为贯彻落实《国务院关于深化考试招生制度改革的实施意见》(国发〔2014〕35号)精神,按照国家批准的《西藏自治区关于进一步调整和规范高考加分项目及分值的实施意见》(藏招委〔2022〕4号)有关规定,现公示如下。
一、公示时间
6月2日至6月14日,公示信息保留至2025年年底。经公示无异议或有异议经查实无问题的考生可以享受相应加分。
二、举报电话
自治区教育考试院举报电话0891-6650635。
如对公示名单有异议,可向报名点教育招生考试机构和自治区教育考试院反映,反映意见内容须真实且具体明确,属个人反映的需签署真实姓名、联系电话,属单位反映的需加盖公章、署上联系方式,否则不予受理。
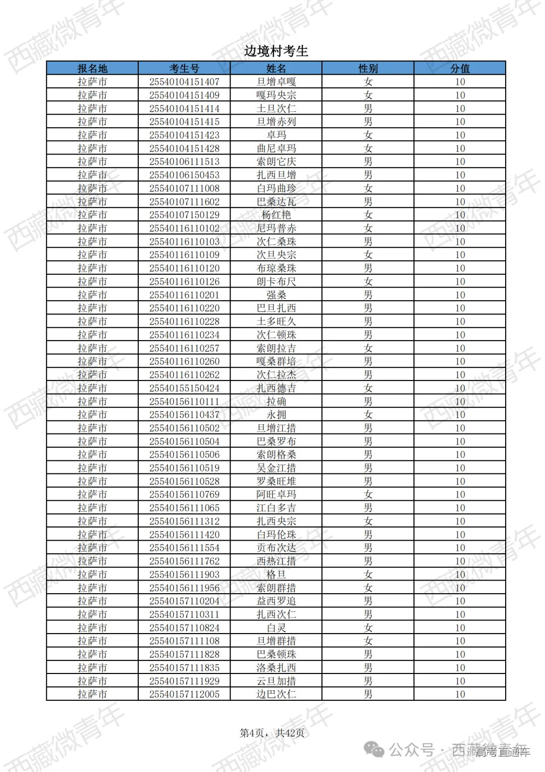
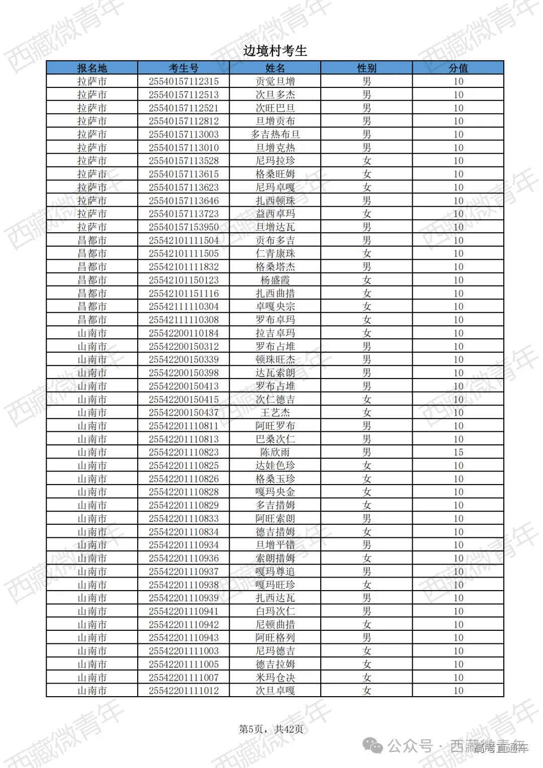
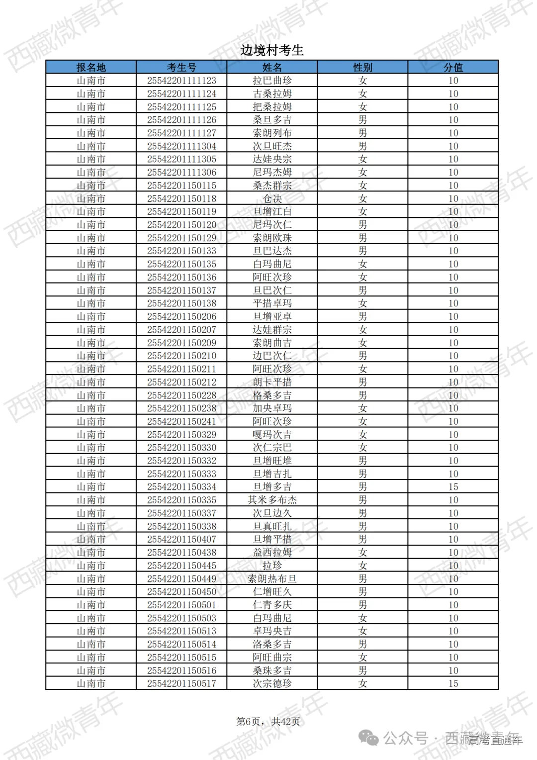
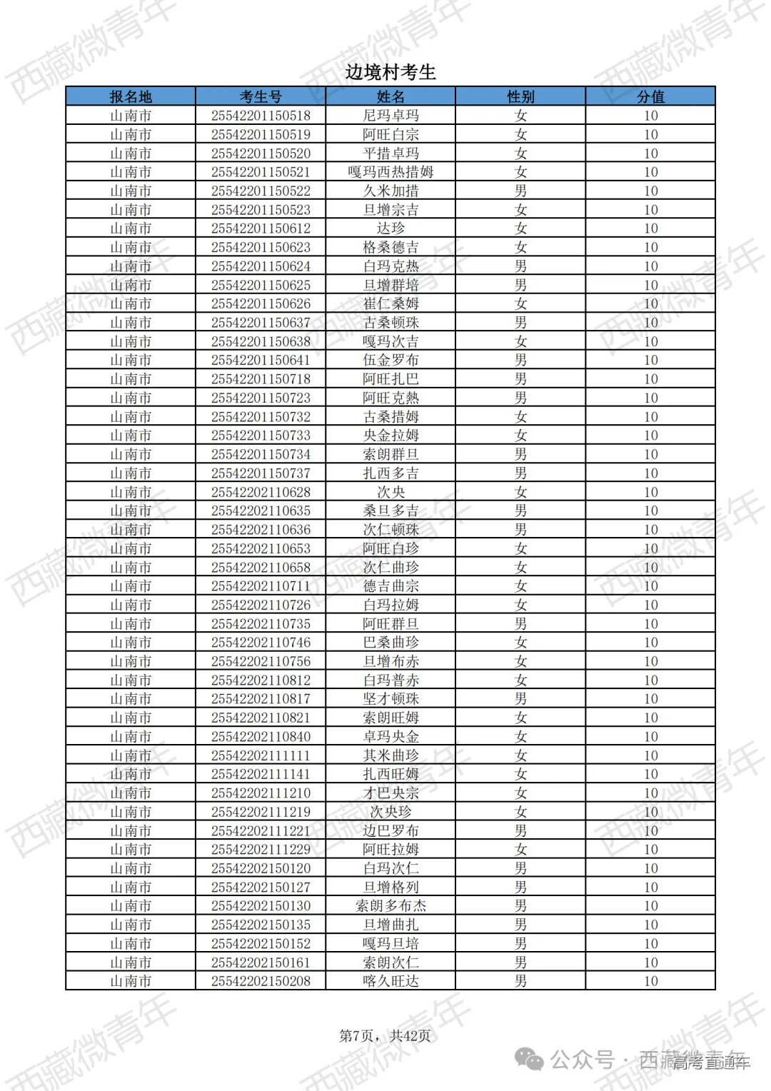
