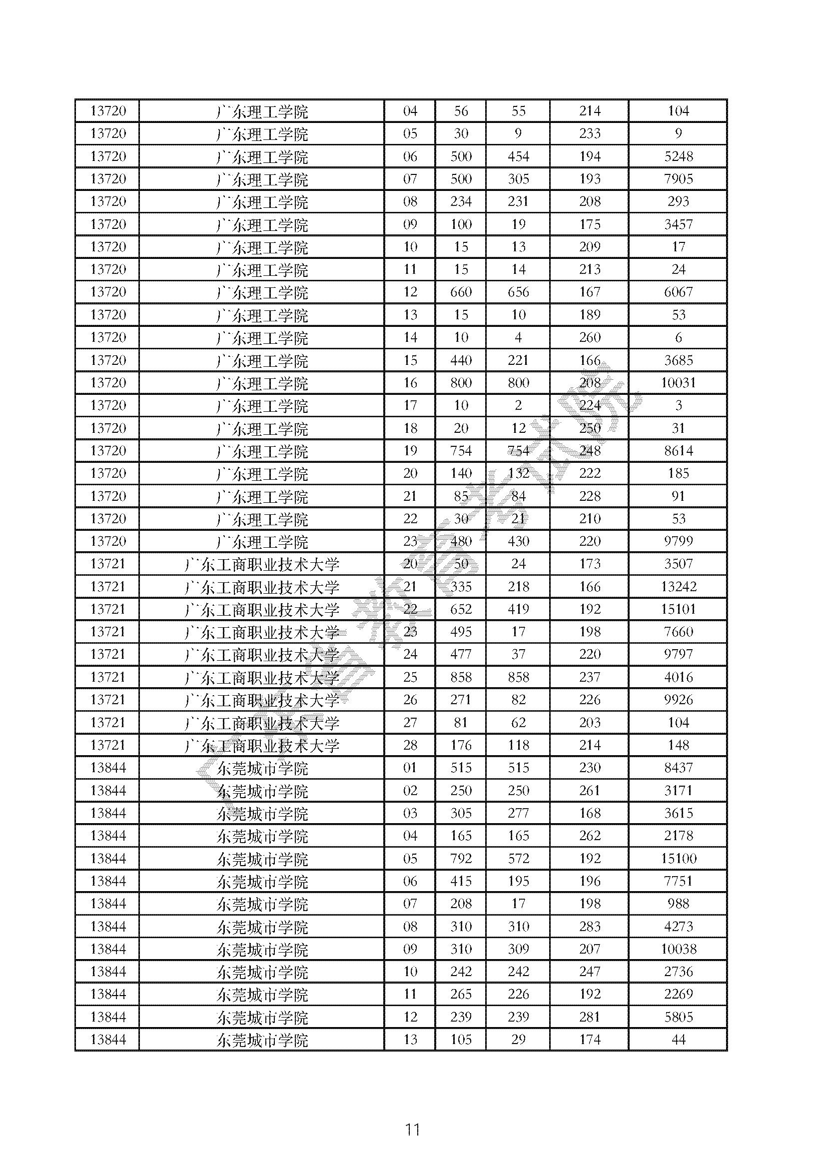
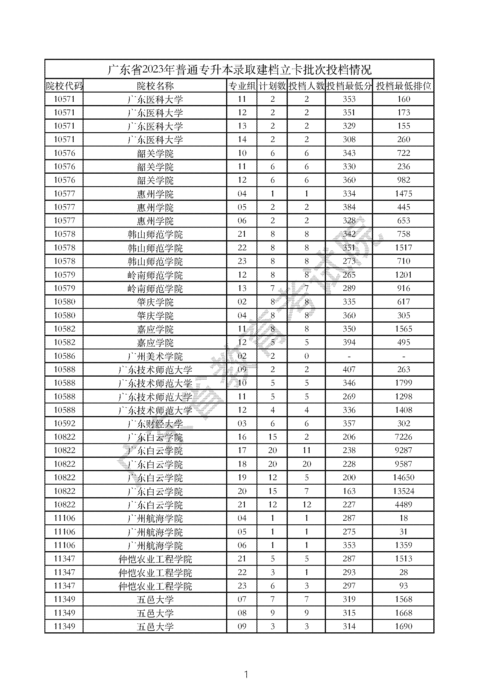
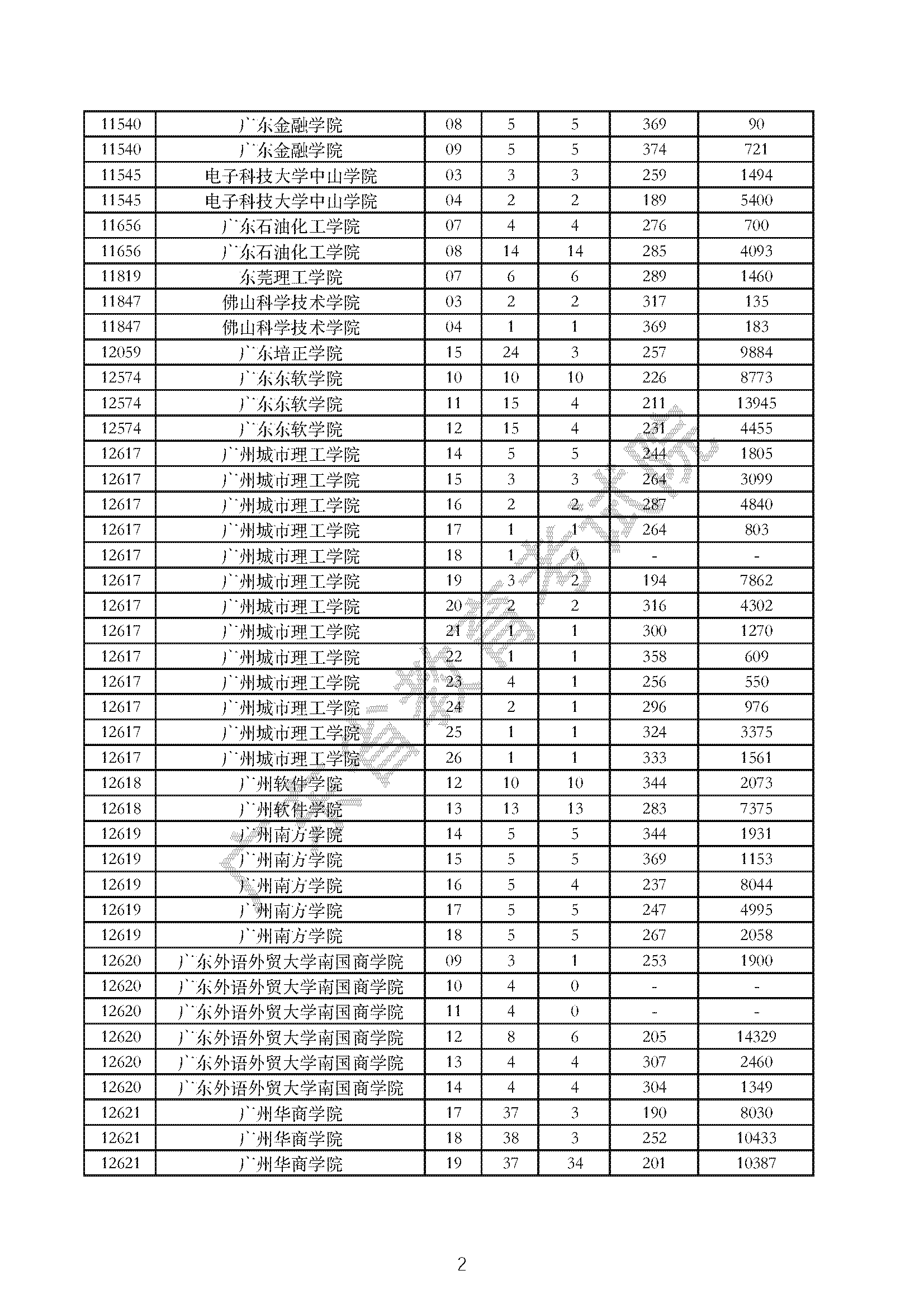
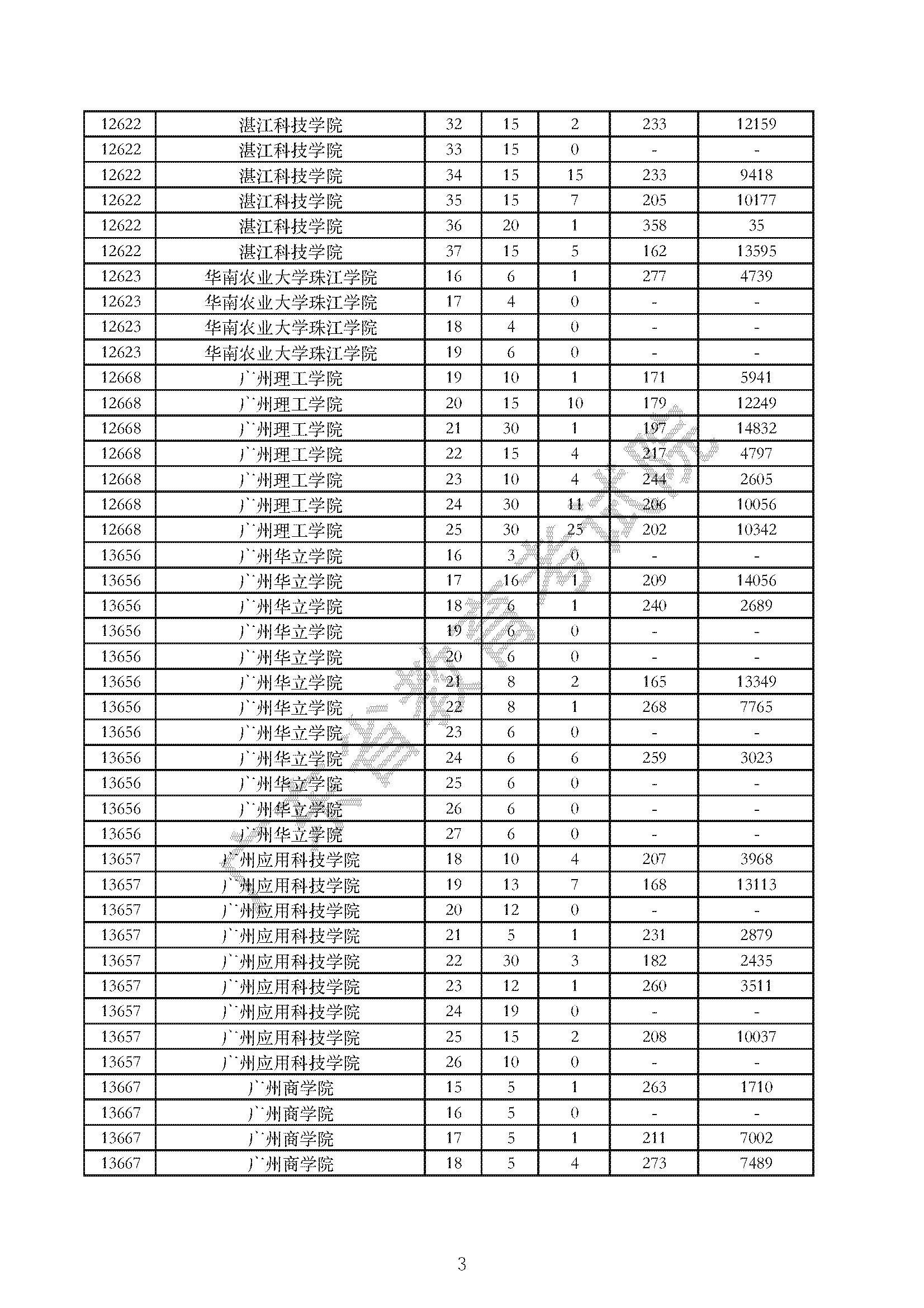
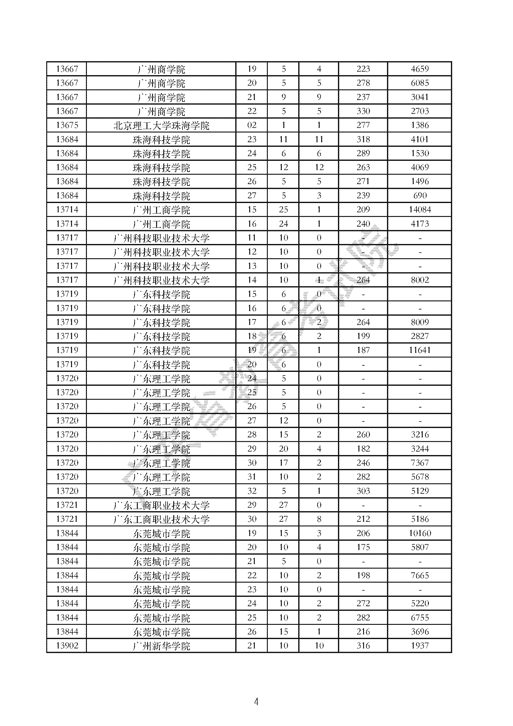
