



2025年《科技与人文》
在世界互联网大会“互联网之光"博览会上,人们走进AL全息舱,化身数字人与李白“举杯邀明月":残障人生穿戴上智能仿生手就能写毛笔字、提重物:病患使用AI体感疗愈仪器,可以提升运动康复训练的舒适度和趣味性……
博览会上,防正智能摄像头“偷走”隐私、让“AI换脸”无处通形的网络安全产品也备受关注以人为本,科技“向新”,科技“向善”,美好的科技世界正向我们走来。
以上材料引发了你怎样的思考?请写一篇不少于700字的文章,选准角度,自拟题目,不限文体(诗歌除外)。不得抄袭,不得套作。
2024年《传统文化的传承与创新》
“蹲”文物直播间,看三星堆文物在半掩半埋中被挖掘.......直播让文物以静止的实物陈列转向动态的线上“展播”,拓宽文物展现的时空维度。电视节目《如果国宝会说话》采用精美的视听语言和贴近当代的趣味故事,让观众得到全新的观赏体验。舞蹈《只此青绿》借力虚拟现实技术,极大拓展了剧场演出的表现方式,让观众耳目一新,作品也产生了持续的影响力。新思维,新方式,新技术,让传统文化“活起来”,也“火起来”。
请根据上述材料写一篇700字以上的作文。自选角度,自拟题目,不限文体,诗歌除外,不得抄袭,不得套作。
2023年《网络语言》
表达赞美用YYDS,表达情绪用各种表情包,高水平竞争称为“神仙打架”......有人担心:网络语言的滥用会导致语言失范,文字“失语症”,也有人认为,网络语言鲜活生动,凸显个性;还有人认为......
以上材料引发你怎样的感悟与思考?请写一篇不少于 700 字的文章,自选角度,自拟题目,不限文体(诗歌除外),不得抄袭,不得套作。
2022年《全民刷屏》
这是一个全民刷屏的时代。刷微博、刷微信、刷淘宝、刷外卖、刷直播、刷票房、刷流量……有人说,我刷的是快捷生活;有人说,我刷的是存在感;有人说,我刷的是日新月异。
以上材料引发你怎样的感悟与思考?请写一篇700字以上的文章。自选角度,立意自定,题目自拟,文体不限(诗歌除外)。不得抄袭,不得套作。
2021年《英雄的时代价值》
在"英雄之辩”主题班会上,小明发言说:“民族危难时刻抛头颅洒热血的才是英雄,和平年代已经不再有英雄,也不需要英雄了。”小明的发言引起大家的争论。
对此你有怎样的感想和思考?请写一篇不少于700字的文章自选角度,自拟题目,不限文体(诗歌除外)。不得抄袭,不得套作。
另外,《咬文嚼字》编辑部近期公布了“2025年十大流行语”,这些热点话题或许今年的学考作文会考哦,可以关注一下。