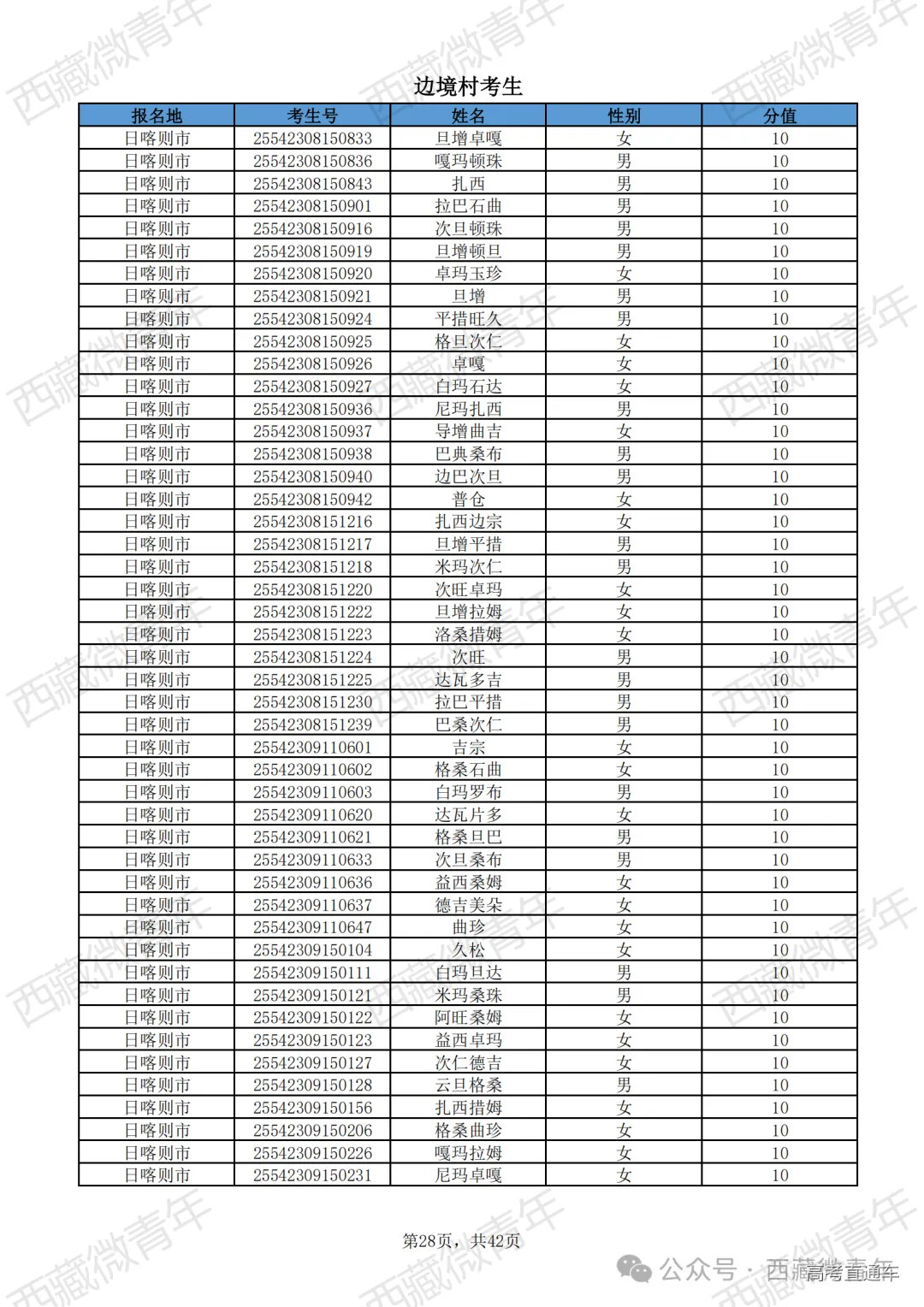
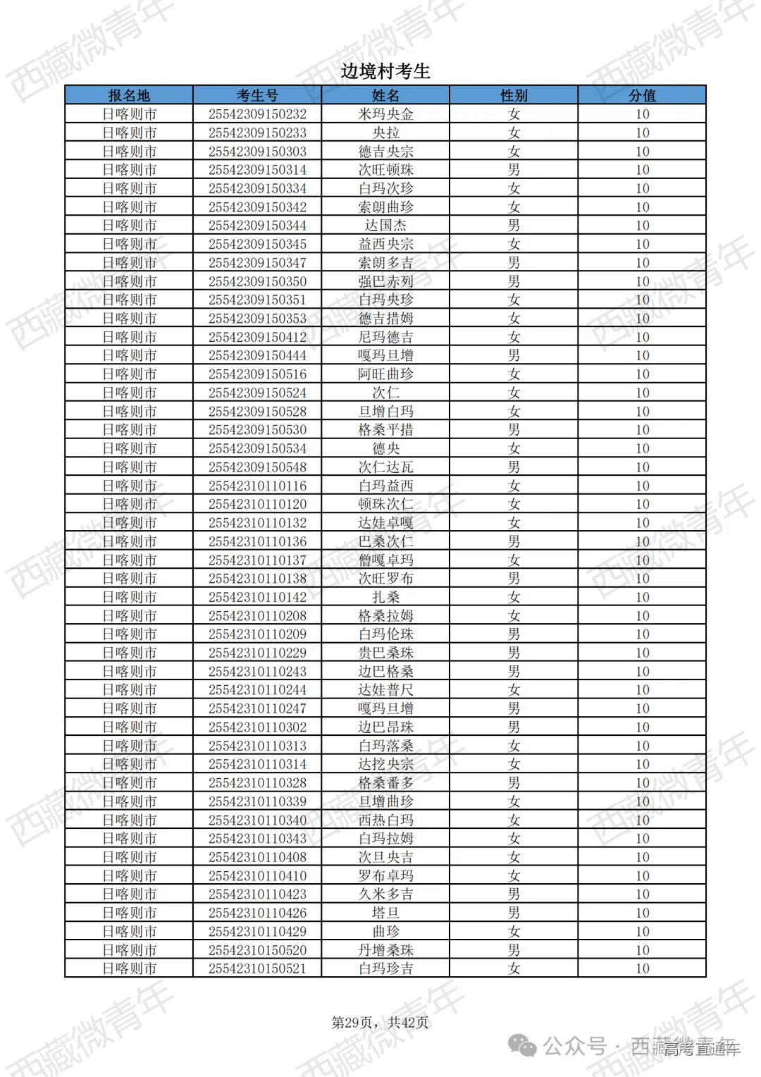
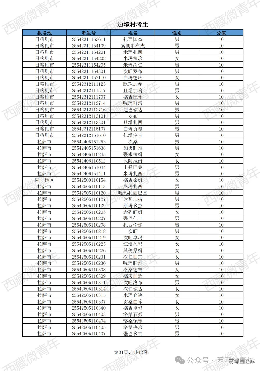
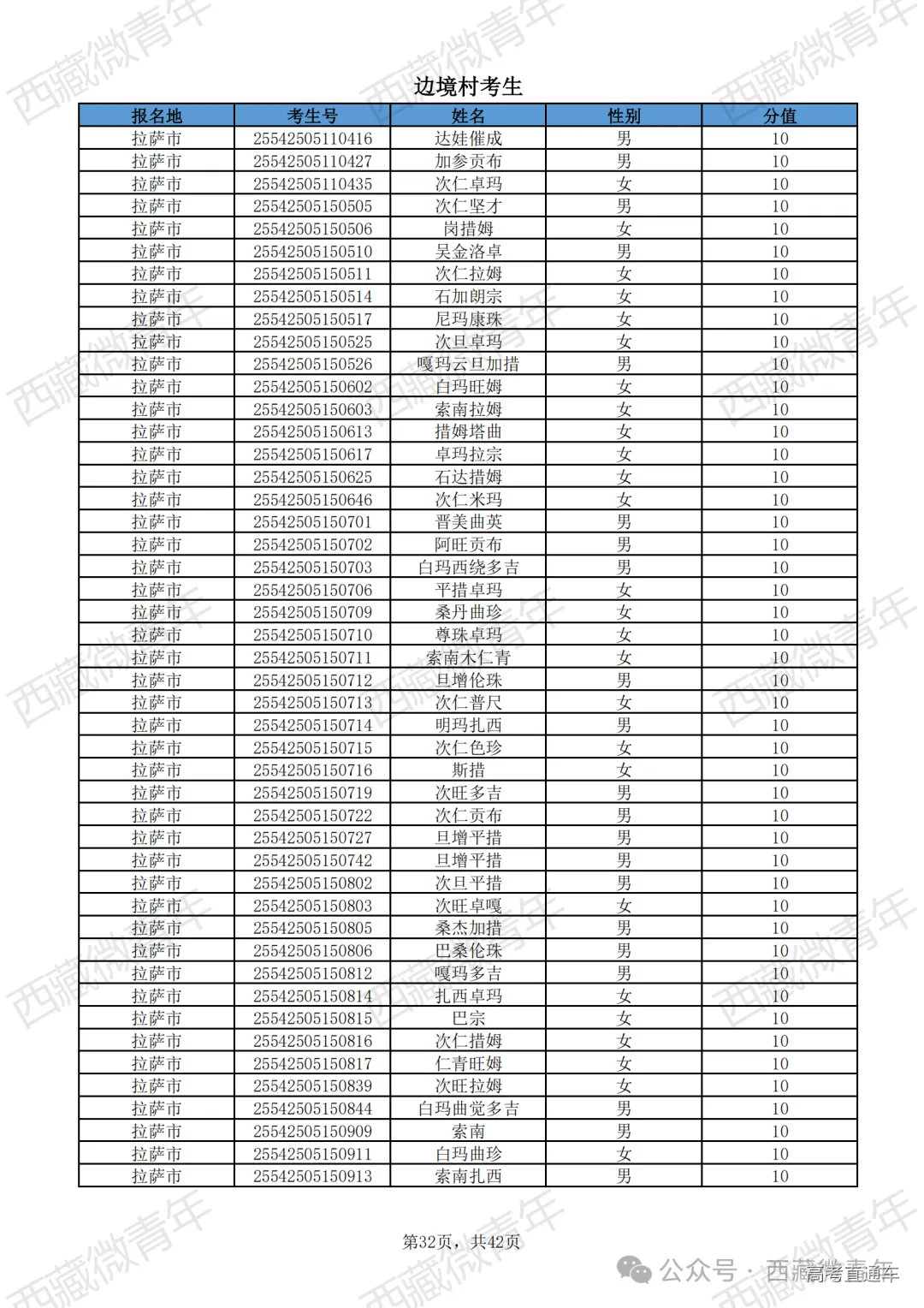
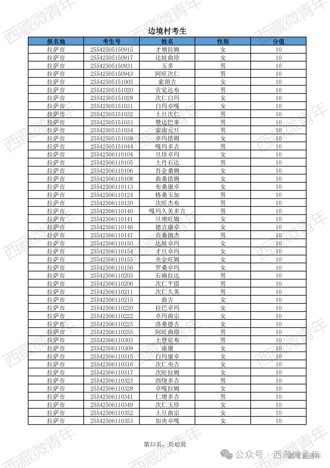
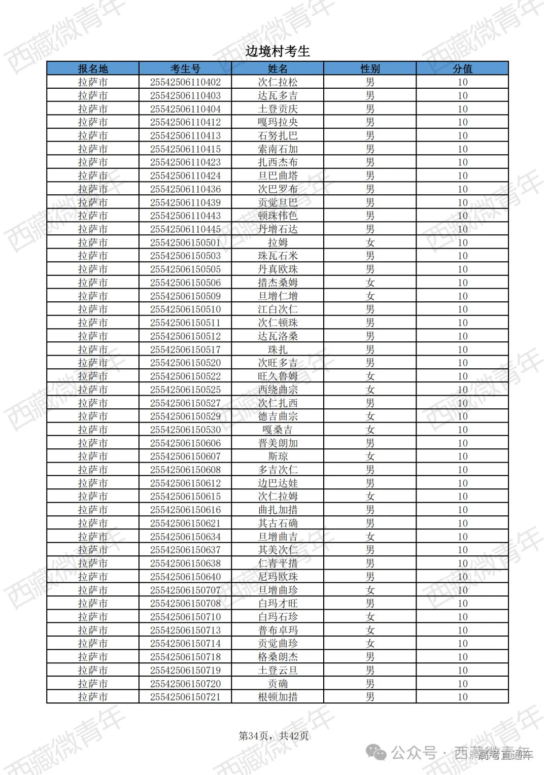
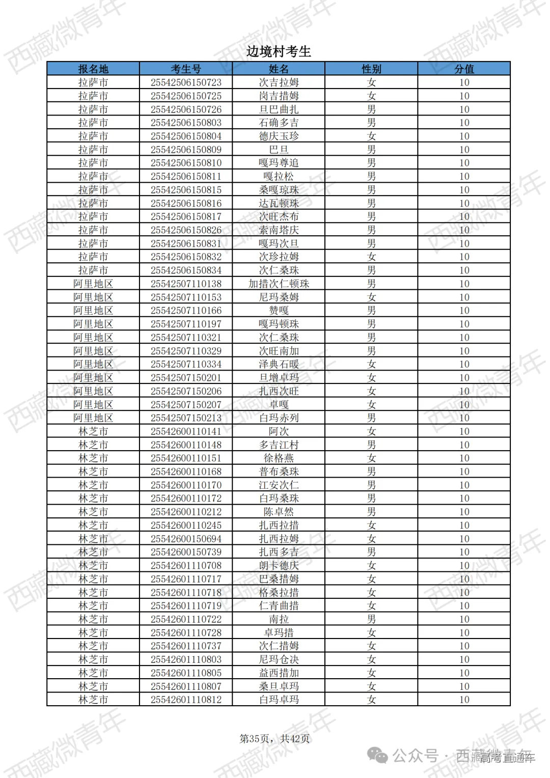
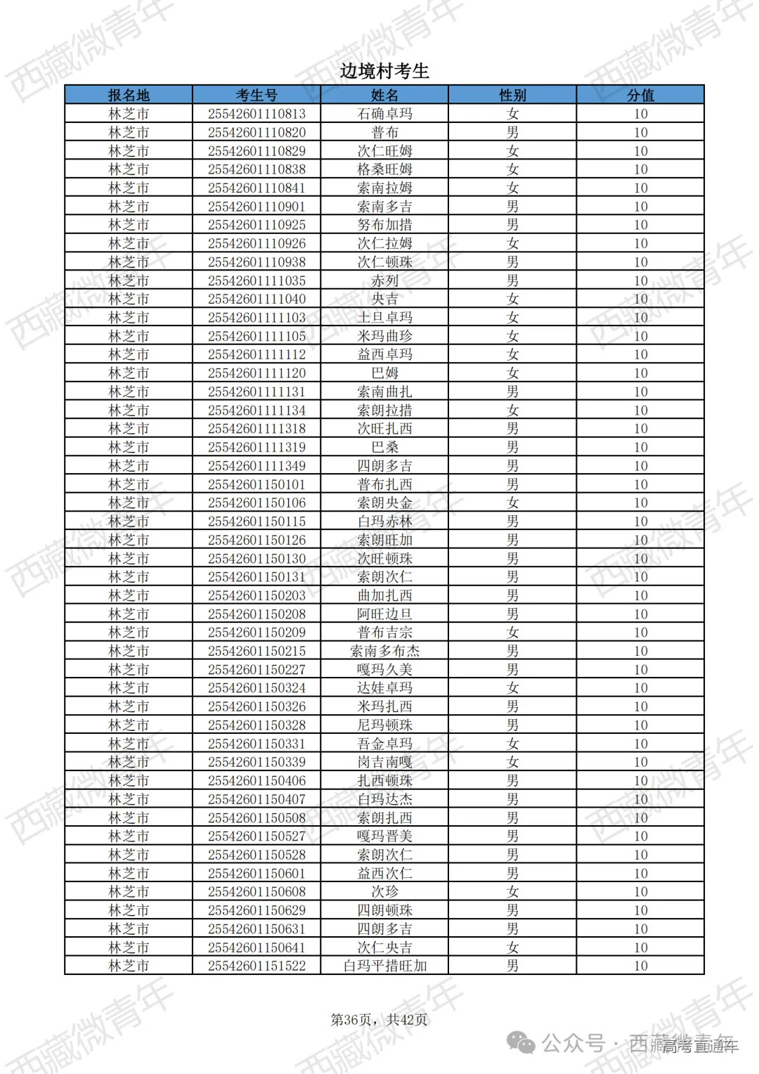
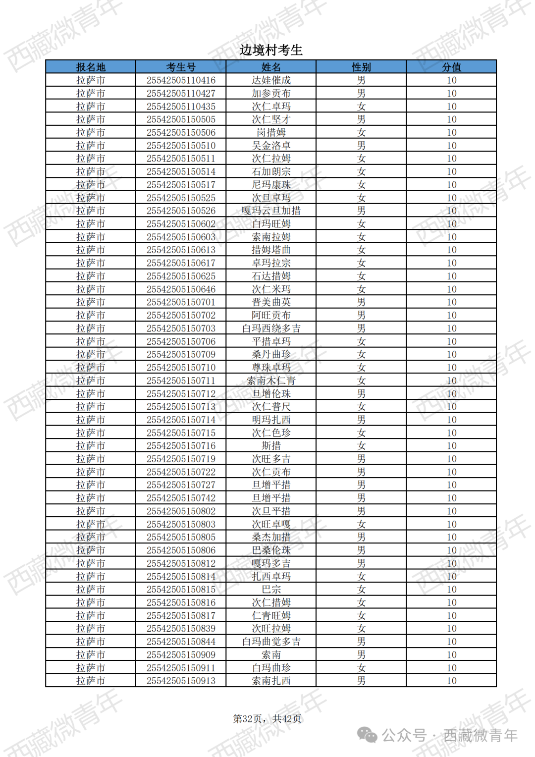
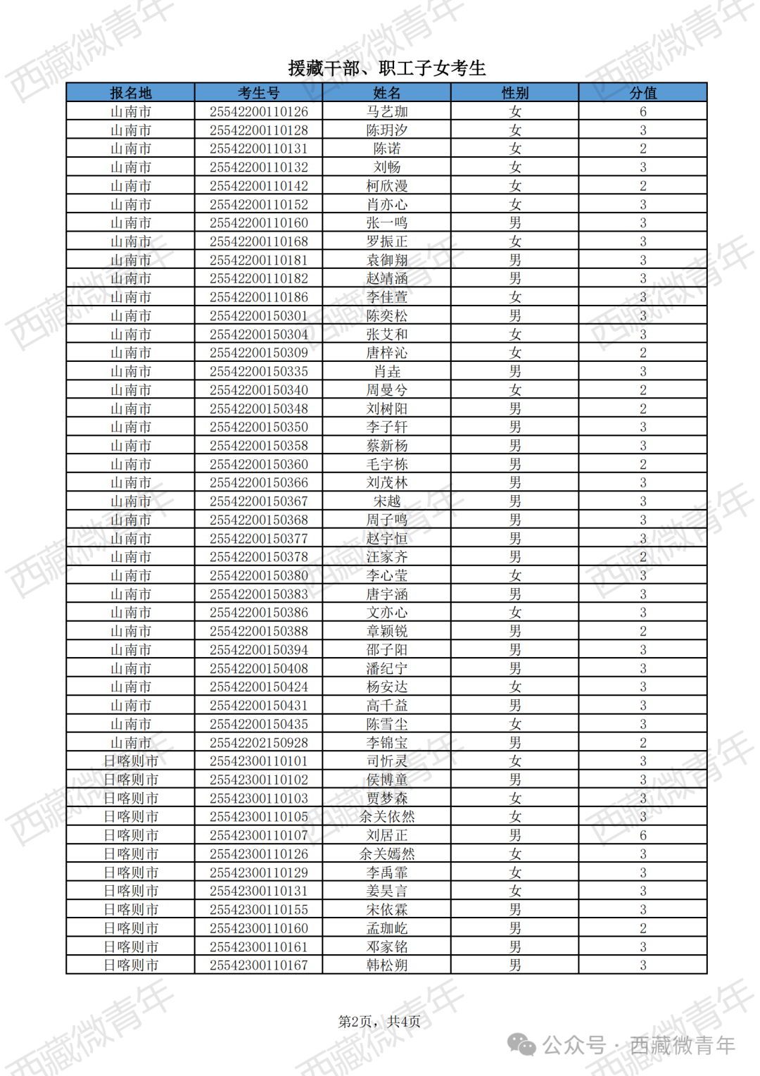
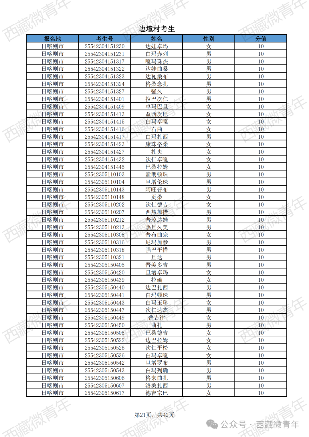