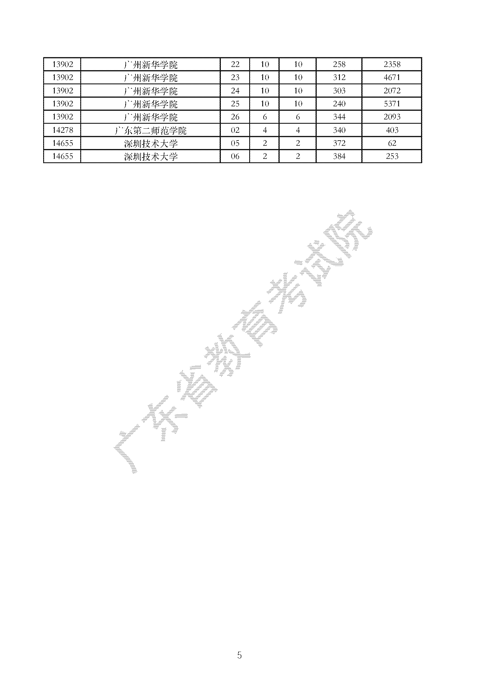
5月19日,我省2023年普通专升本招生录取工作正式开始。截止目前,已完成各类别、各批次录取工作,其中,三二分段转段考核共录取6412人、退役大学生士兵共录取3348人;普通专升本提前批共录取131人,普通批共录取75805人,建档立卡批共录取682人,相关投档情况请查看附件。考生可登录“广东省2023年普通高校专升本报名系统”(网址:http://www.eeagd.edu.cn/ptzsbks)查询录取结果。
由于普通专升本个别院校专业组尚存在缺额计划,根据普通专升本招生录取工作进度,将于5月25日开始征集志愿。请拟参加征集志愿的考生密切关注广东省教育考试院官网官微,及时获取我省2023年普通专升本征集志愿相关信息。

