一、韧性:困境中生长的精神脊梁
含义与出处:“韧性”在2025年被赋予更广泛的社会意义,指个人、群体或社会在遭遇挫折时展现出的恢复力与持续生长能力。
作文素材:南方洪涝灾害中,某县城餐饮店主自发组成互助队,为救援人员免费供餐,灾后联合申请贷款复业,用行动诠释了“群体韧性”。
适用话题:挫折与成长、逆境中的力量、个人与集体的抗压能力。
二、具身智能:人工智能的“实体觉醒”
含义与出处:具身智能指智能体通过物理实体与环境交互,实现感知、认知、决策和行动一体化的智能形态,打破了传统人工智能的“离身性”局限。
作文素材:北京某康复医院引入具身智能护理机器人,为偏瘫患者提供个性化康复训练,康复效率提升30%。
适用话题:科技的创新与突破、人工智能的人文温度、科技与生活的融合。
三、苏超:地域活力的幽默表达
含义与出处:“苏超”特指江苏省城市足球联赛,因比赛中城市间的硬核对抗与全民造梗狂欢而得名,成为展现江苏地域活力的符号。
作文素材:“苏超”联赛中,南通队球迷将教育优势与体育精神结合,喊出幽默口号;常州队失利后,文旅部门发起“为常州补笔画”挑战,带动城市热度。
适用话题:地域文化的传承与创新、竞争中的包容与活力。
四、赛博对账:网络时代的责任坚守
含义与出处:赛博对账指在网络环境中对言行、承诺与实际行动进行核查与监督,体现网络空间的责任追溯与诚信坚守。
作文素材:某主播承诺将助农直播销售额的10%用于帮扶农户,网友自发组成“赛博对账小组”,确保善款精准到位。
适用话题:网络诚信与责任、监督的力量、信息时代的信任构建。
五、数字游民:新型生活方式的探索
含义与出处:数字游民指在全球范围内灵活办公、自由生活的群体,因远程办公技术的成熟而成为青年热议话题。
作文素材:浙江乌镇成立“数字游民社区”,聚集各类人才,共享办公空间,实现个人价值与地域发展的双赢。
适用话题:职业选择与人生价值、自由与责任的平衡、科技与生活方式的变革。
六、谷子:青春热爱的情感载体
含义与出处:“谷子”源于英文“goods”的谐音,特指亚文化作品的衍生周边产品,如徽章、手办等,成为年轻群体情感投射与文化认同的载体。
作文素材:高中生小语通过收藏的“谷子”获得写作灵感;某高校动漫社团举办“谷子公益展”,将义卖款项用于资助乡村儿童。
适用话题:青春的热爱与坚守、亚文化的正向价值、情感表达的多元方式。
七、预制xx:生活变革的理性思考
含义与出处:“预制xx”指经过预加工的成品或半成品食材,因预制菜进入校园食堂等引发的社会讨论而流行。
作文素材:某中学引入预制菜后,家长发起“透明化倡议”,学校公开生产流程并设立“现炒窗口”,实现效率与民意的平衡。
适用话题:传统与创新的平衡、食品安全与信任、生活效率与品质。
八、活人感:真实人性的温暖回归
含义与出处:“活人感”指人在社交、生活中展现出的真实、鲜活特质,与“精致利己”“虚假人设”相对,强调接纳不完美、传递真实情感。
作文素材:某教育博主因分享教学中的困惑与反思而收获百万粉丝,学生留言称“原来老师也会犯错”。
适用话题:真实与虚伪、接纳不完美、人际关系中的温暖。
九、xx基础,xx不基础:辩证思维的生动表达
含义与出处:一种对仗式的网络表达,前半部分指看似基础的事物,后半部分强调其深层价值与复杂性。
作文素材:“沟通基础,真诚沟通不基础”,某企业团队通过调整沟通方式提升效率。
适用话题:辩证看待平凡与伟大、细节中的价值、基础与进阶的关系。
十、从从容容、游刃有余,匆匆忙忙、连滚带爬:人生状态的多元思考
含义与出处:一组对比鲜明的对偶短语,描绘了两种截然不同的人生状态,传递出对多元人生的包容与思考。
作文素材:故宫文物修复师周师傅用“从容”态度让文物重焕光彩;外卖骑手小吴在“匆忙”中学习编程,为未来积累。
适用话题:人生的选择与姿态、奋斗与松弛的平衡、包容多元的人生价值。