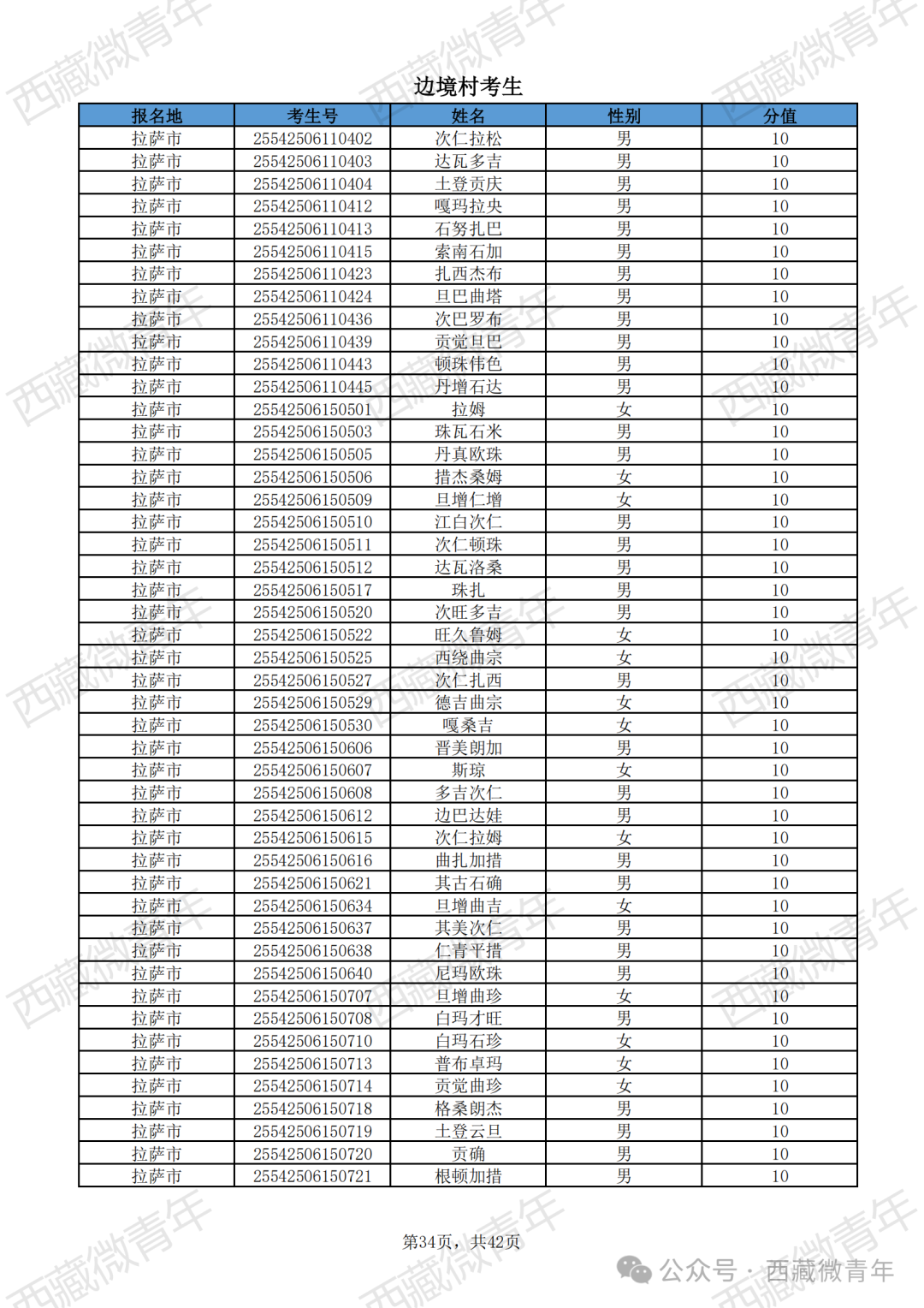
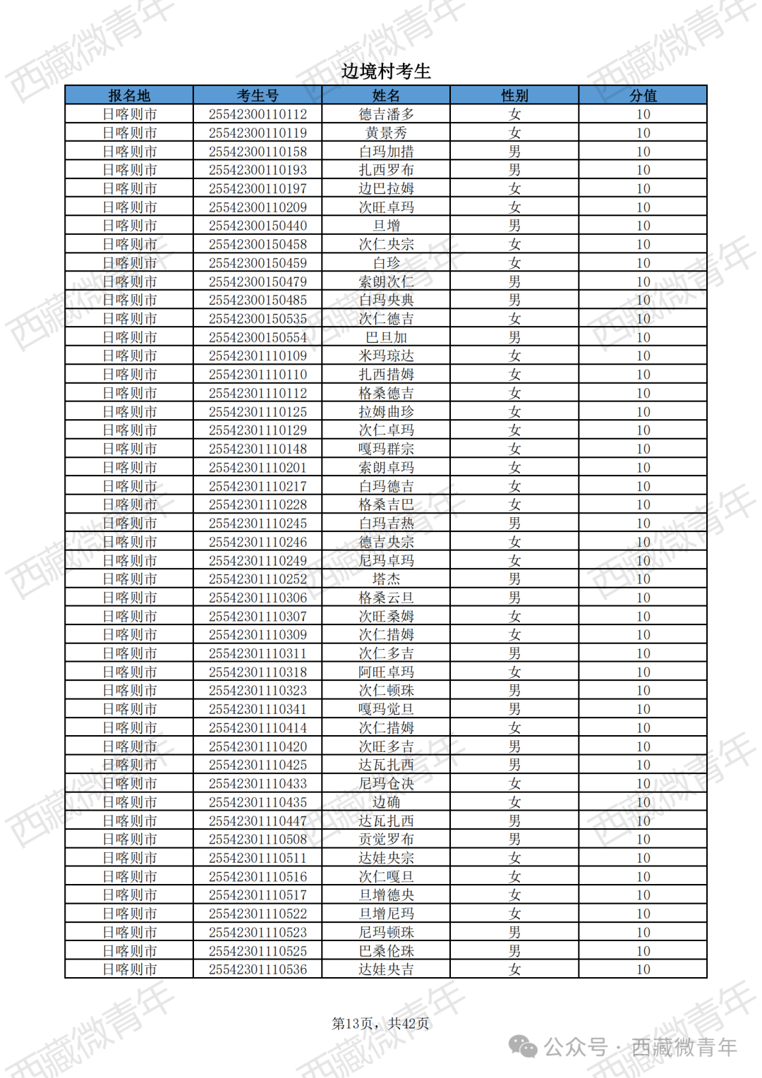
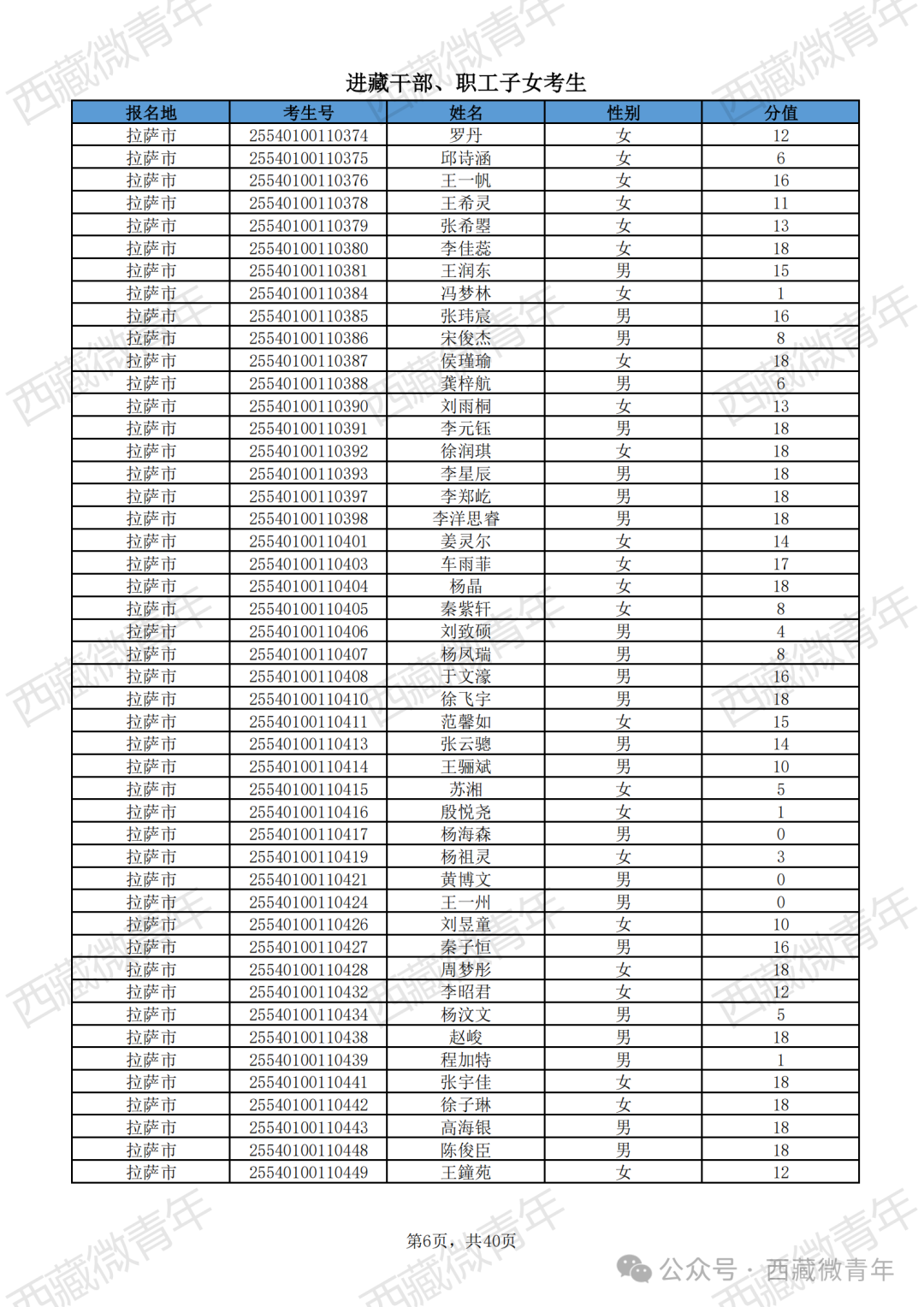
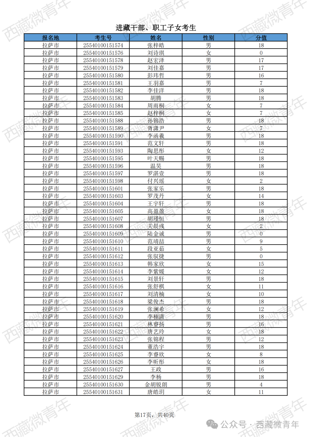
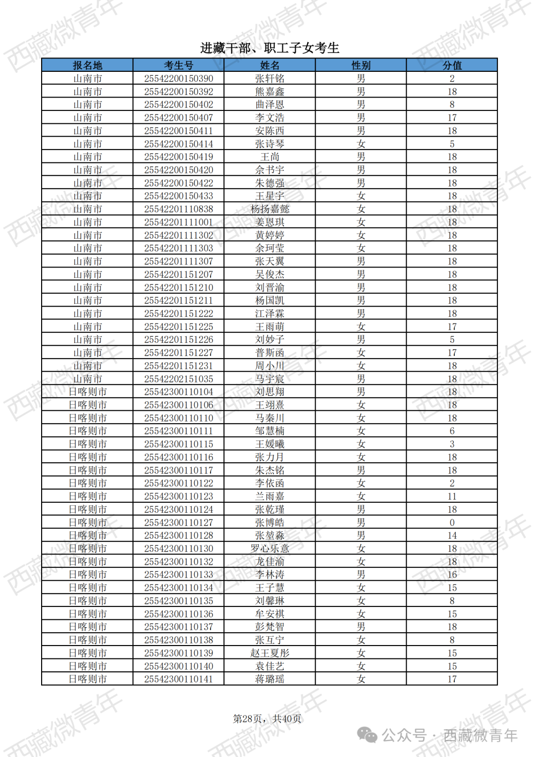
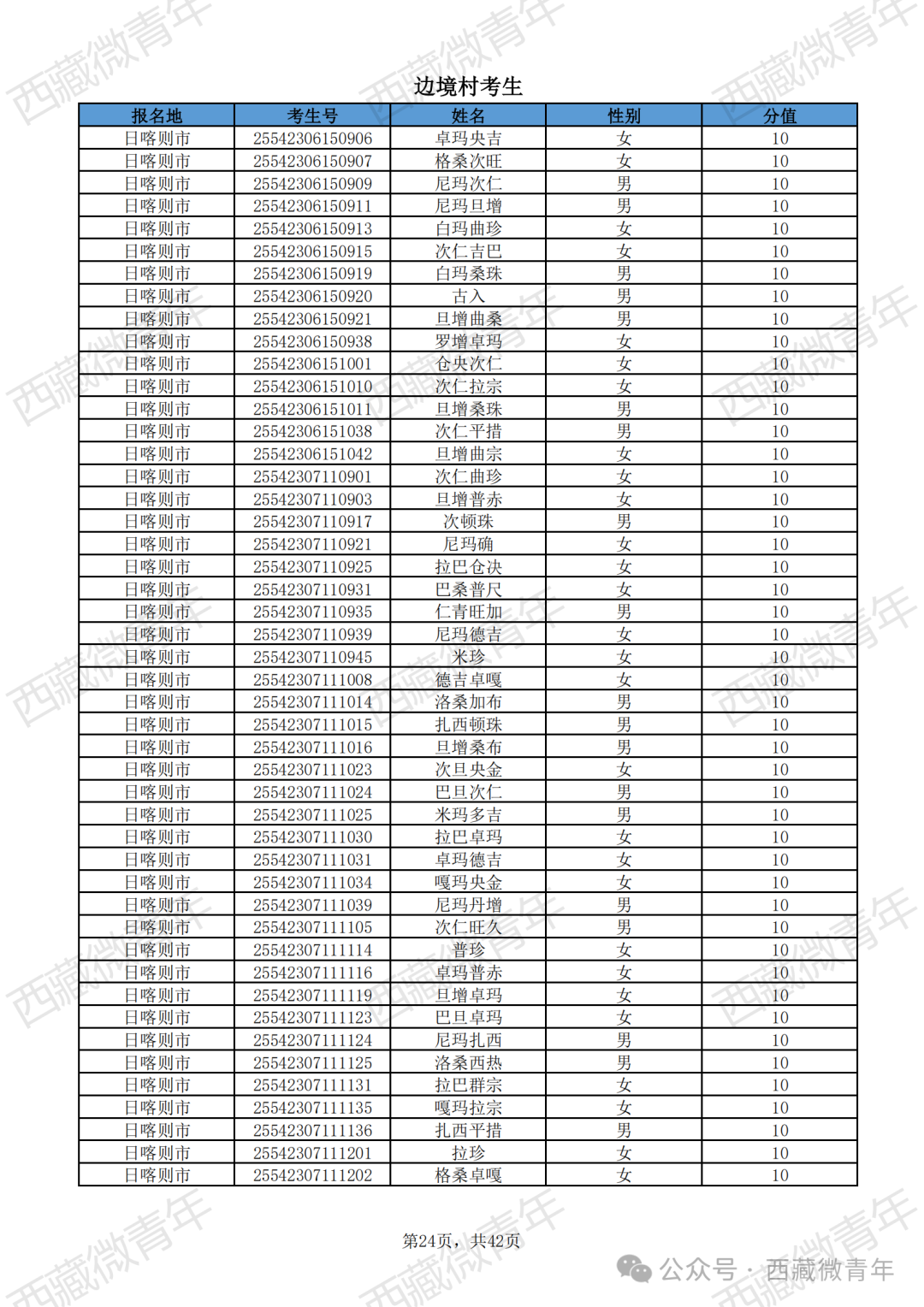
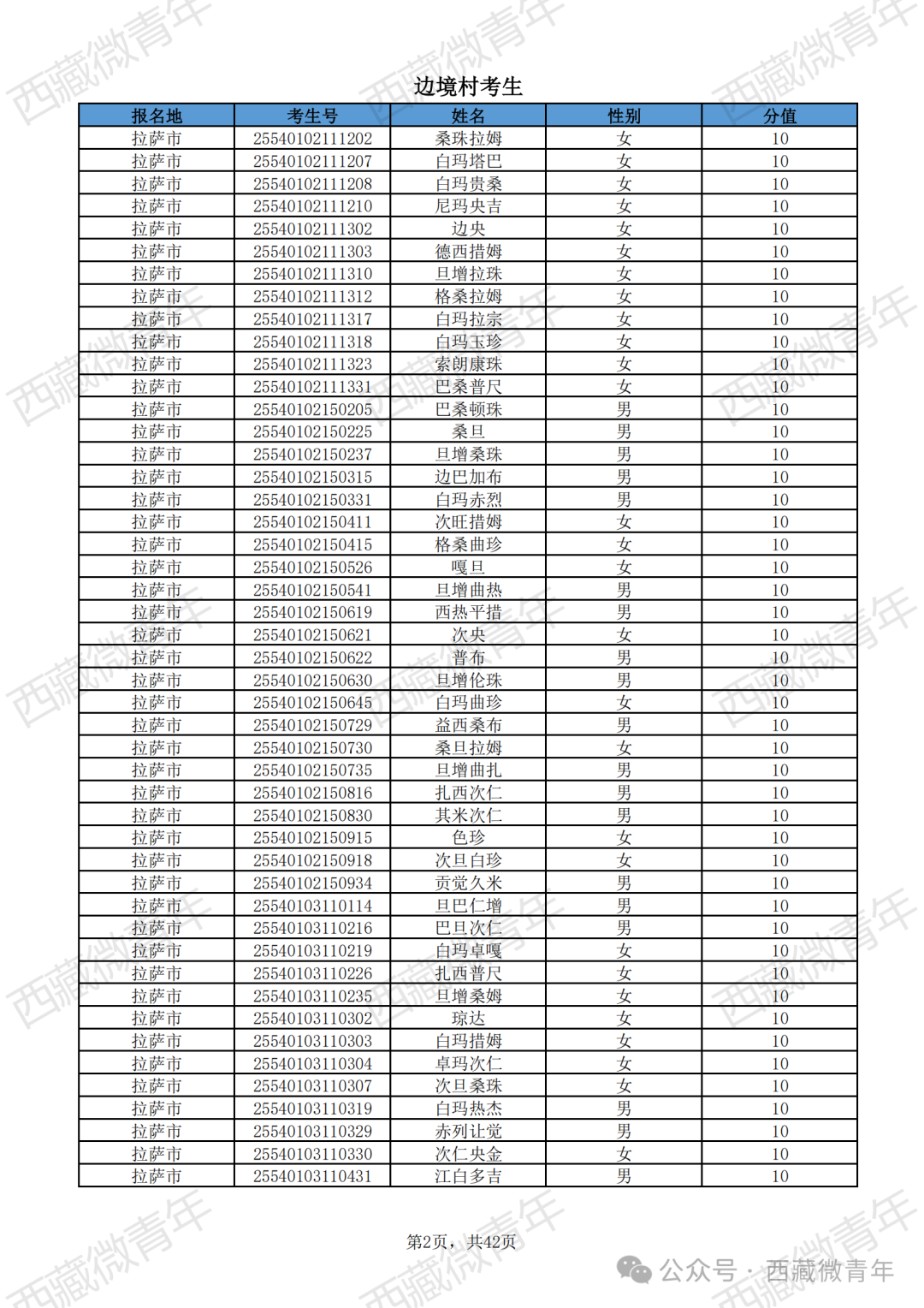
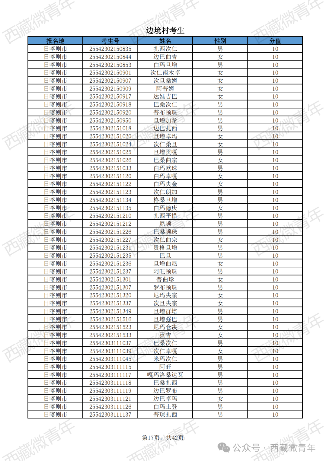
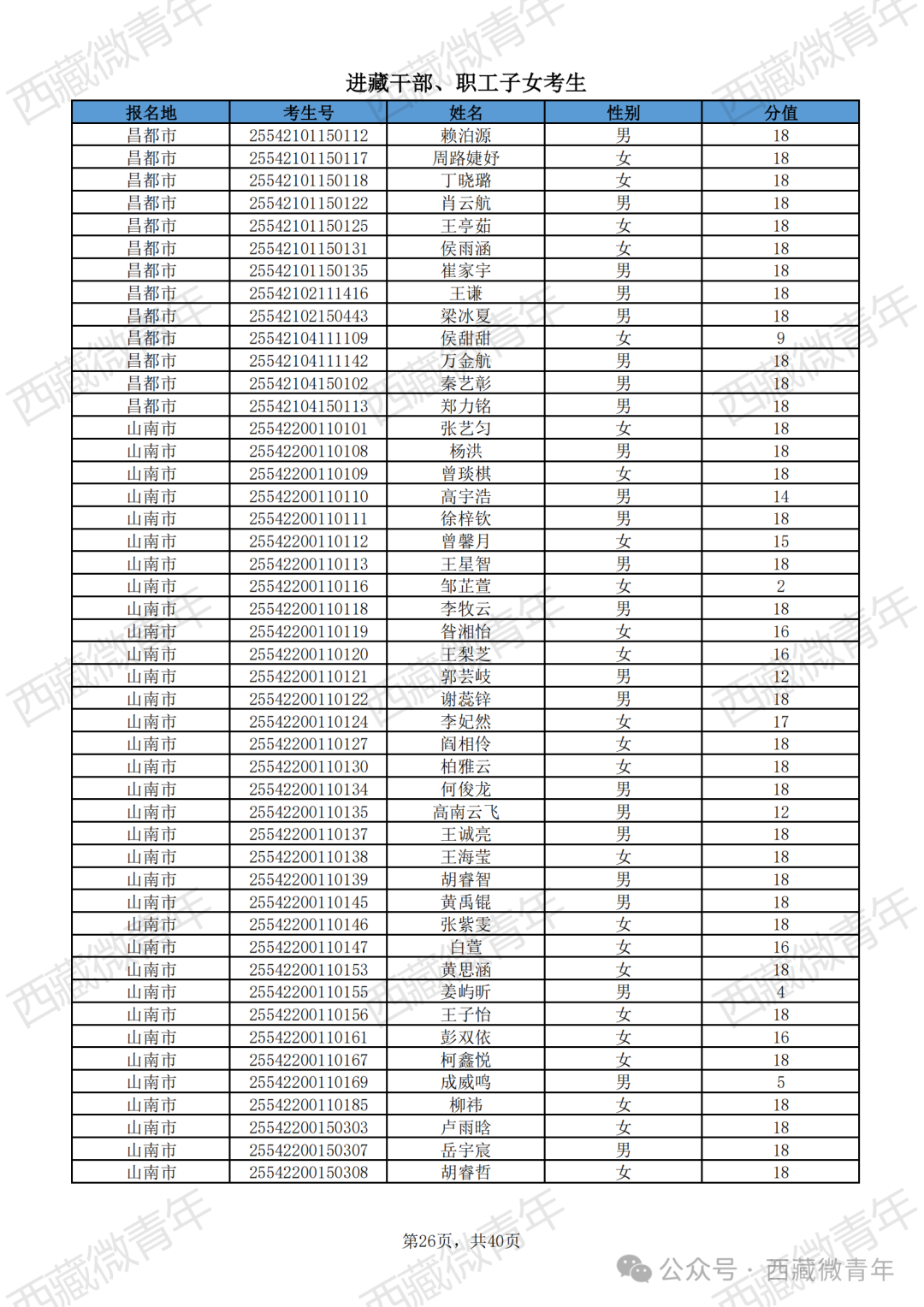
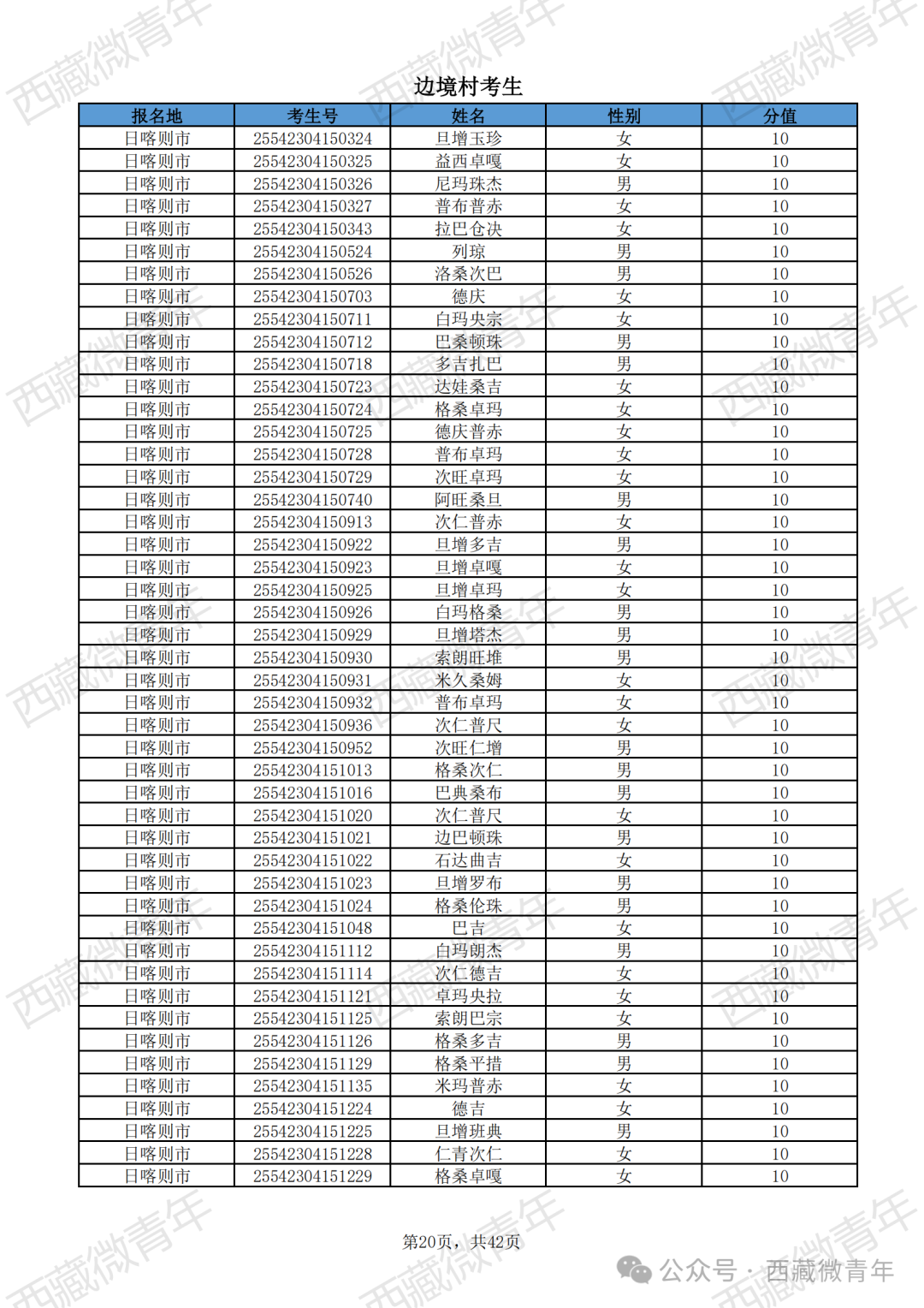
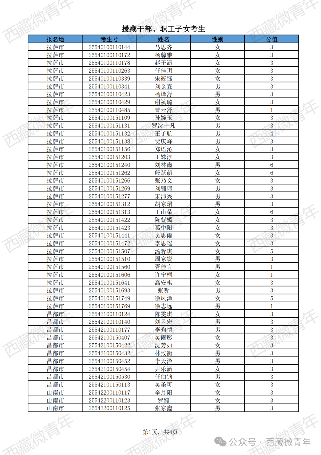
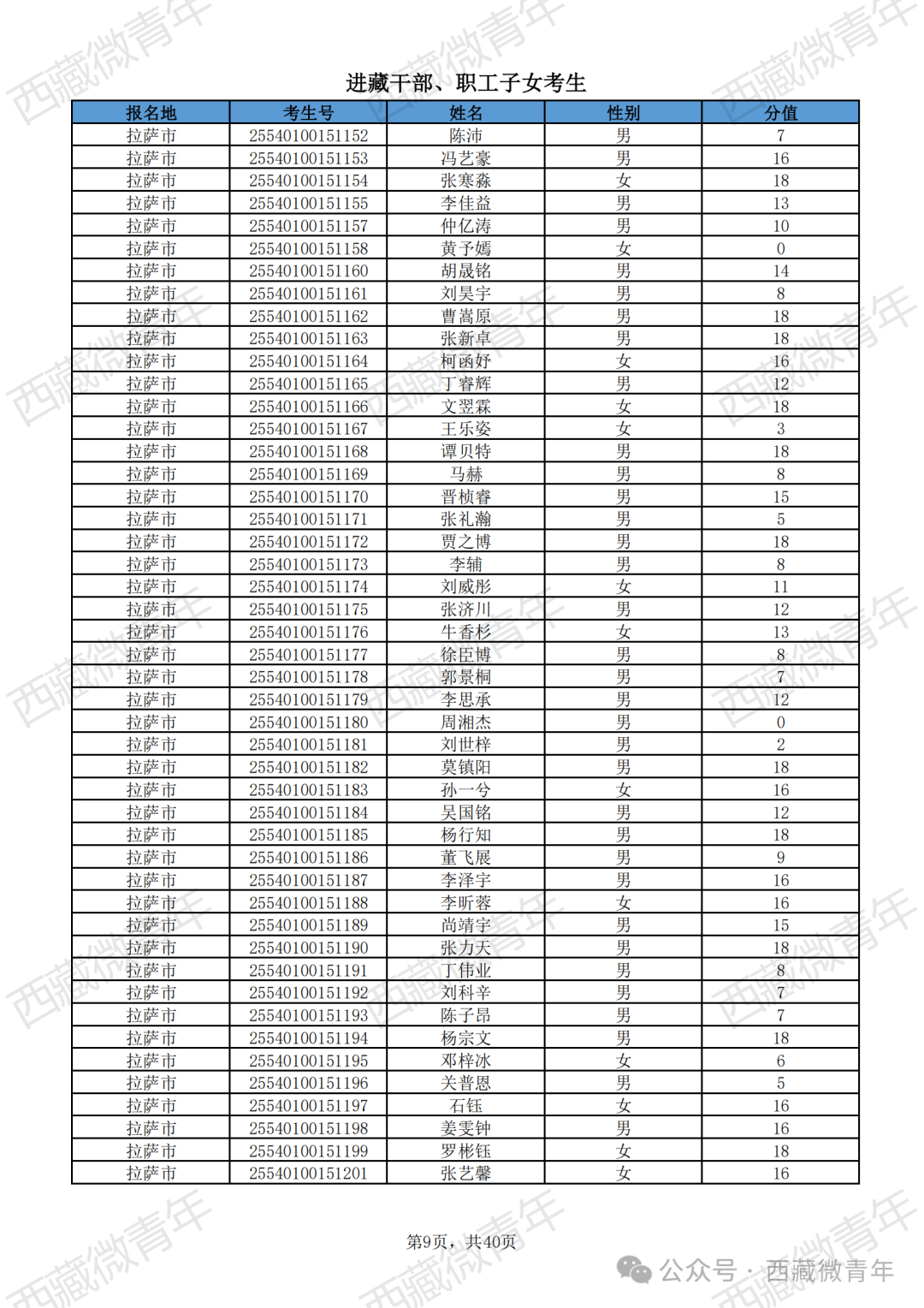
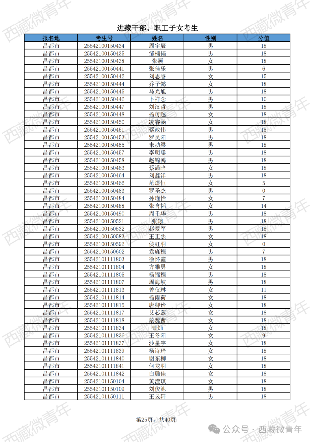
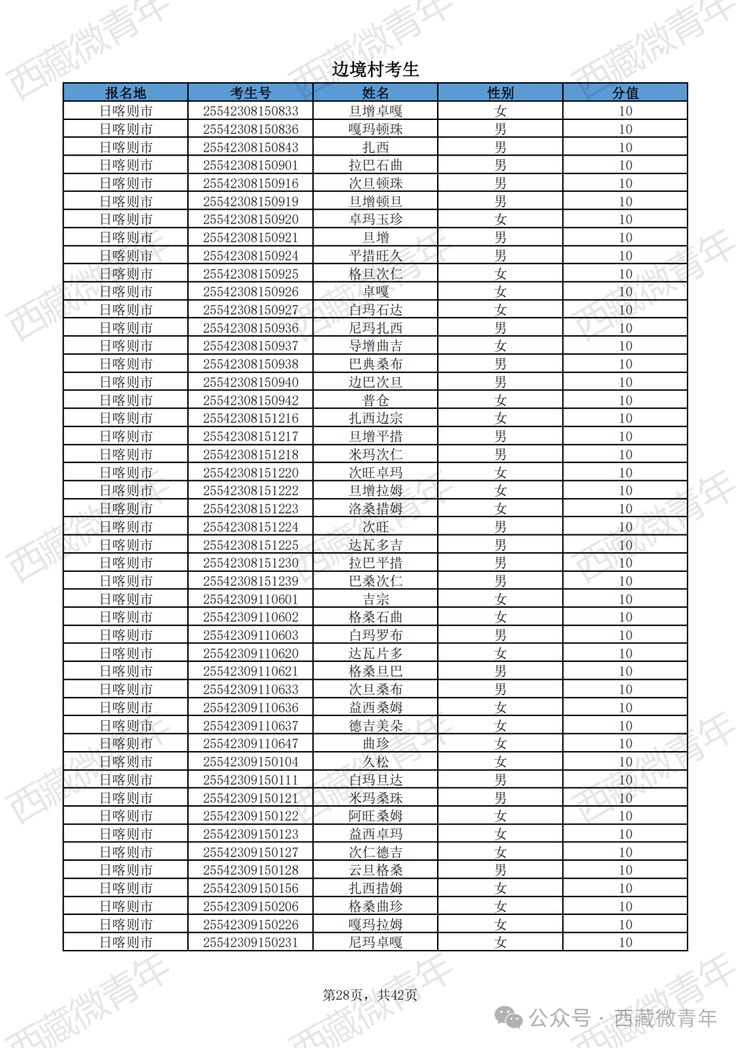
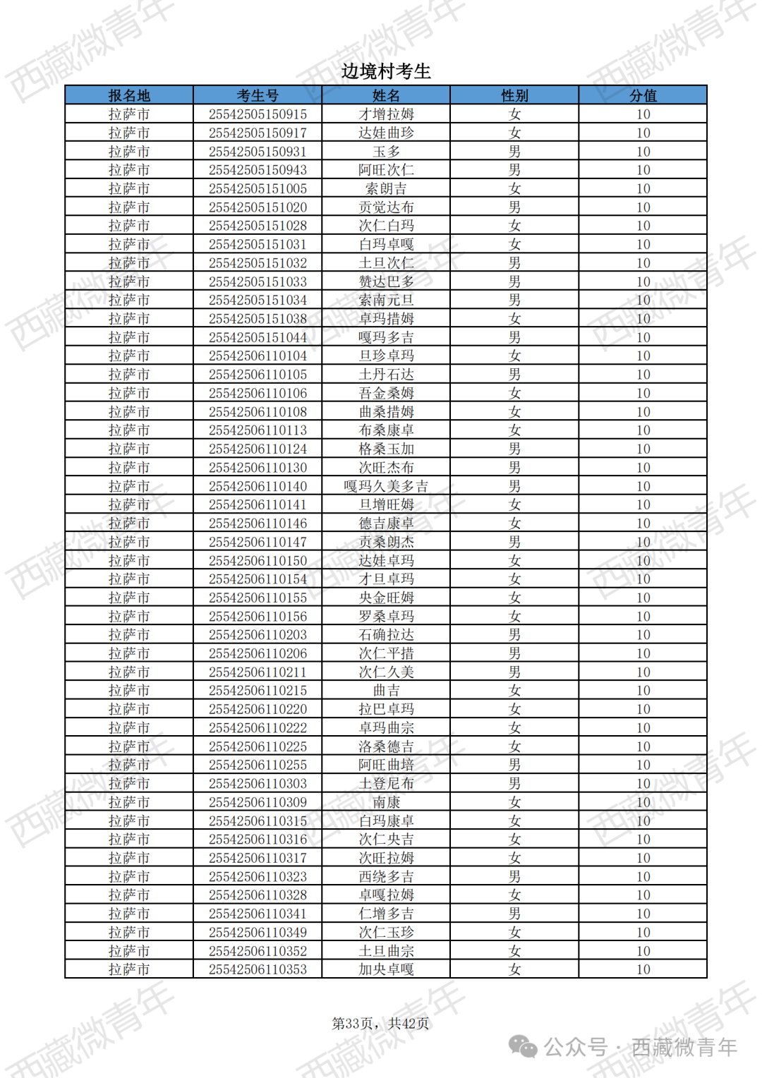
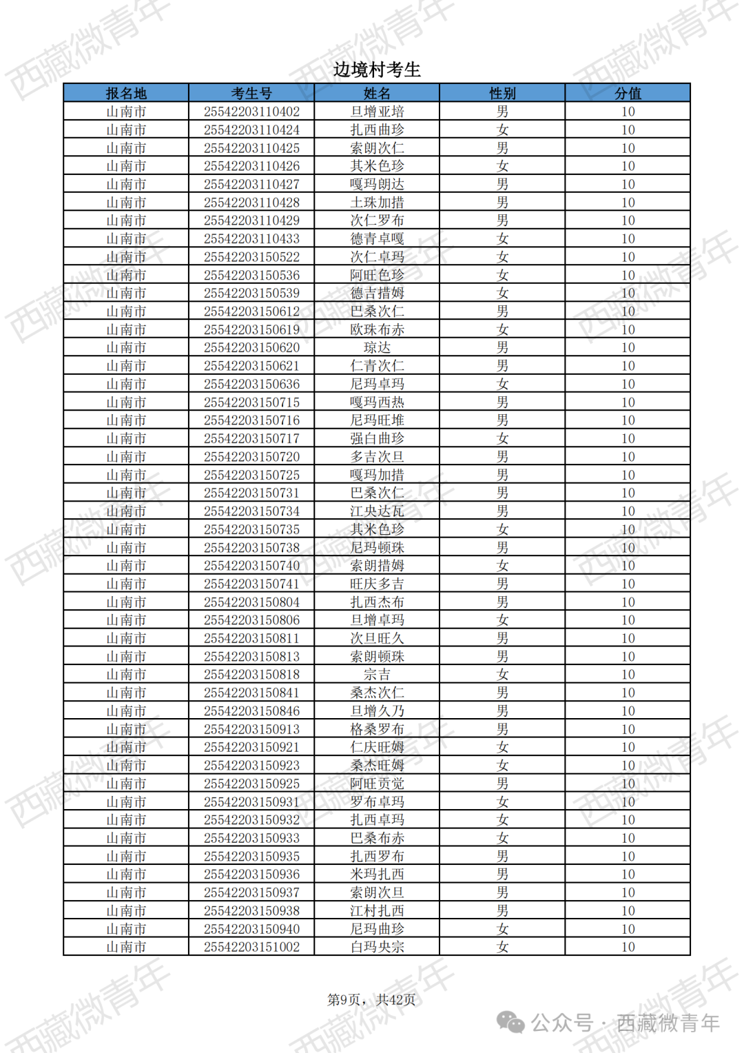
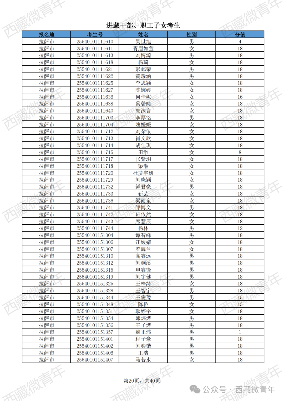
三、考生名单
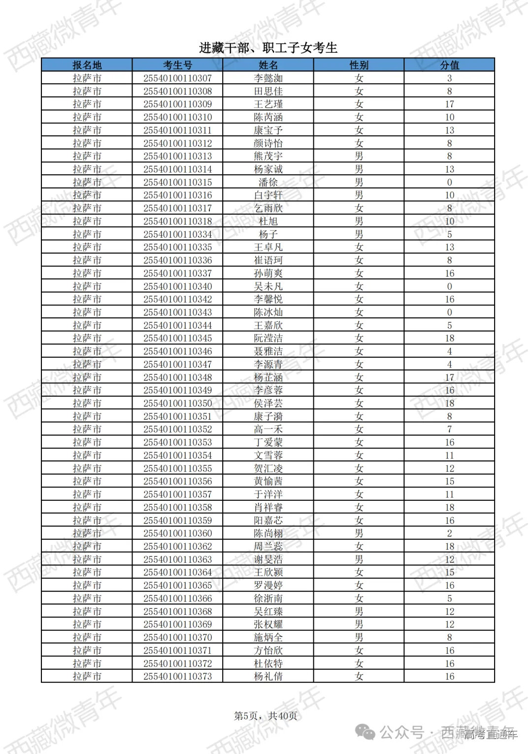
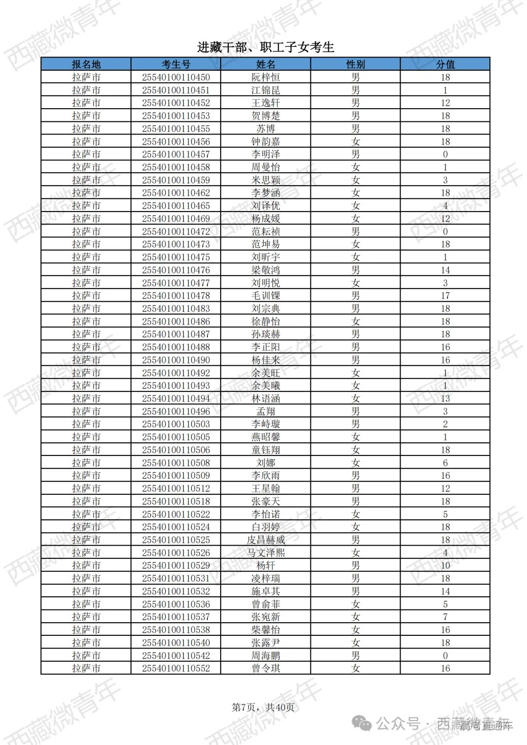
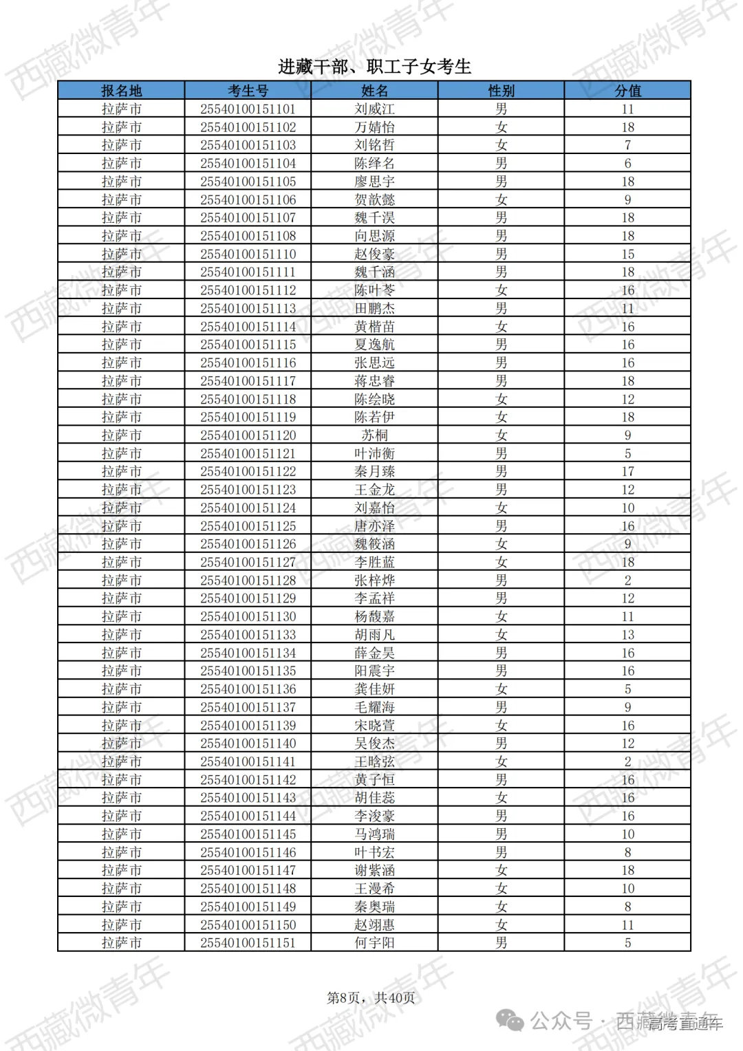
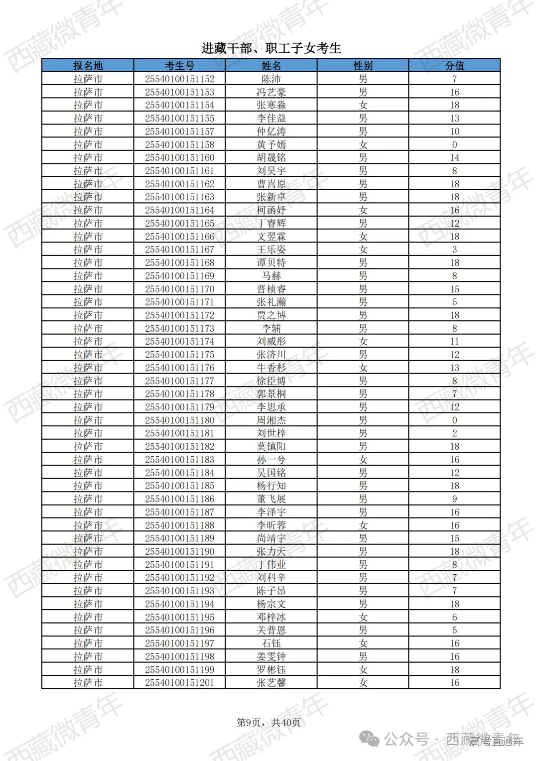
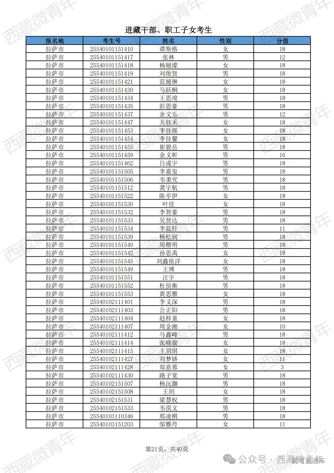