仔细审题,确定要点
在开始写作这前一定要认真阅读题目中的所有信息(中文提示、图示、注意事项等)把需要表达的全部信息要点列成提纲,列要点时。
根据要点,先词组句
高分文章往往有一些高级的词汇用法。
比如“他强调小心驾驶的重要”这个句子 He emphasized the importance of careful driving.其中“强调”这个词如果你用 attach much importance to 效果更佳。
巧用连接词,做到内容连贯&结构紧凑
(1)表示承接、递进用语,besides(并且)、what s more(并且),moreover(而且),firstly,secondly,finally(最后),from now on (从此),afterwards I after that(后来),to make things worse/ what s worse(使事情更为糟糕的是),the worst thing of all(最糟糕的是)。
(2)表示转折关系用语。however,otherwise,though,despite,in spite of…(尽管)on the other hand(另一方面),as(尽管),all the same(尽管如此)。
(3)表示因果关系用语。because/because of……for(因为),owing to (由于),thanks to (由于),due to (由于),so that (结果)。
(4)归纳总结用语。to summarize(总而言之),in short/in a word(简而言之),on the whole(从总体看),generally speaking(一般说来),in my view(我的观点),in conclusion(总之)。
句式丰富,避免单词
好的英语作文,不仅要求学生运用基本句型,也要有意识地使用复杂句型,这是文章的亮点。
适当运用非谓语结构(分词短语、动名词或不定式短语),各种从句(定语从句、名词性从句、状语从句)是有效什么途径。
比如:
①when he arrived in Beijing,he gave me an e-mail.(时间状语从句。一般)
→On arriving in Beijing,he gave me an e-mail.
Having arrived in Beijing.he gave me an e-mail.(使用了动名词,分别作状语。)
Hardly had he arrived in Beijing when he gave me an e-mail.(改变时态,句子结构。)
②I won t believe what he says.(一般)
→No matter what he says,I won t believe.(让步状从句)。
认真答写,卷面整洁
英语如果书写较差,会给阅卷老师留下不好的印象。因此,考生在答卷时,一定要认真、清楚规范地书写,以保卷面整洁。
最后,再来看看语数英学考高分模板以及解题思路,明天一定能用上!
在学考中,作文的分值为60分,占比卷面分的五分之三。
纵观近几年的学考作文题,主要是新材料作文,它往往由材料和要求两部分构成。其特色是只给材料,不给题目或话题。材料提供的往往是现实生活中鲜活的时事新闻,热点事件或者能引起不同见解的事情,让考生从材料中获得不同的思考和感想,选择一角度去分析表达自已的看法。
对于作文这一块,只要同学们的作文符合以下原则,大部分同学最起码是能拿到40分的。
作文写作原则:
✅审题要准确,不能偏题;
✅不带外伤——缺题、字数不够、错别字、语言不通顺;
✅不带内伤——观点不可偏激和错误;内容重心把握不当;观点过于晦涩和情感混乱等。
✅骨架要稳——结构必须要完整,清晰。
附10个高频主题考场作文开头/结尾/分论点:










在学考中,语言文字运用的题量为10题,分值为30分,要强调的是,这30分全是选择题,因此,在这一版块里面,只要同学们日常注重积累以及训练,起码都可以拿到21分及以上。在这一版块里面,学考所考查的内容都是相对简单的。
在学考中,古诗文默写的分值为6分,且题型是简单的背诵性默写。也就是说,对于这道题,你不用理解每句话的意思、情感、所运用的手法,只需平日勤奋地背诵指定的古诗文篇目,并特别注意解决易错字的问题,便能轻松将这6分收入囊中。
【字形】常见的4大设题陷阱:
字形相近
例如:如火如荼√-如火如茶×、√蛰居-蜇居×
字音相同/相近
例如:法制-法治、废话-费话、富有-赋有、供品-贡品
字音相近/相同且字形相近
例如:国籍√-国藉×、提纲√-题纲×、一张一弛√-心驰神往×
因语境不同致误
例如:化妆与化装,这两个词分别适合两种不同的语境。
【字音】考查重点是易读错字、多音字、形近字、形声字。
注意:多音字在具体语境中口语和书面语的不同读音,如“嚼”-与其他字组词并用于书面语时读jué,如咀嚼、过屠门而大嚼;单用时读jiáo。
【成语熟语】该考点的命题重点在望文生义、用错对象、轻重失当、褒贬失当、重复或矛盾、不明典故等6个方面。要选出正确的成语熟语,前提还是要靠我们平日积累。
数学由于新课标教材的改革,数列、直线、圆已经不在必修范围内了,因此没有考查,但多了复数和逻辑用语。

数学学考中,最易得分的题型无疑是选择题。
因为选择题给出了两类信息,一是题面信息,二是选项信息。选择题的分值是6分,只要理解了题面信息,并结合选项信息,就能快速地拿到6分。
对于基础稍弱的同学,当正向解题遇到困难时,不妨转换思路,从选项入手。通过反向代入法或特殊值法,将选项逐一尝试,可以有效提高解题效率,增加选对答案的机会。
✅集合:主要考查集合及其基本运算,以选择题为主。
✅复数:主要考查简单的运算,以选择题为主。
✅基本不等式:考查最基础的公式,容易得分!
✅函数的定义域、单调性:转化为基本函数的定义域、单调性,以选择题为主。
✅平面向量坐标运算:掌握坐标运算方法,选择题、填空题是常考题型。
✅三角函数概念:确定角的象限或求值,选择、填空是常考题型。
从历年解答题的考点分布来看, 立体几何和解三角可以说是高频考点了!
解三角1.正弦定理