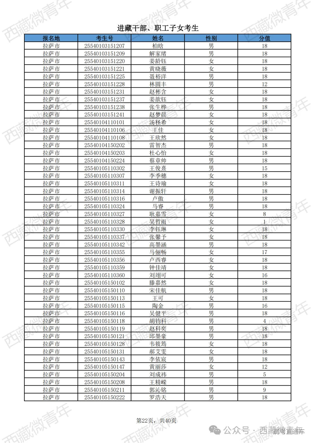
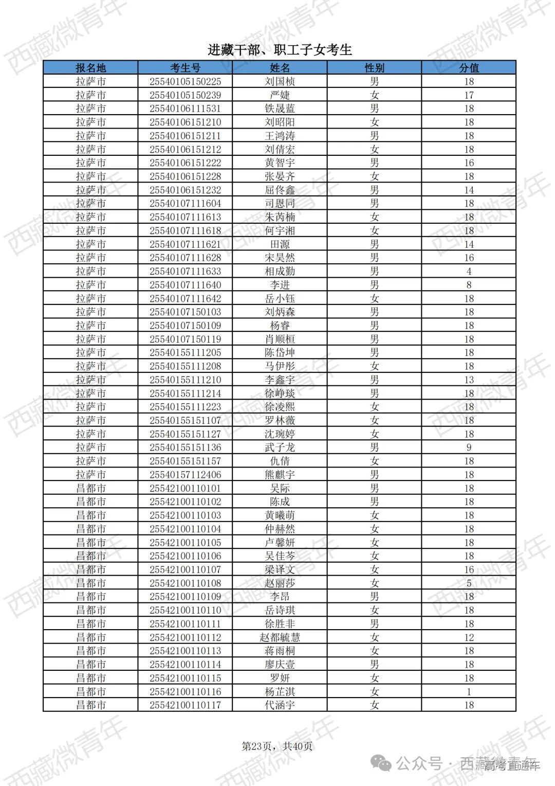
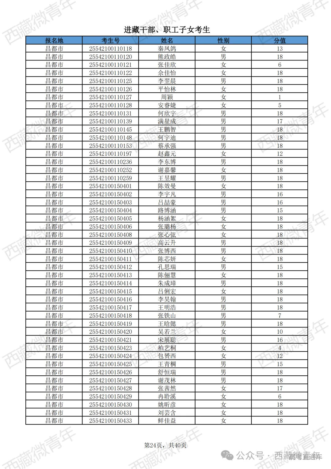
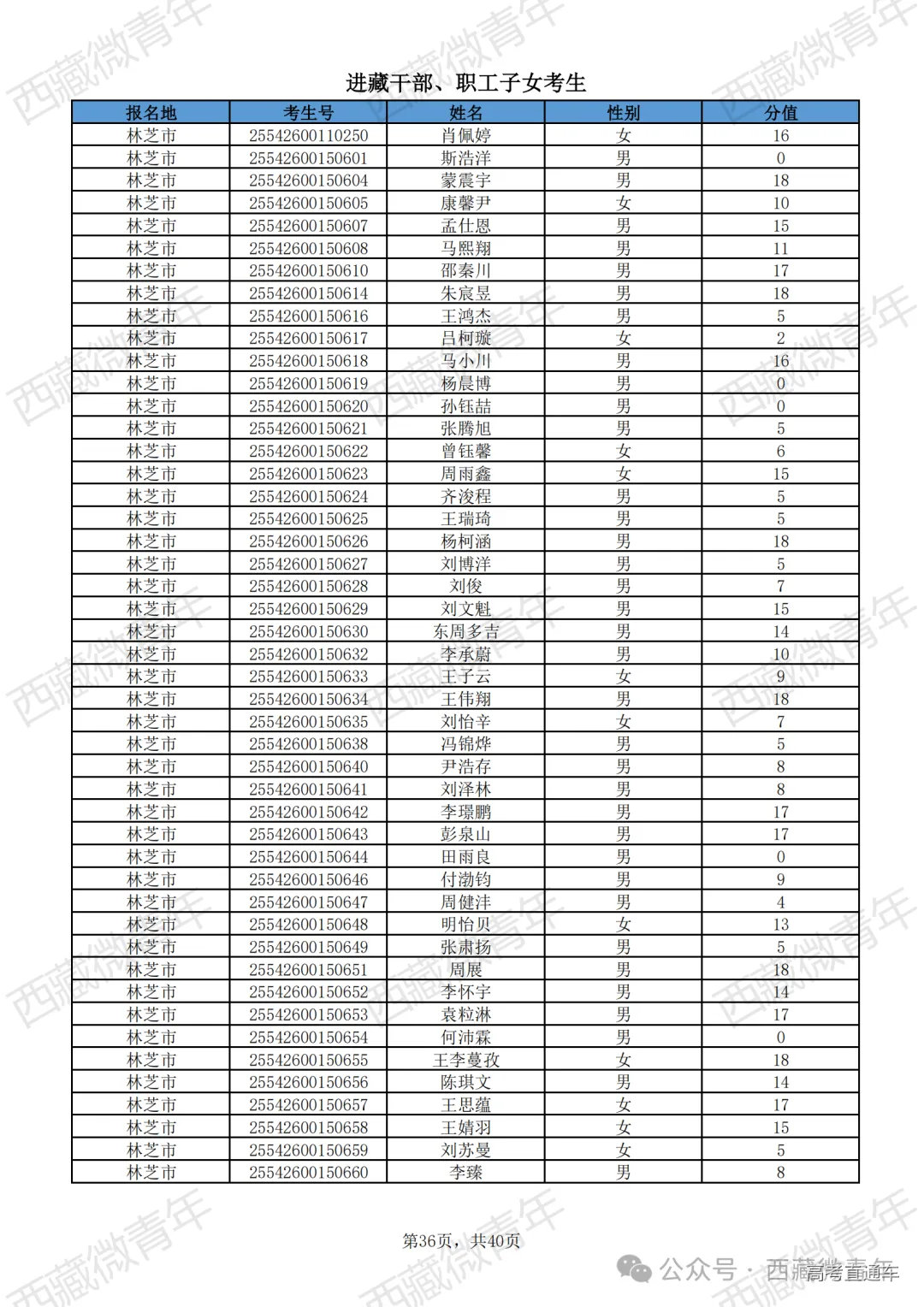
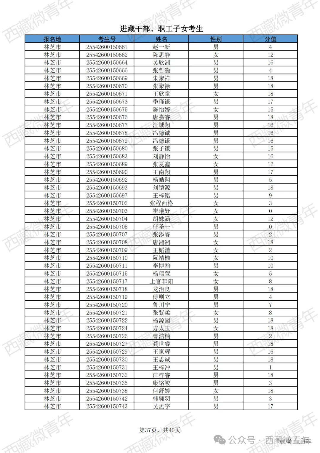
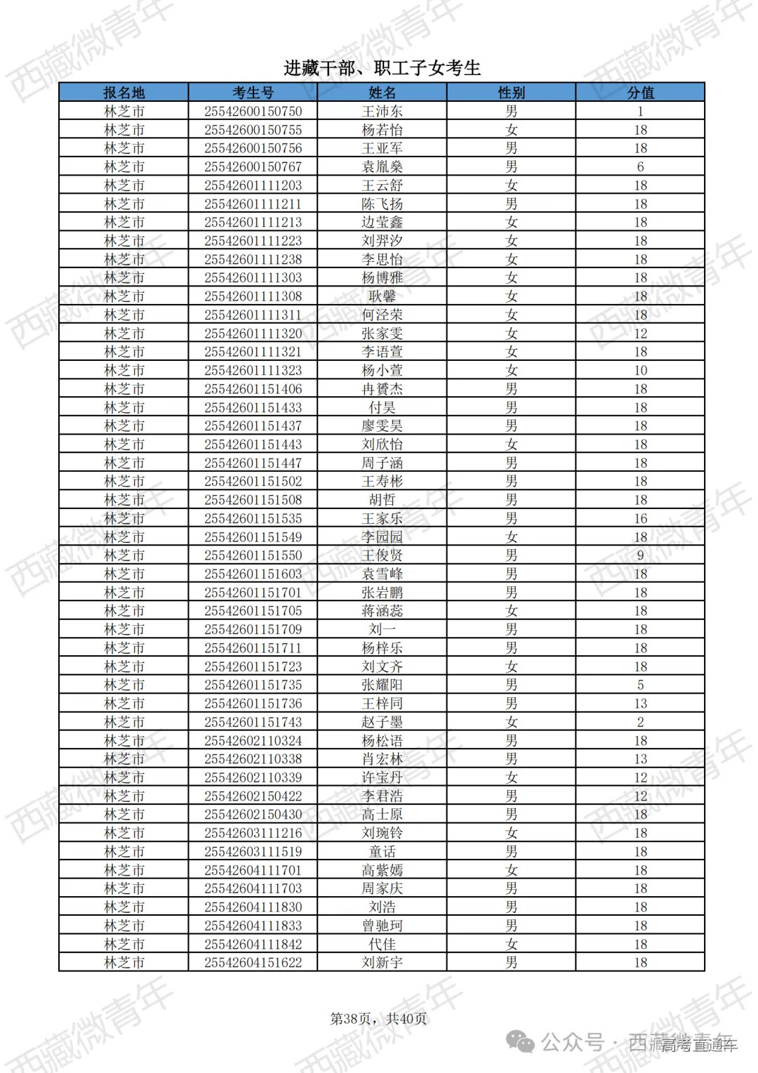
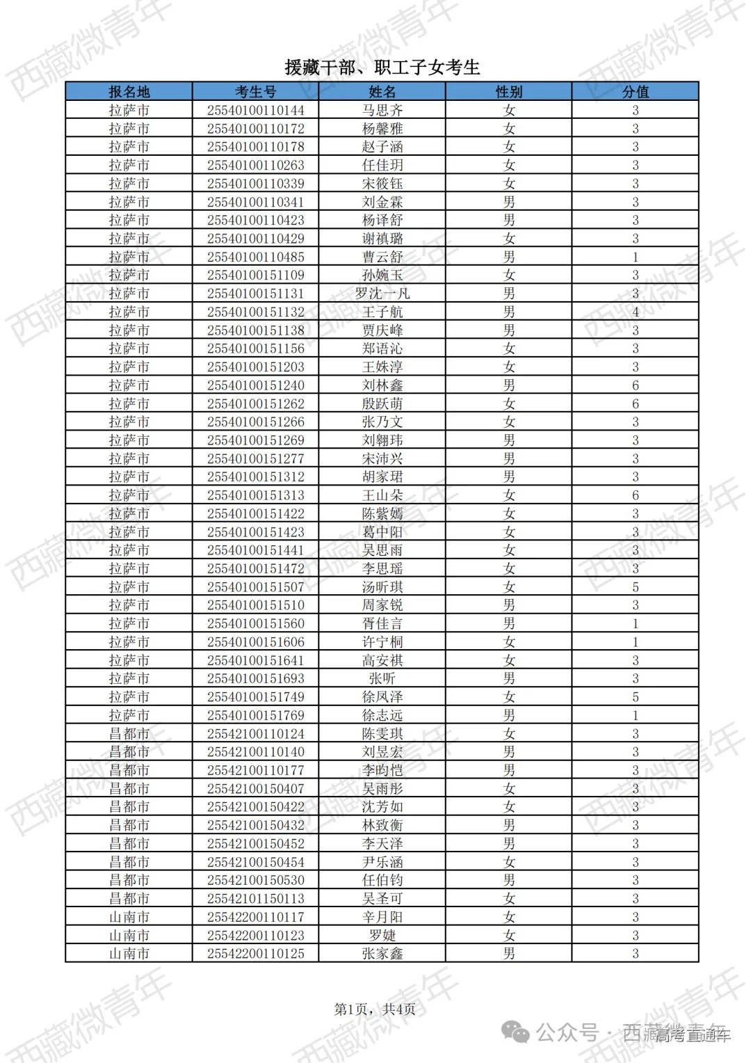
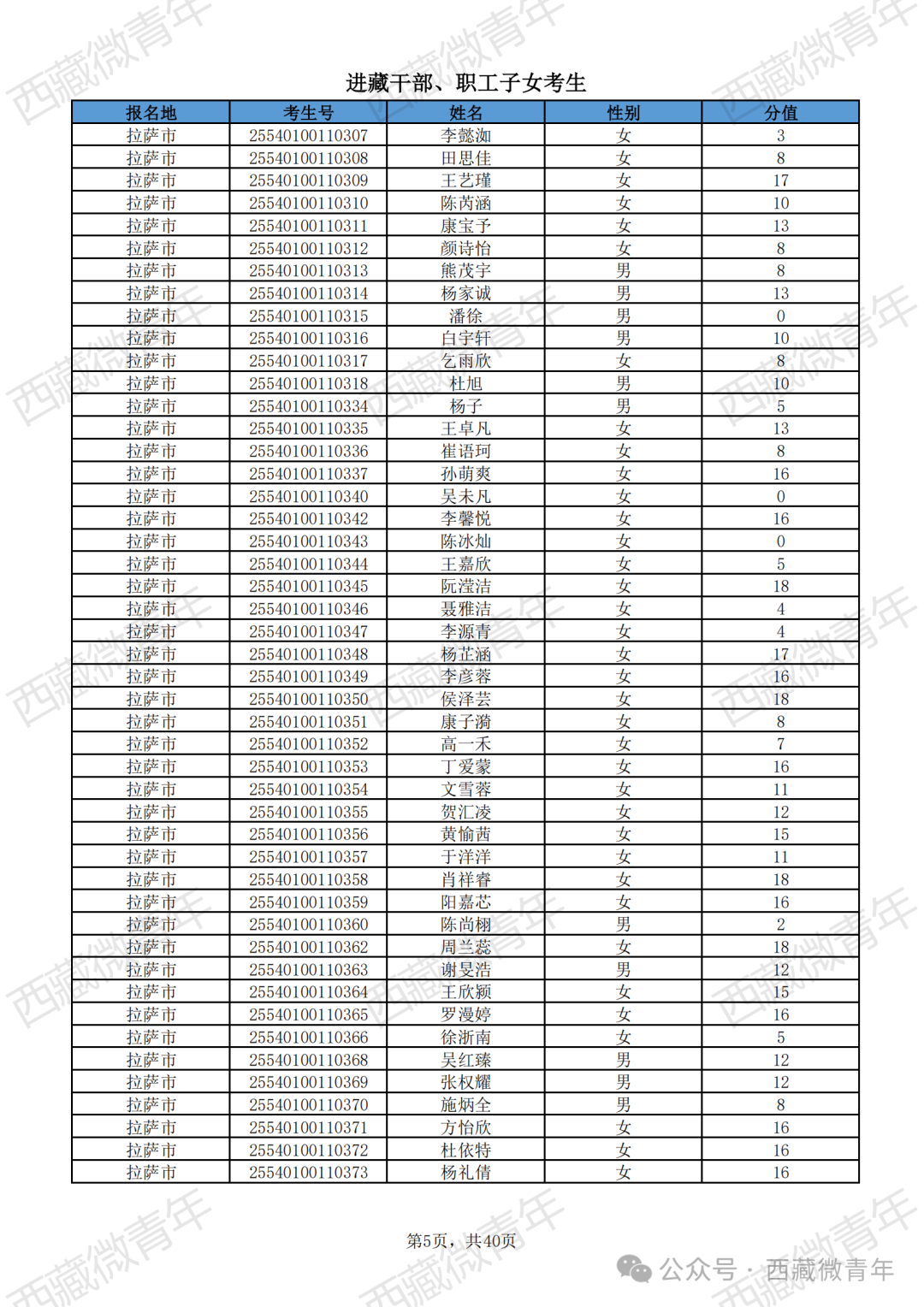
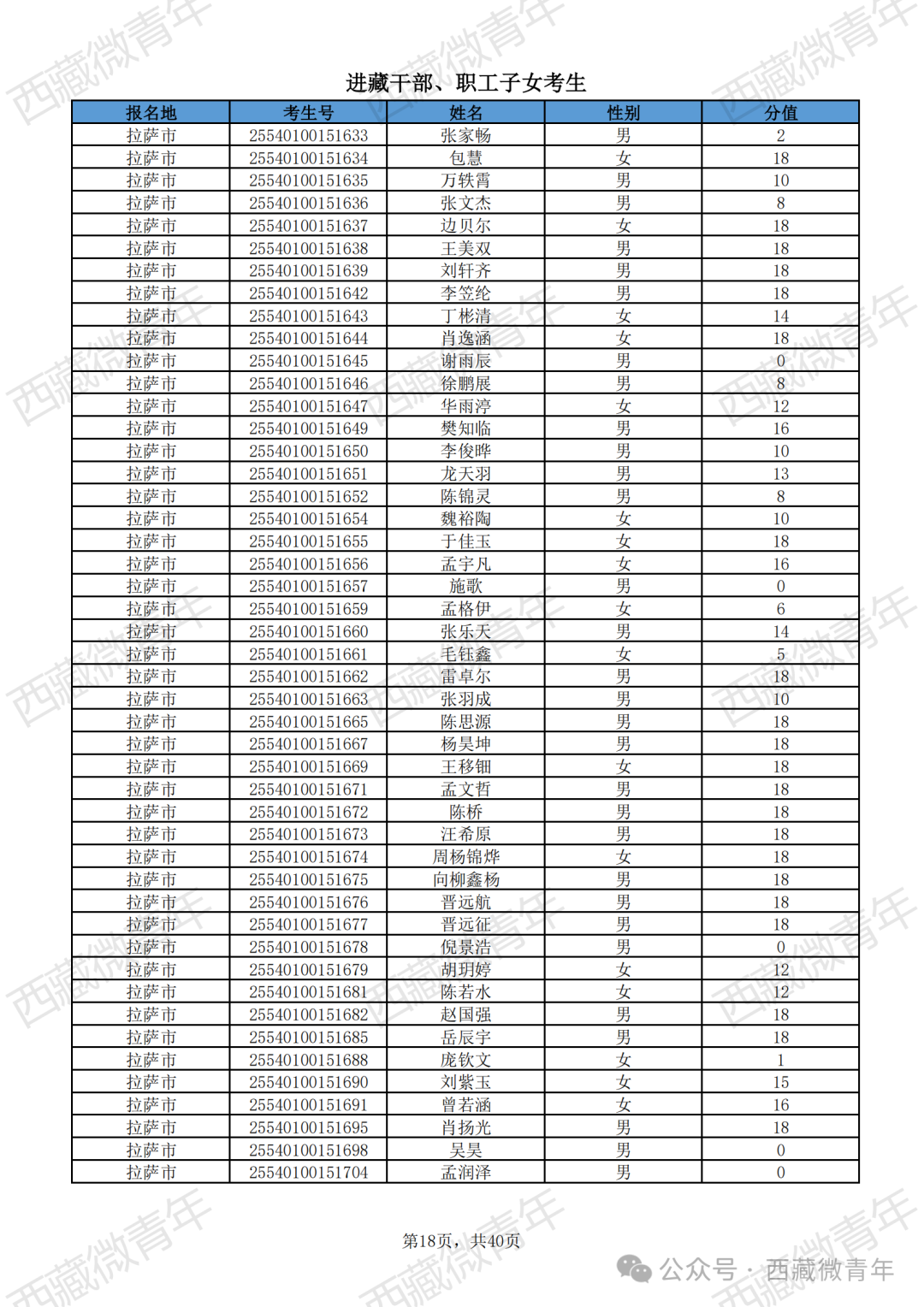
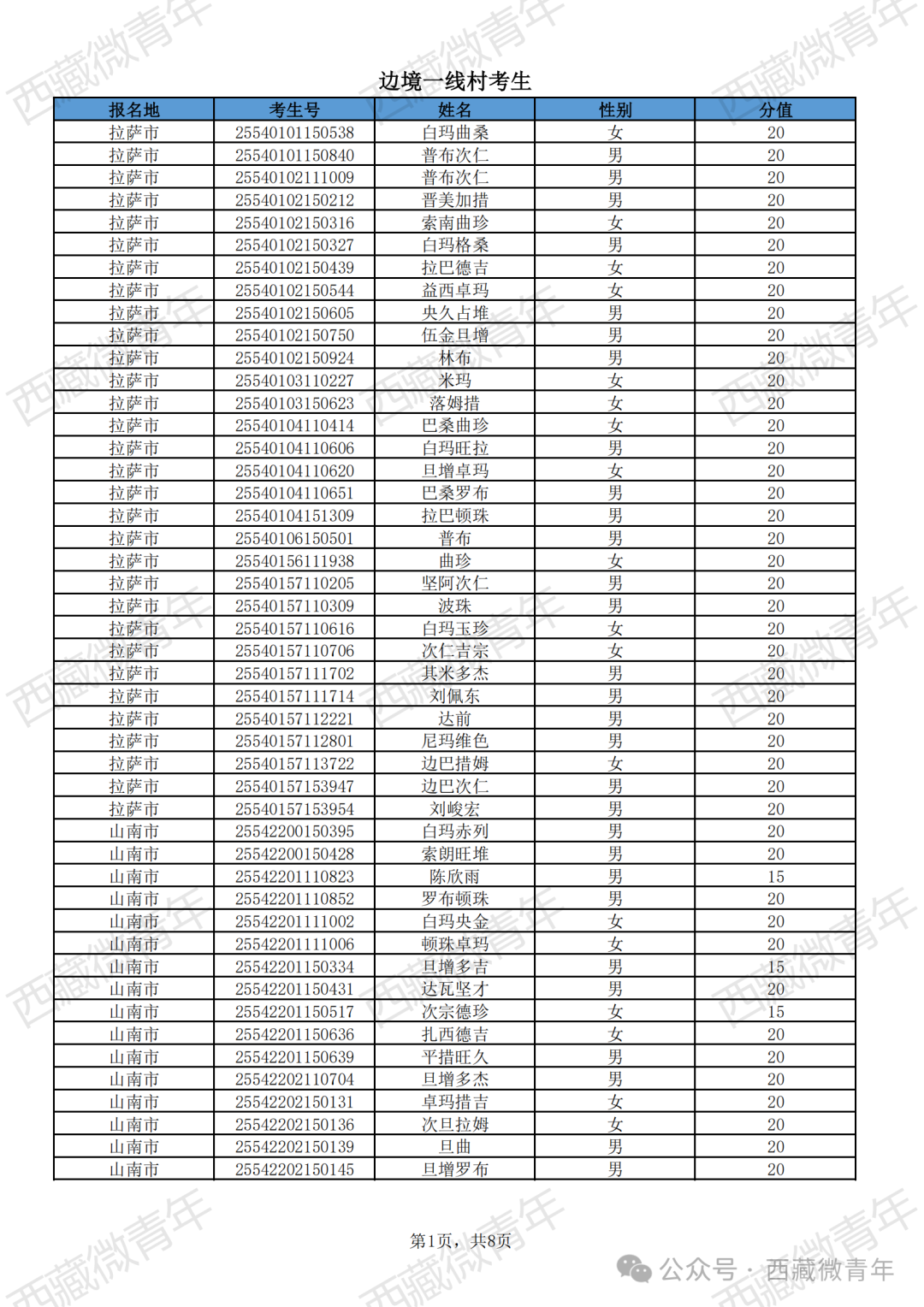
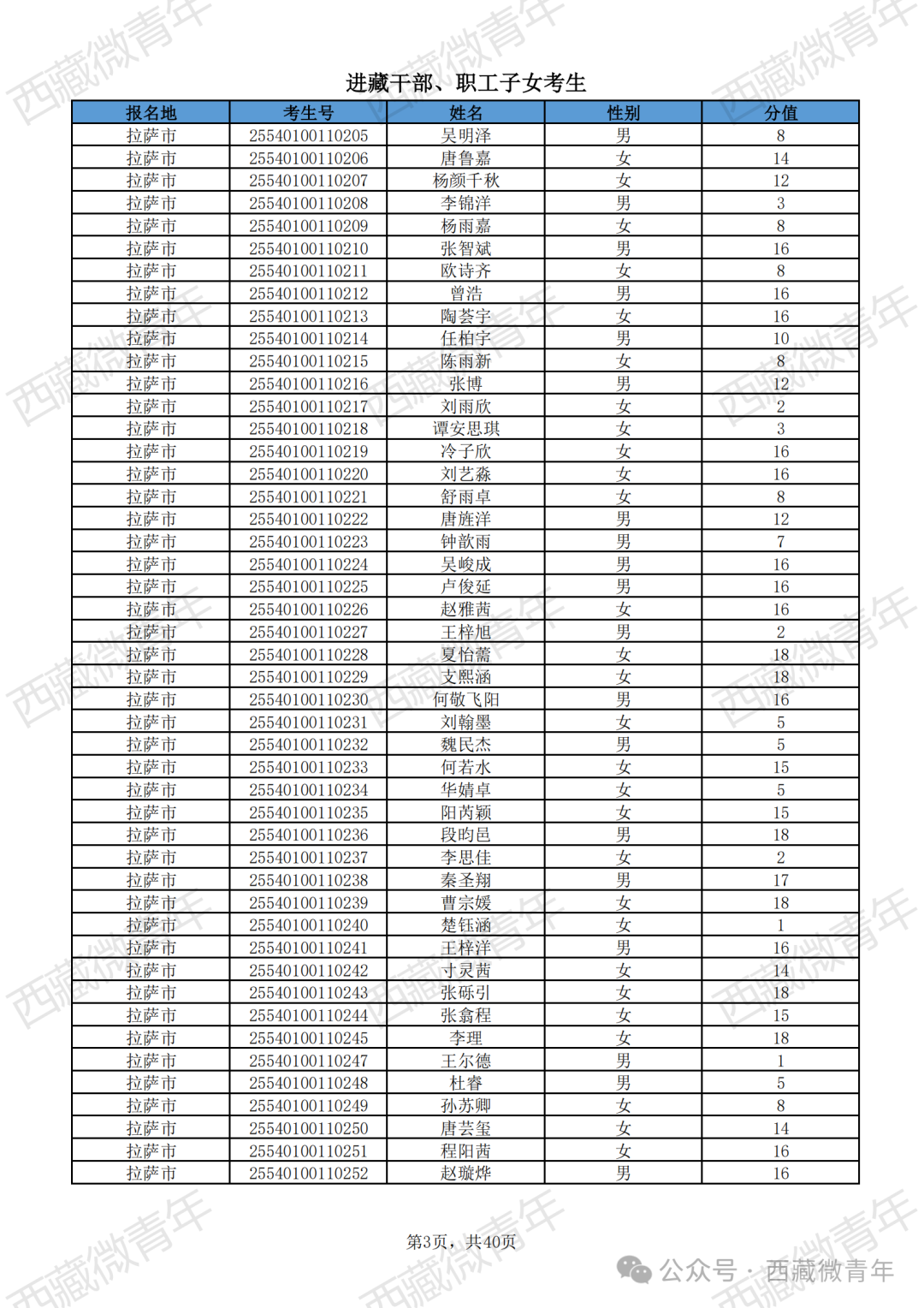
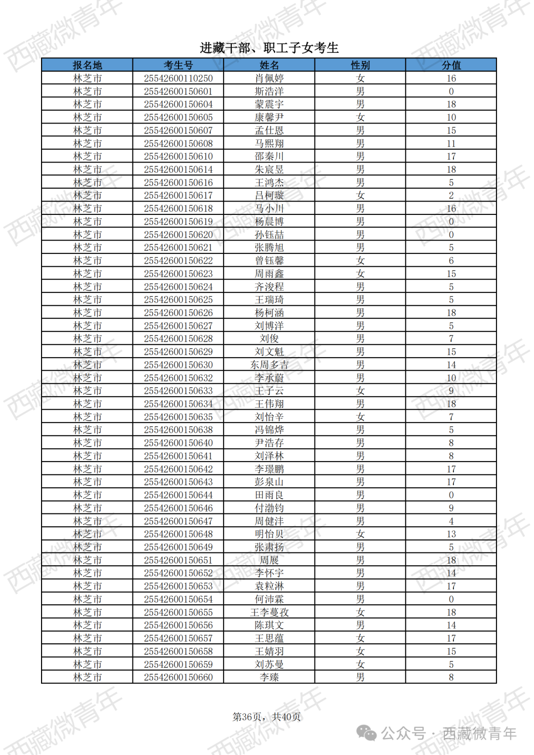
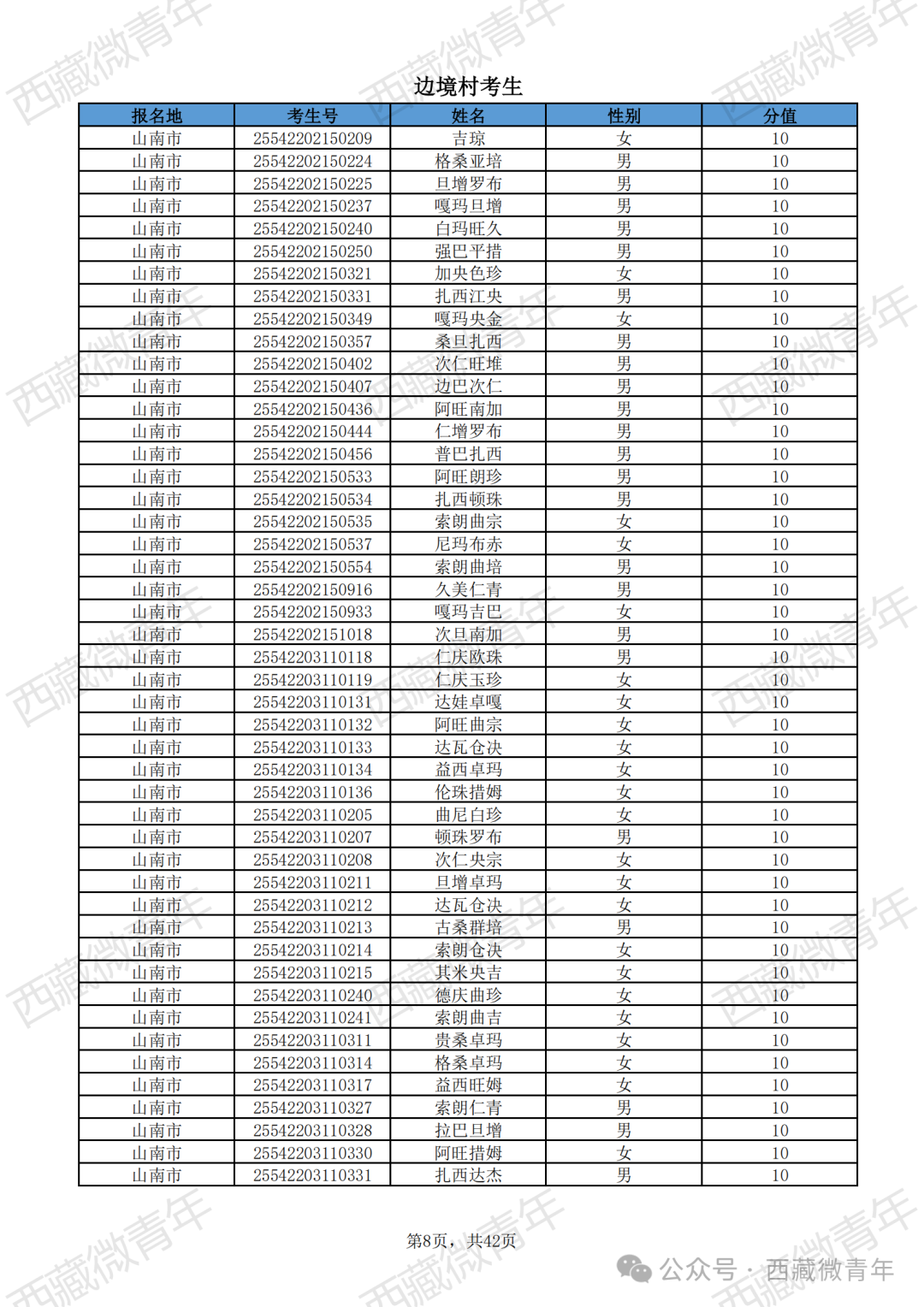
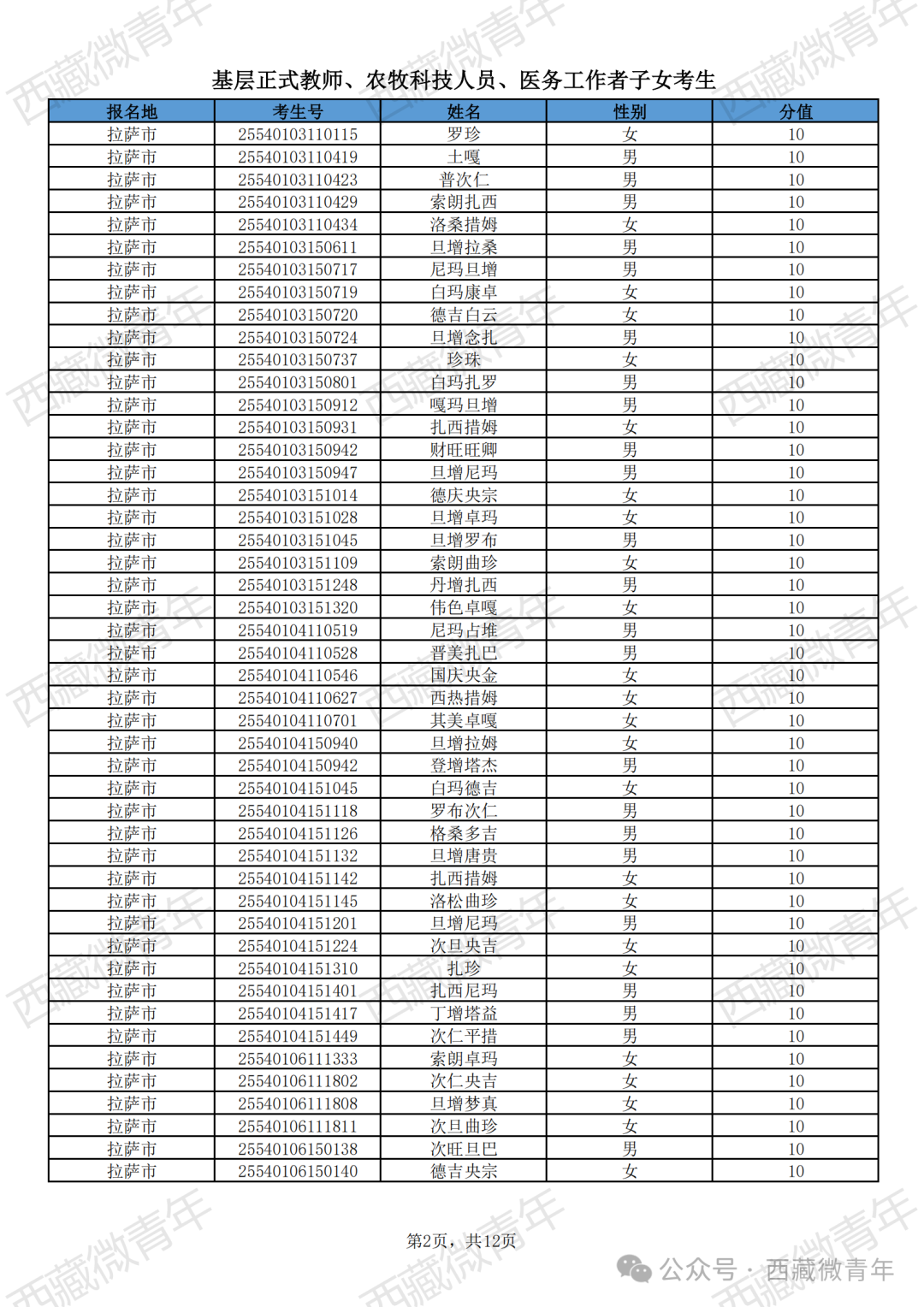
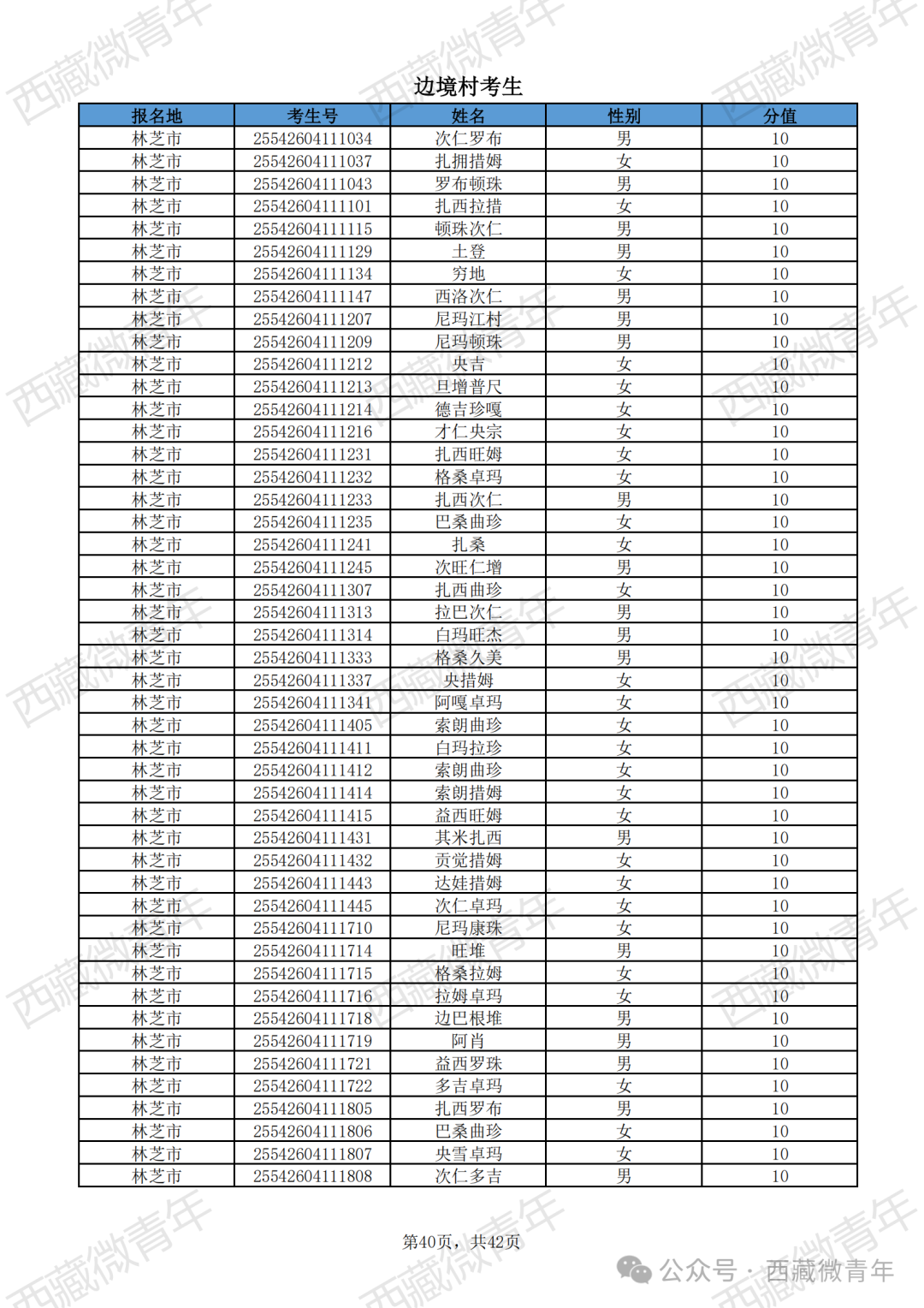
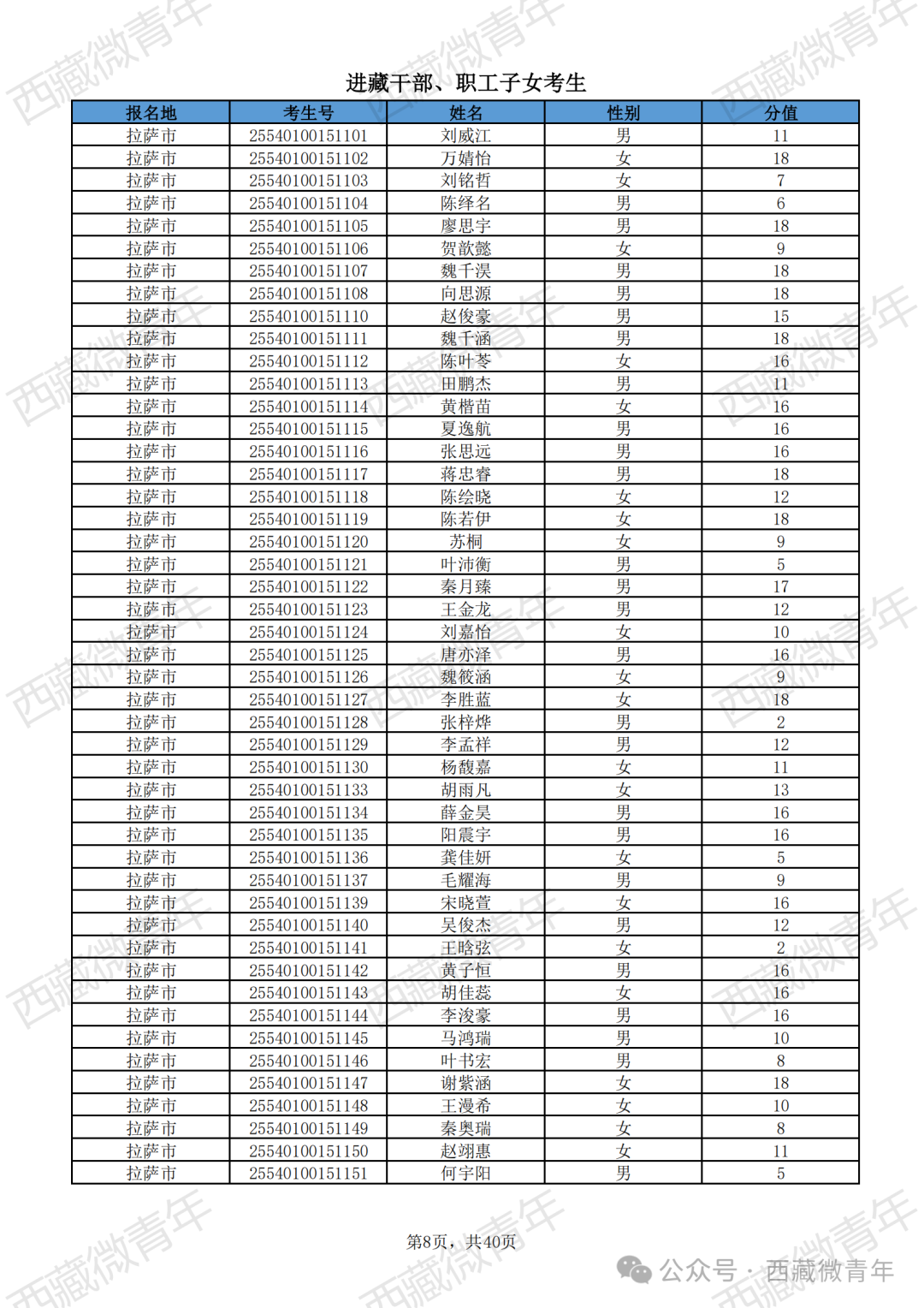
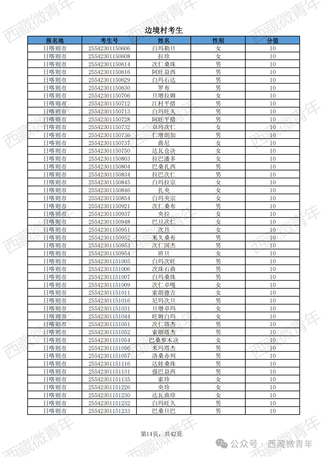
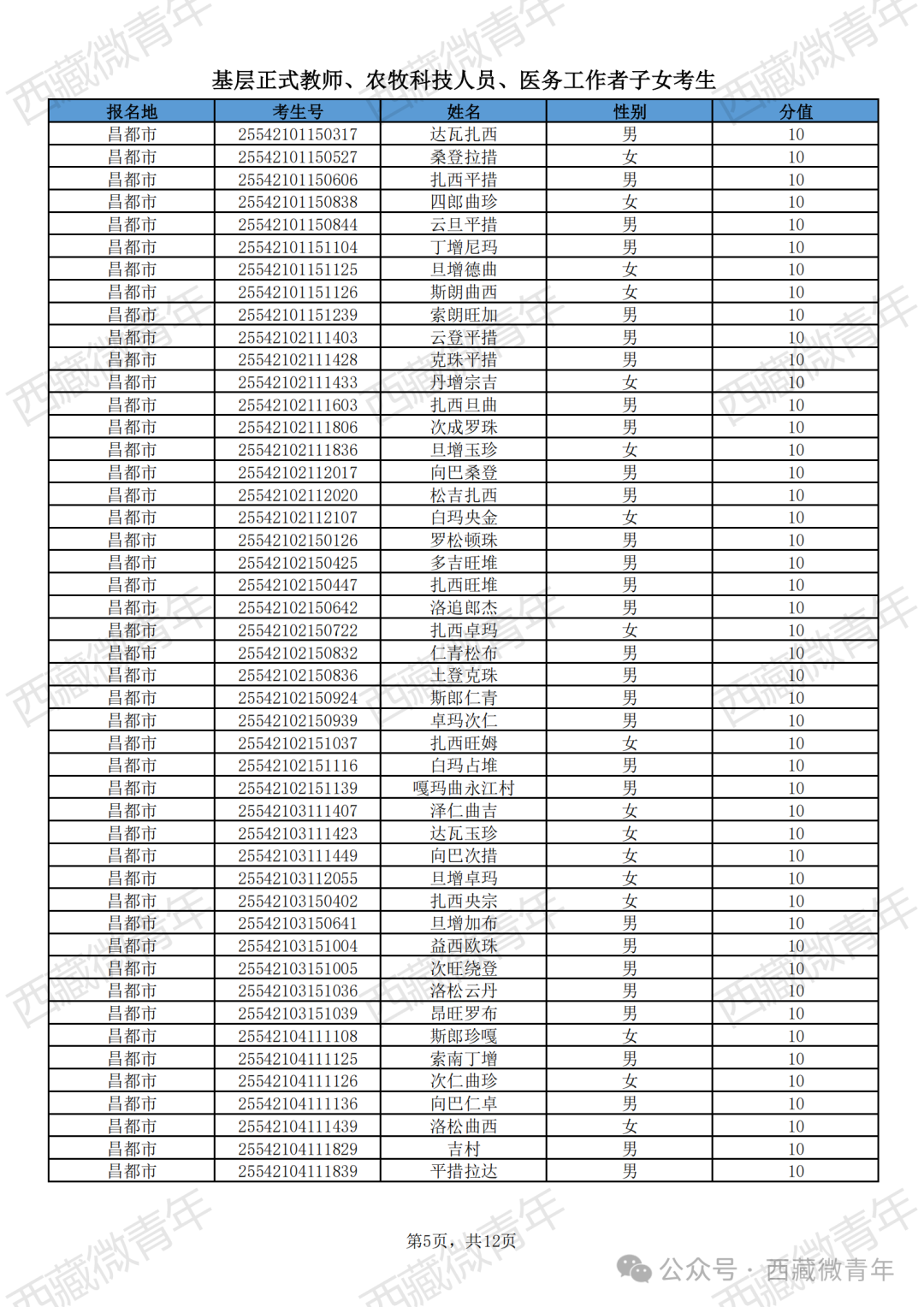
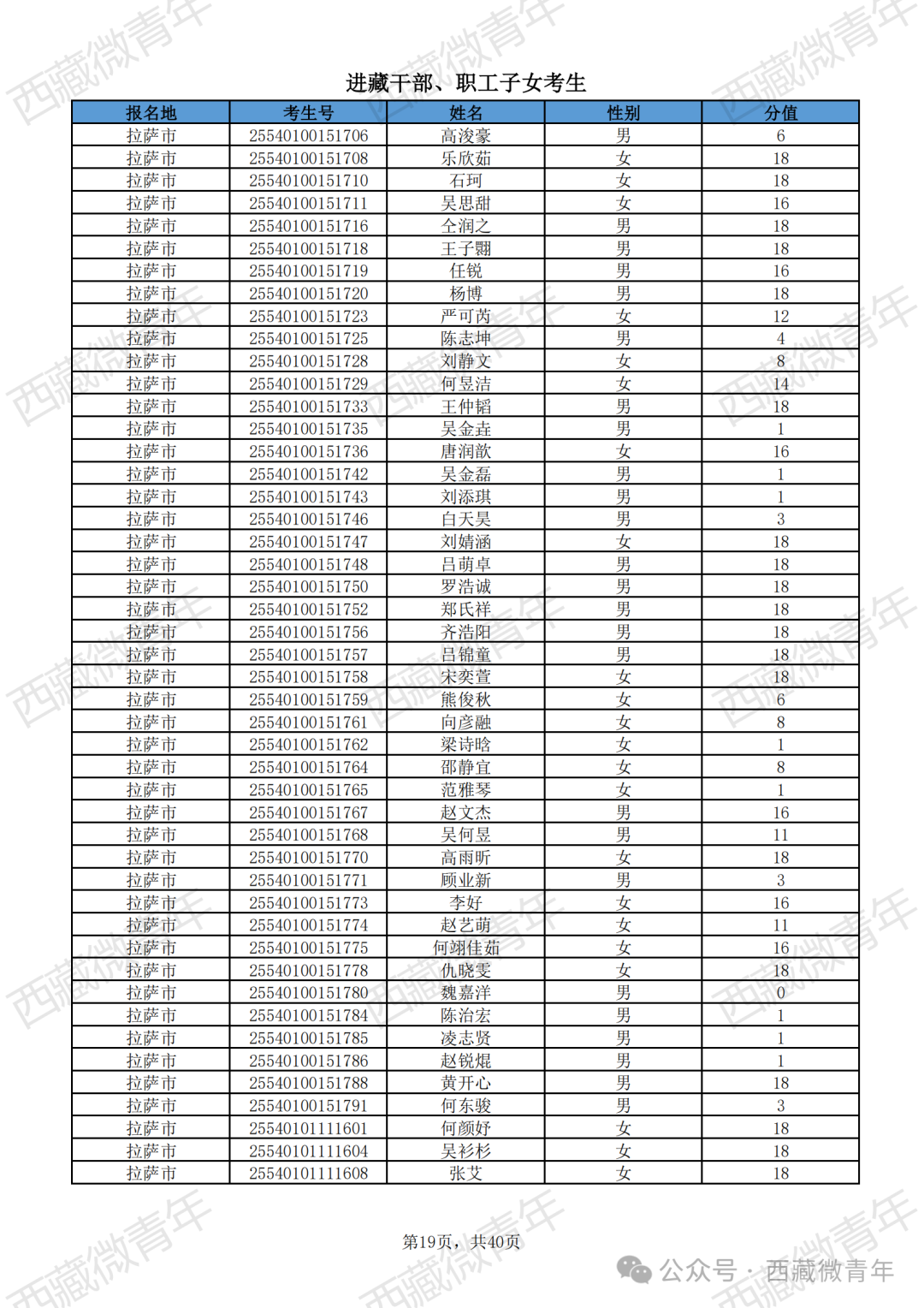
西藏自治区2025年普通高等学校招生全国统一考试享受加分政策考生名单(详见附件)
附件
1.烈士子女考生(1人)

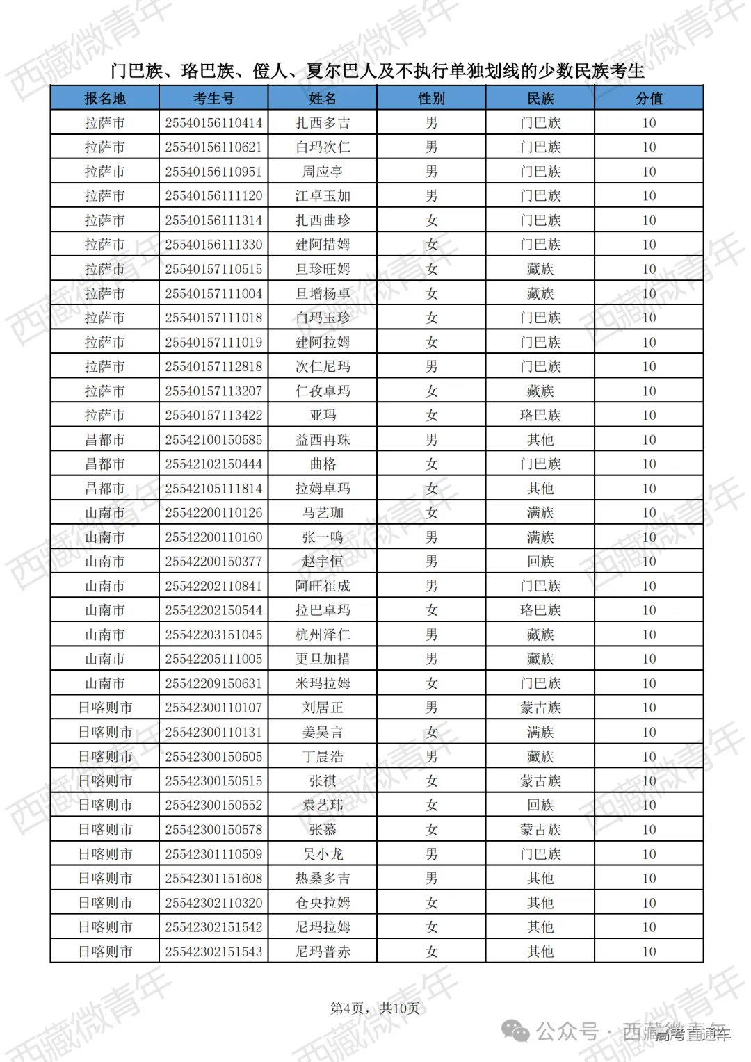
2.门巴族、珞巴族、僜人、夏尔巴人及不执行单独划线的少数民族考生(327人)