具体使用:边化角或者角化边,边化角考的最多。
举例如下:题干给出asinB-bcosA=0,其他不用多想,直接把边化为角,就是将a换为sinA,b换为sinB,就变为sinA·sinB-sinB·cosA=0,然后sinB都有,可以同除去sinB,就剩下sinA-cosA=0,即为tanA=1,则A=45°
解三角2.余弦定理

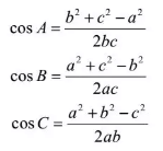
余弦定理公式记忆,强烈推荐这一种形式,左边全为角,右边全为边的形式,好记好用。
余弦定理大题里一定会用到,假设第一问求出A角,第二问,必用到A角的余弦定理公式,不管三七二十一,先把cosA=(b^2+c^2-a^2)/2bc列出来,然后把数据带进去,就能计算出一些都用的信息。
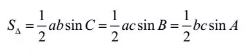
解三角3.面积考查

一个题里面不可能三个面积公式都能使用上,所以不要多写,具体使用哪一个,就看题干里已经知道哪个角的信息,假设你现在掌握了A角信息,果断套用S=1/2b*c*sinA,代入数据,就能得到有用信息!
立体几何
1. 证明平行:只看线面平行,面面平行考查的可能性不大。证明线面平行,只需证明一组线线平行。
2. 证明垂直:垂直分3种考查,一种是线面垂直直接考查,另一种就是线线垂直(这种题,也必须经过先证明线面垂直,得线线垂直),这两种考查都相对简单;最后一种是面面垂直(这种题难度偏高)。
3. 体积考查:核心和难点在于高的查找,这个高必须经过能够严格说明和底垂直,才能确认为高,否则不要轻易做为高!
情景交际的分值每题3分,题目分值共占15分难度较低,本质上是考查语言在实际的交际中应该如何运用。
情景交际的问题背景比较简单,考查的词汇难度不大,因此比较容易得分。近几年该题考查的交际场景有:问候、介绍、告别、打电话、祝福、感谢、求助、道歉、安慰、看病、劝告、建议、邀请、约会、就餐……
阅读理解每小题分值3分,总分共计45分,占据了卷面总分近三分之一的重要位置。
其中,细节理解题在阅读理解总分中占据了关键比例,几乎占据了一半的分值,因此成为我们攻克的重点。此外,细节理解题相对容易得分,题目难度适中,遵循“一一对应”的原则,只要准确找到对应的细节信息,即可轻松获得分数。

写作(书面表达)分值25分。春季高考的写作是基础性的应用文写作,此类写作的特点是:
目的明确;
有固定的模板,有规律可循;
难度不大,用词和语法结构不会过于复杂。
春季高考的写作题目背景信息详实具体。比如,时间,地点和节目类型等都是给出了具体的信息。因此在平时的复习备考过程中,需要多积累实用类文本的模板,包括邀请信,申请信,道歉信,感谢信,投诉信和通知等,这样我们才能更得心应手地应对考试。
英语选择题分值占比也比较大,但绝不是从四个选项中选出一个答案那么简单,这些“地雷”同学们也要小心:
★情景交际:常见4大陷阱
中式思维(即按汉语的表达方式去套英语,这是不对的);
答非所问(这种陷阱的特点是:不同选项有相同的单词,看似意思相近,实则有很大不同);
上词下用(这种陷阱的特点是:答句部分沿用了问句的重点词);
直接回绝(英语表达拒绝时,正确用语是礼貌拒绝并说明理由,切忌直接拒绝邀请或约会)。
★阅读理解:常见5大陷阱
张冠李戴:把A的观点说成是B的观点,这种设置比较隐秘。
无中生有:即选项中出现原文没有提到的信息或选项对内容进行过度引申。
文章原句干扰:选项中的内容是阅读材料的简单重复。做题时遇到与原文一致的选项时,它不会是推论也不会是正确答案哦!
常识、经验误导:选项所表达的内容,根据已有的常识、经验判断其是正确的,但文中却没有涉及,属于主观臆断的结论。
以偏概全:选项内容虽在文章中提到,但很片面或不完整,甚至与原文不符,我们要注意将其与原文对比。
★英语作文
要注意审题立意,单词书写(单复数)、固定搭配、词性变换、时态、从句引导词。