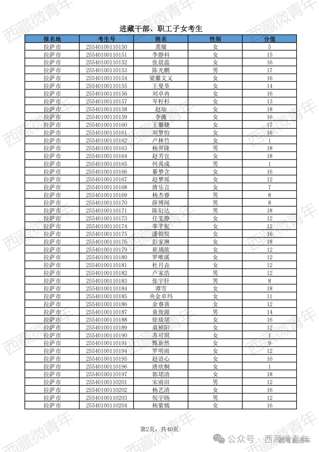
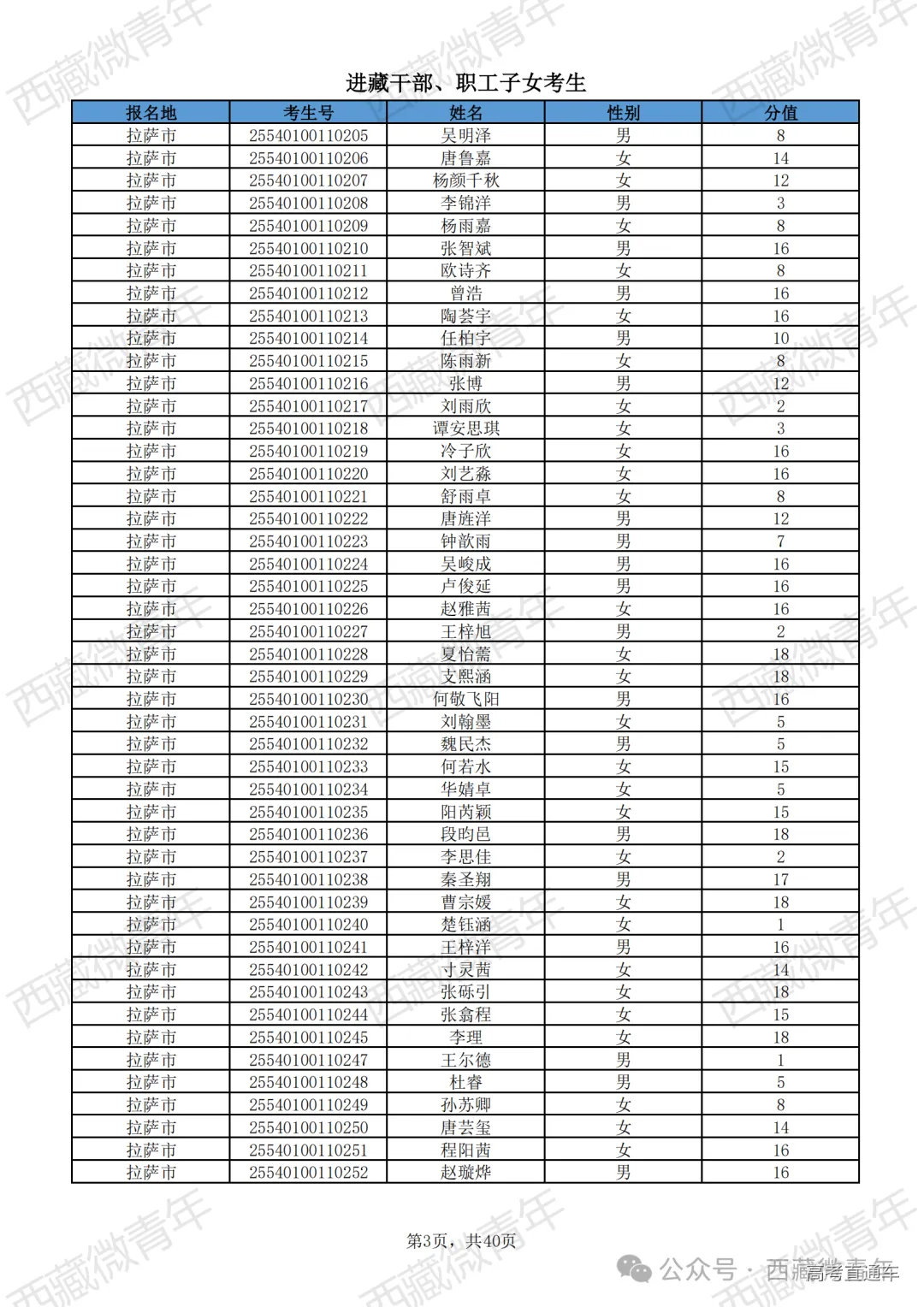
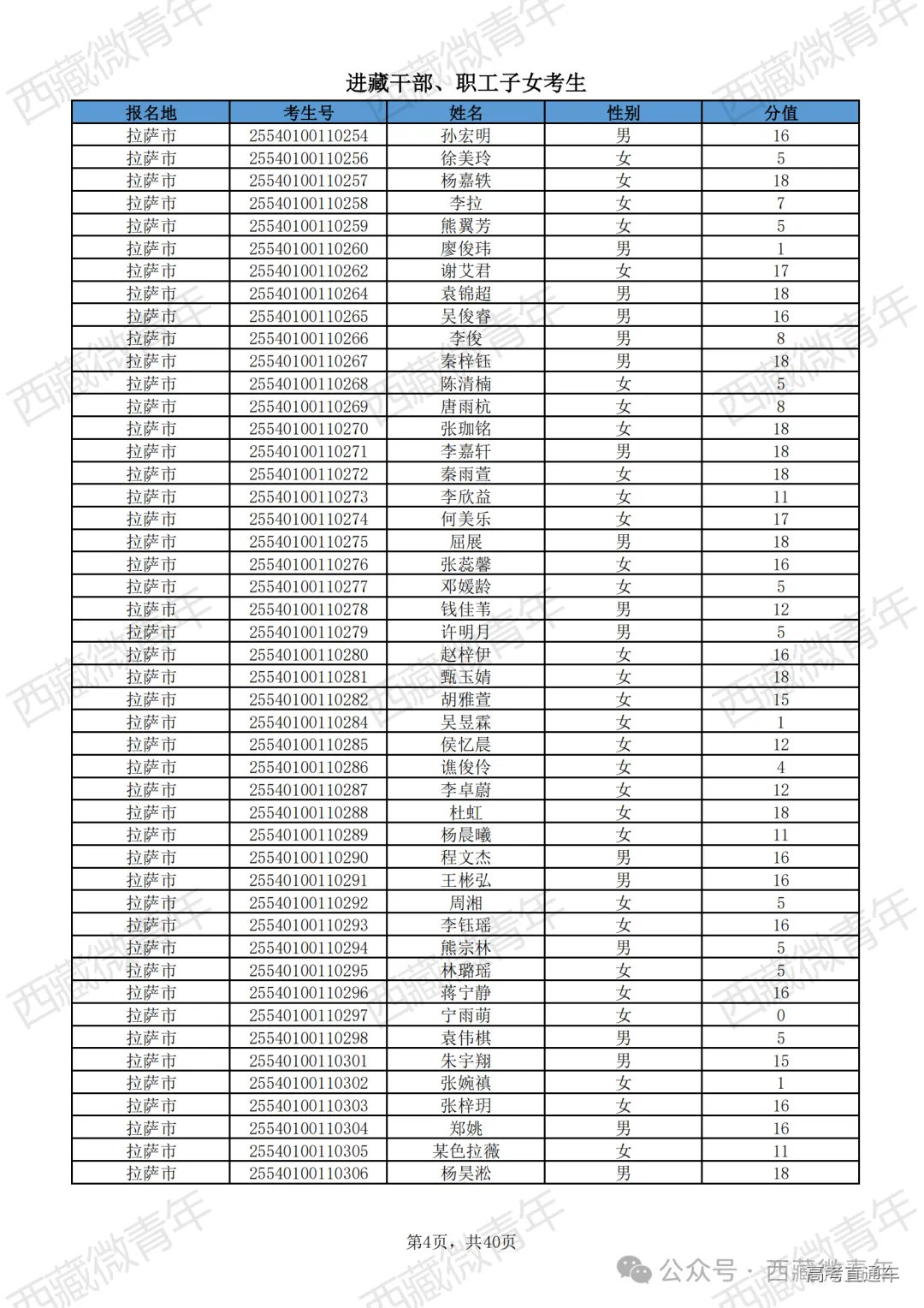
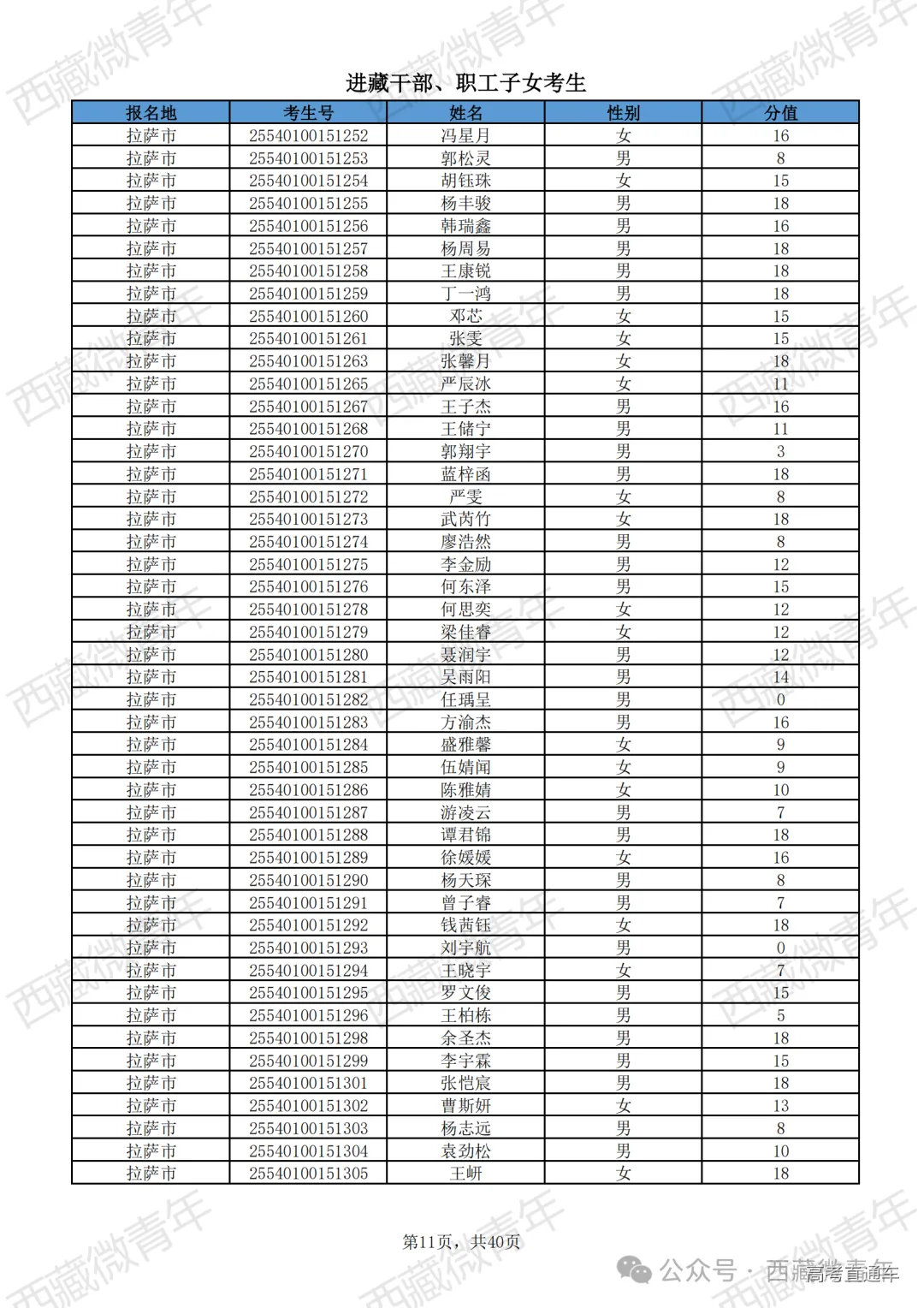
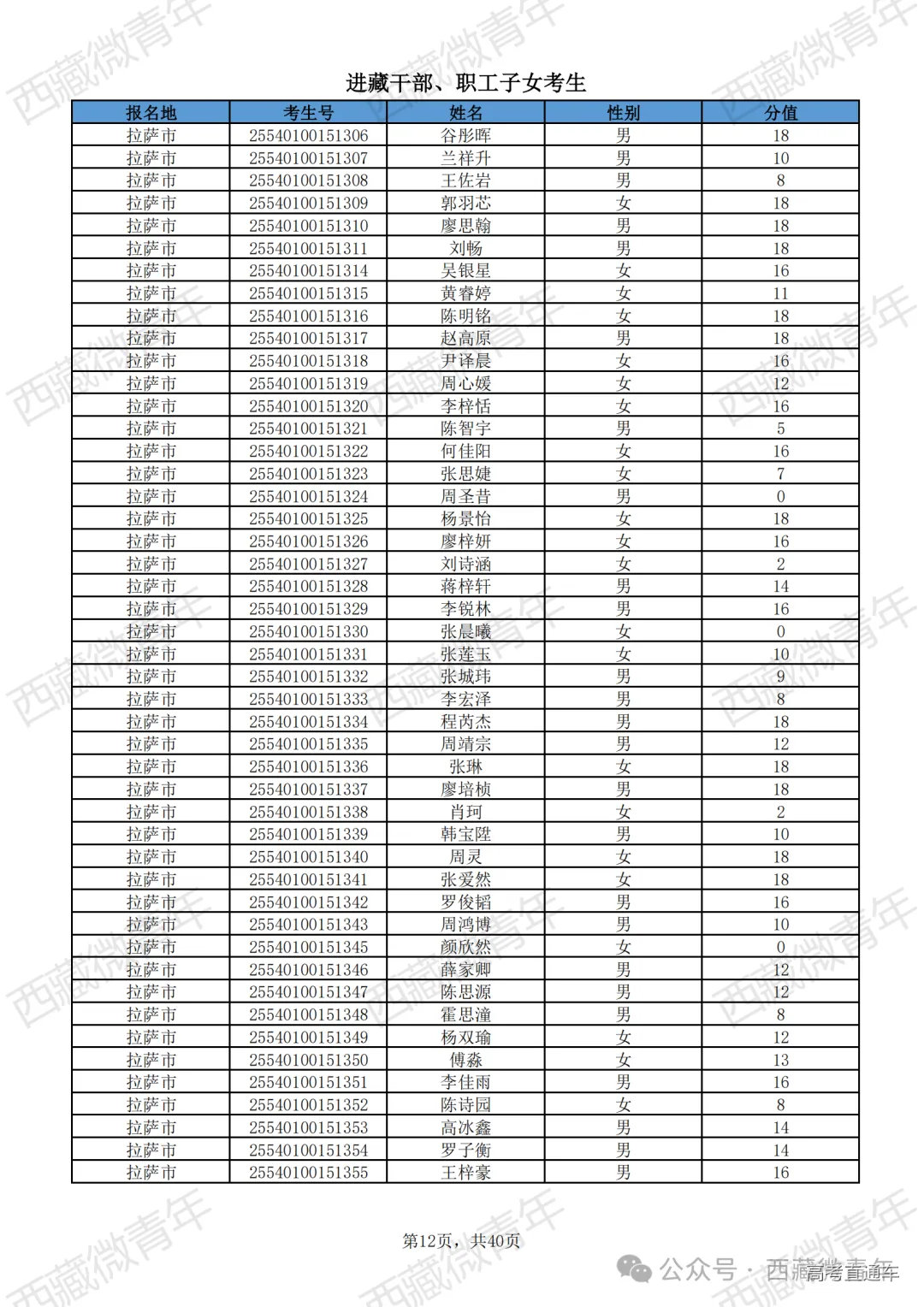
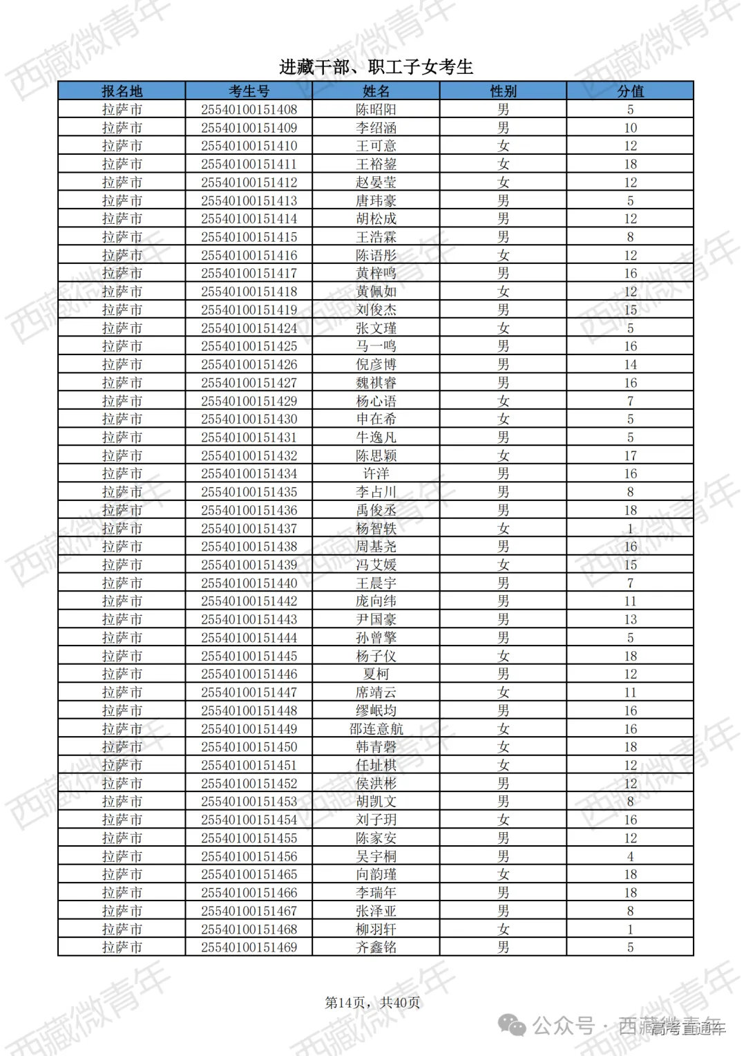
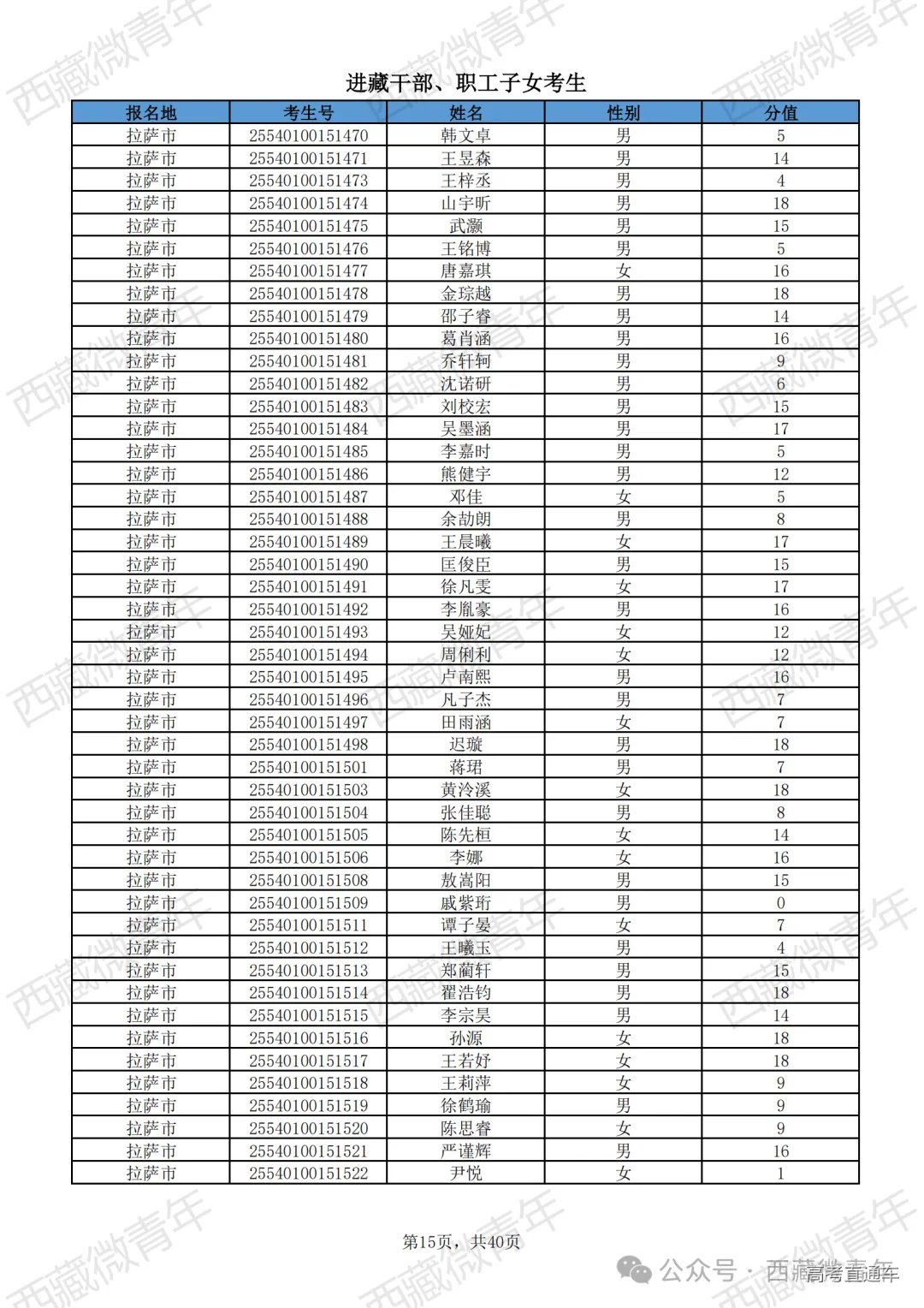
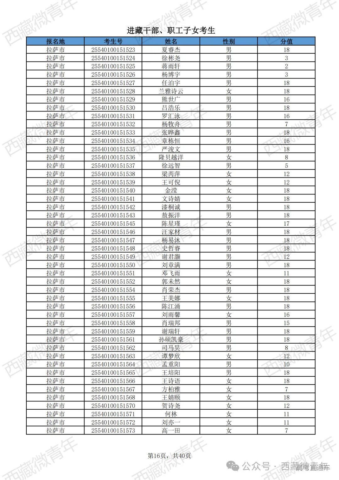
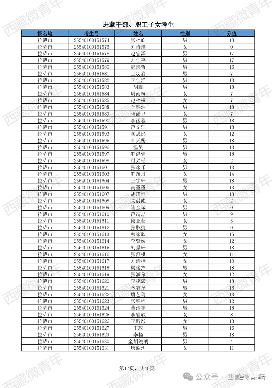
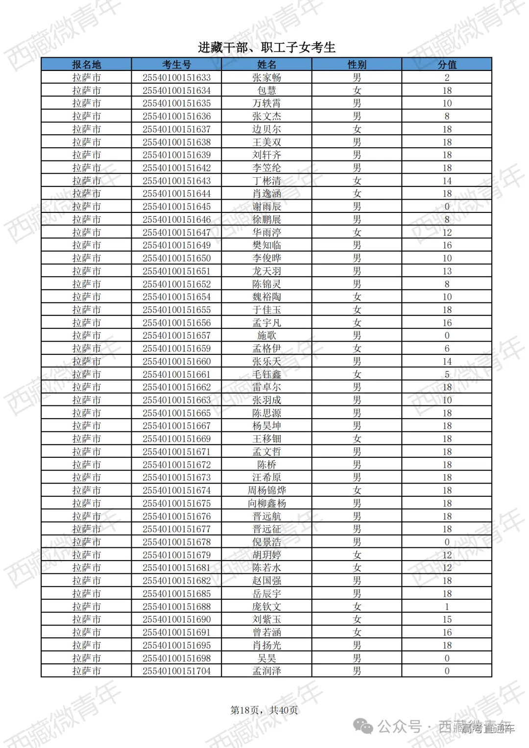
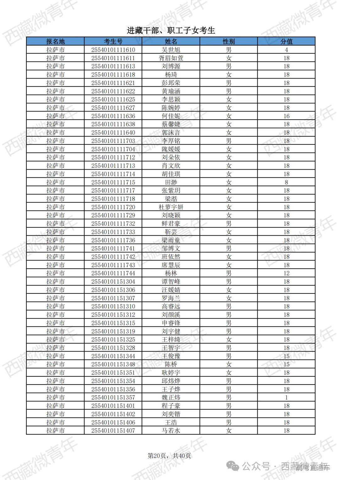
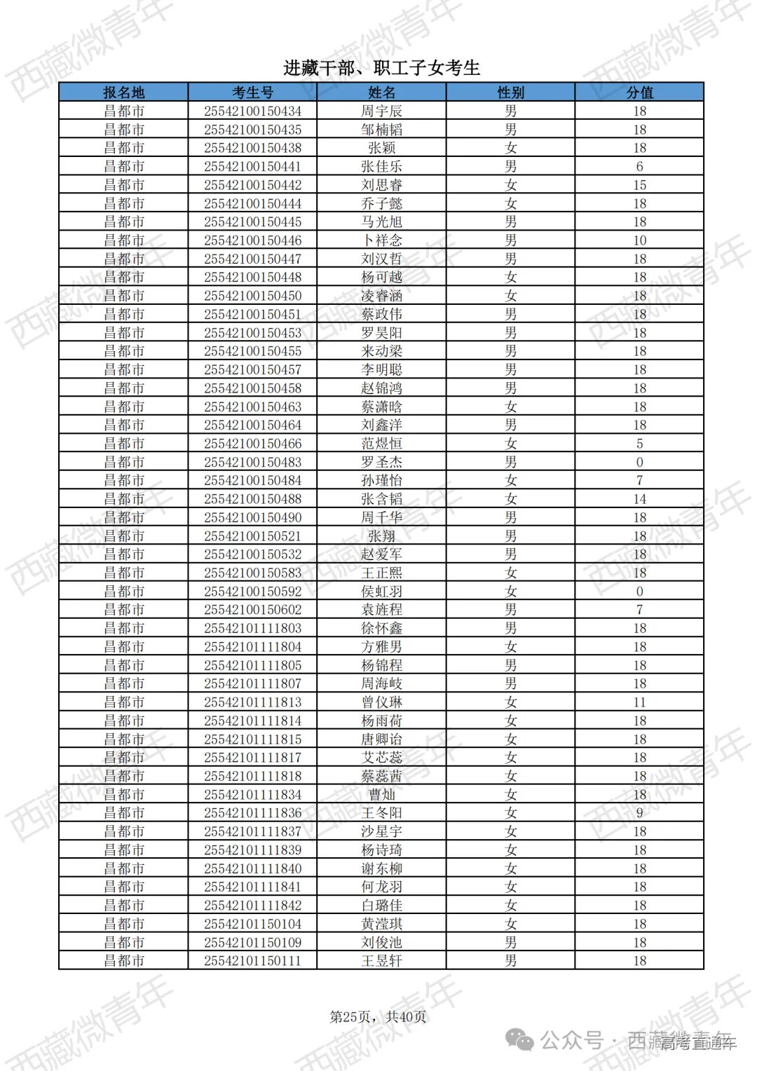
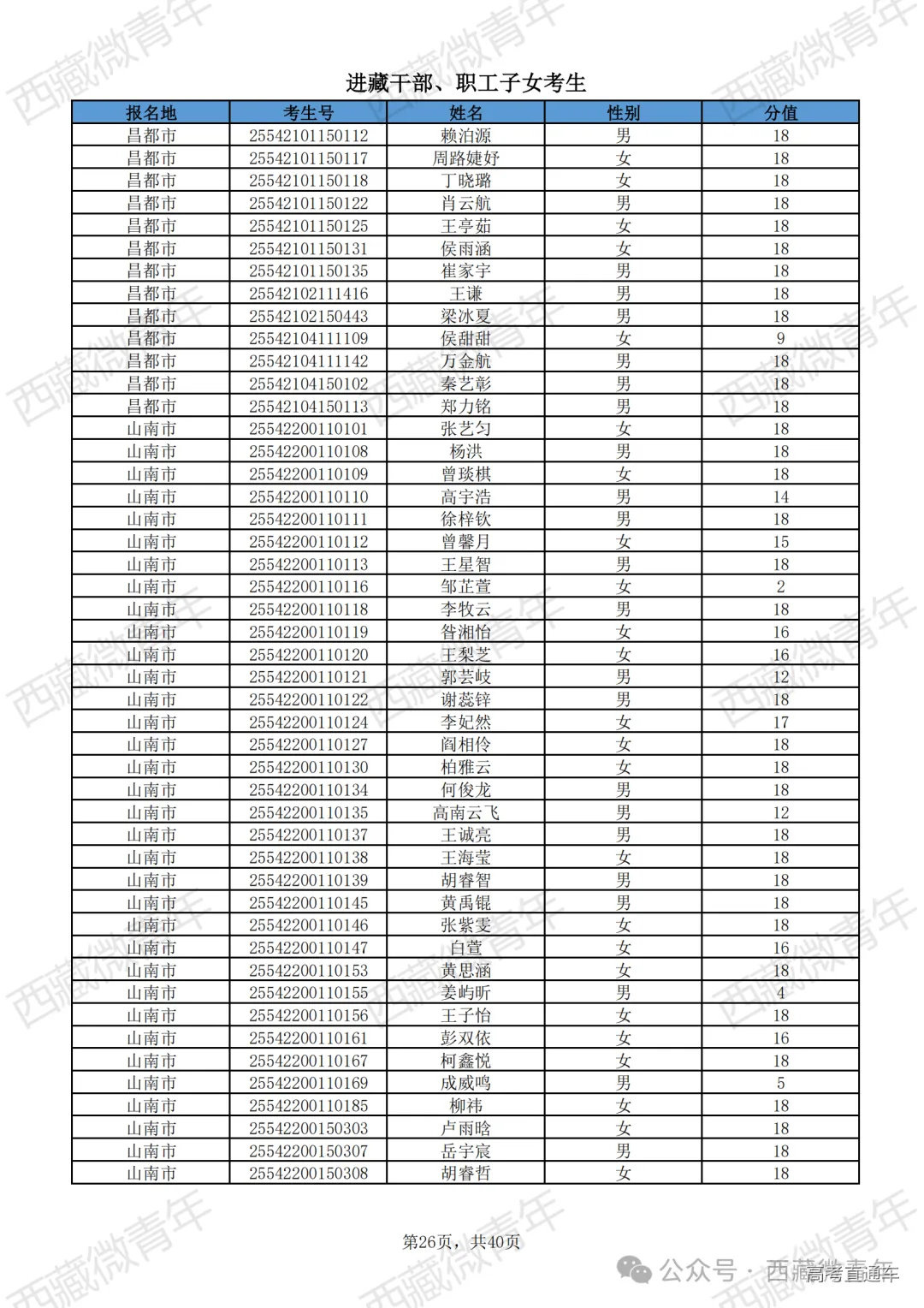
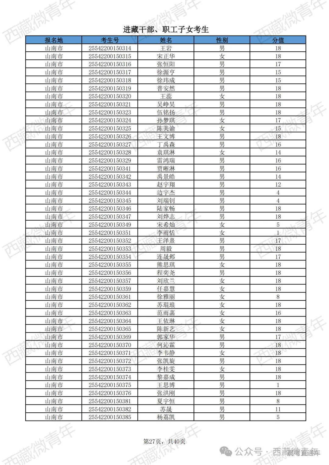
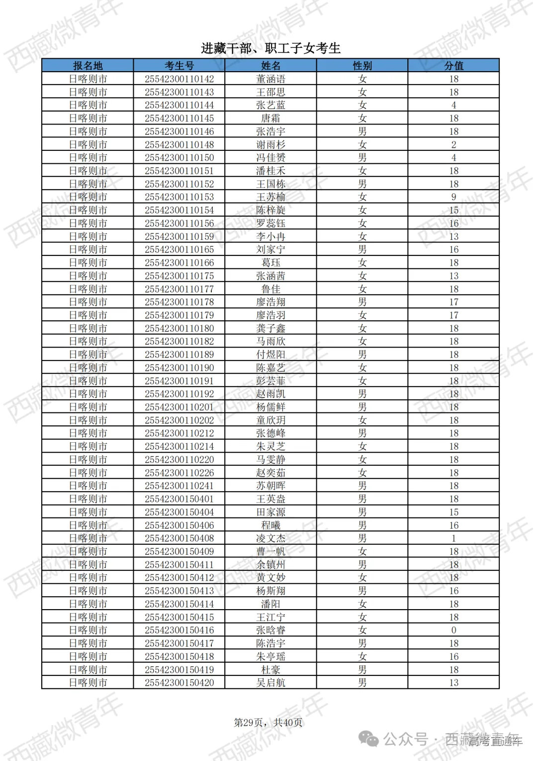
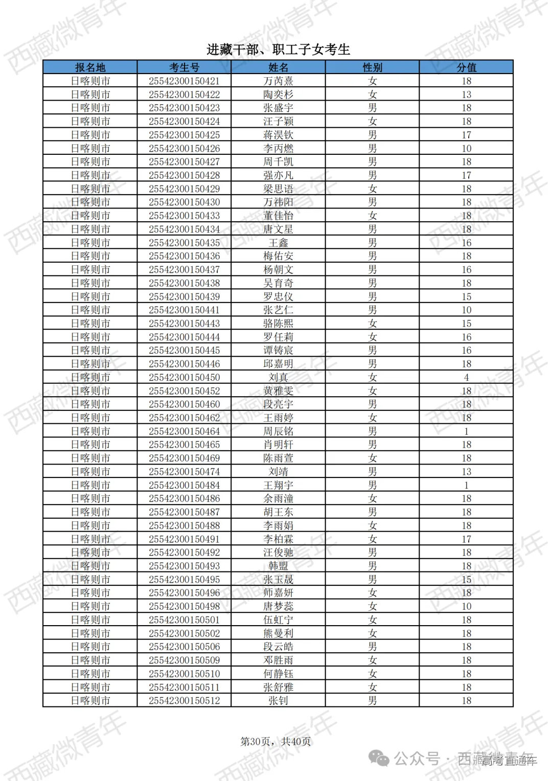
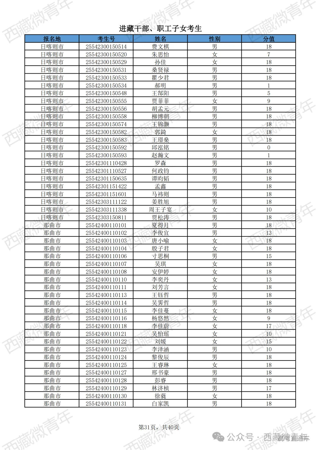
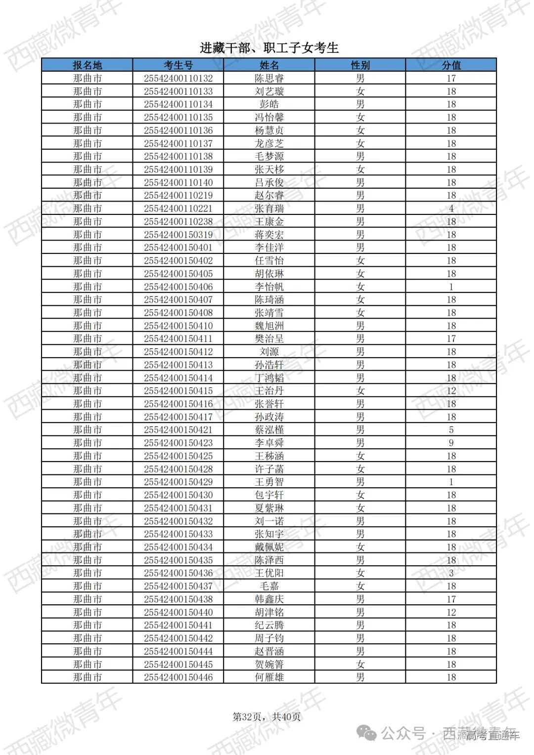
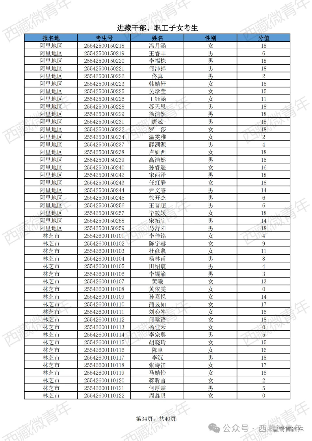
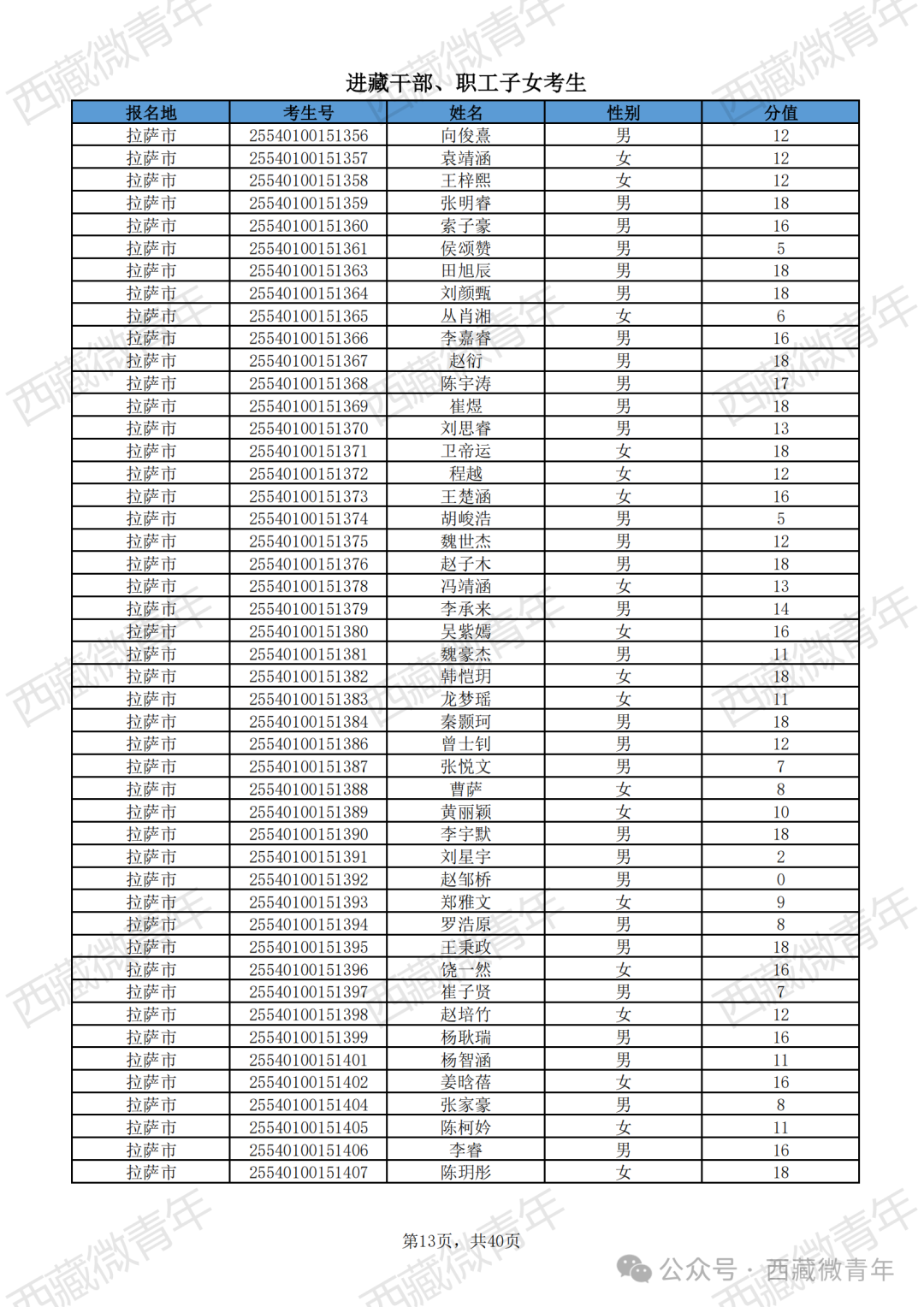
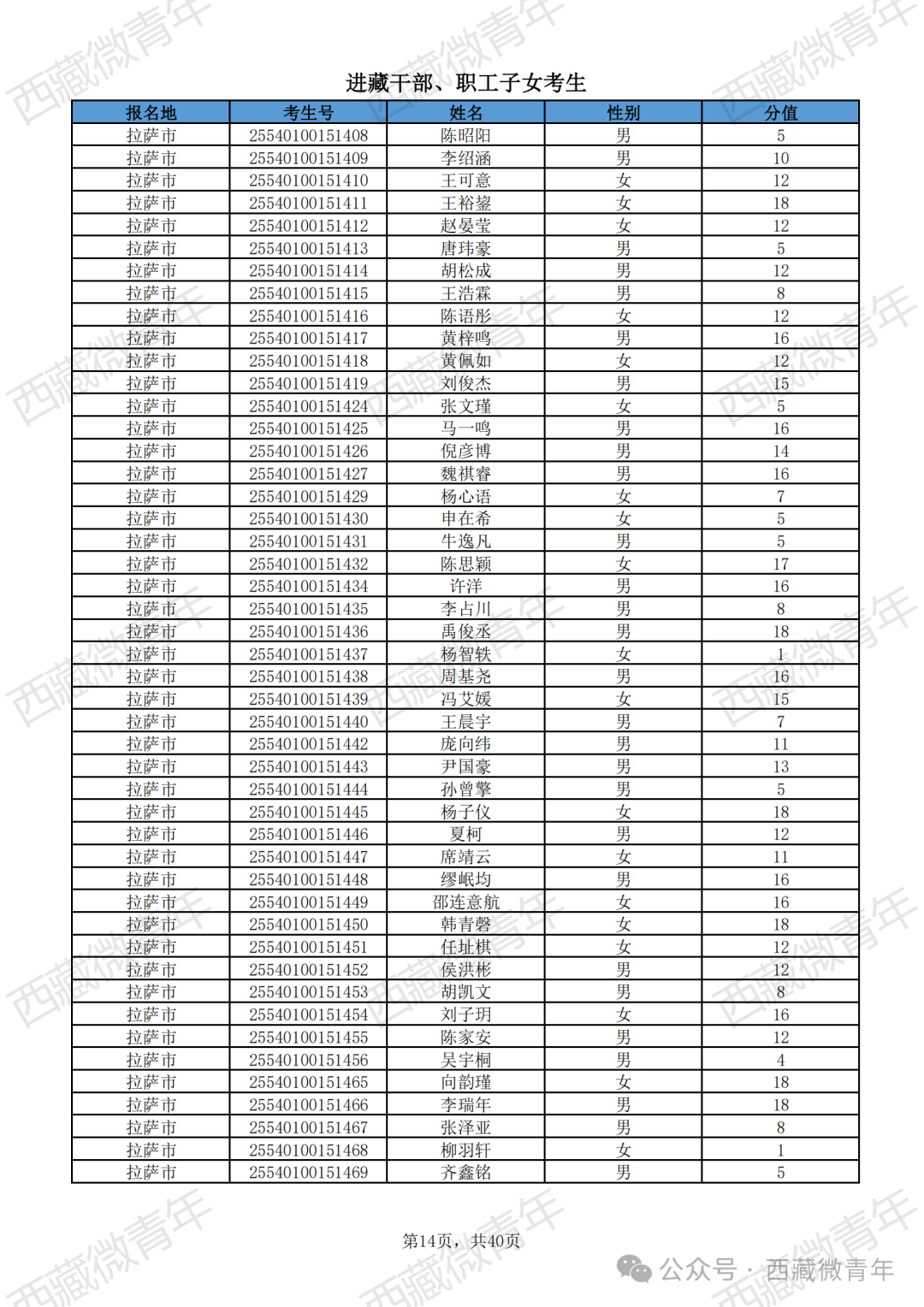
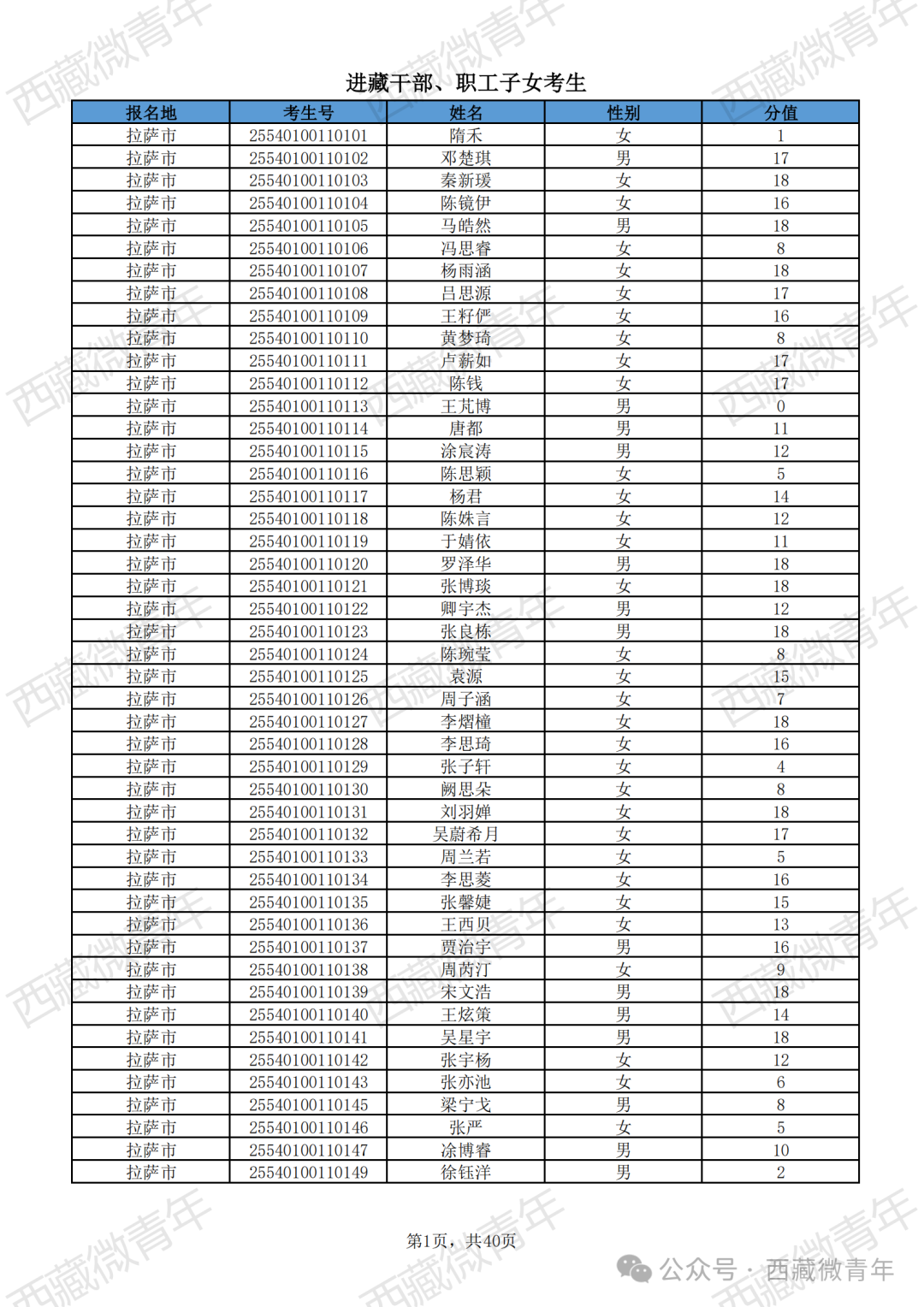
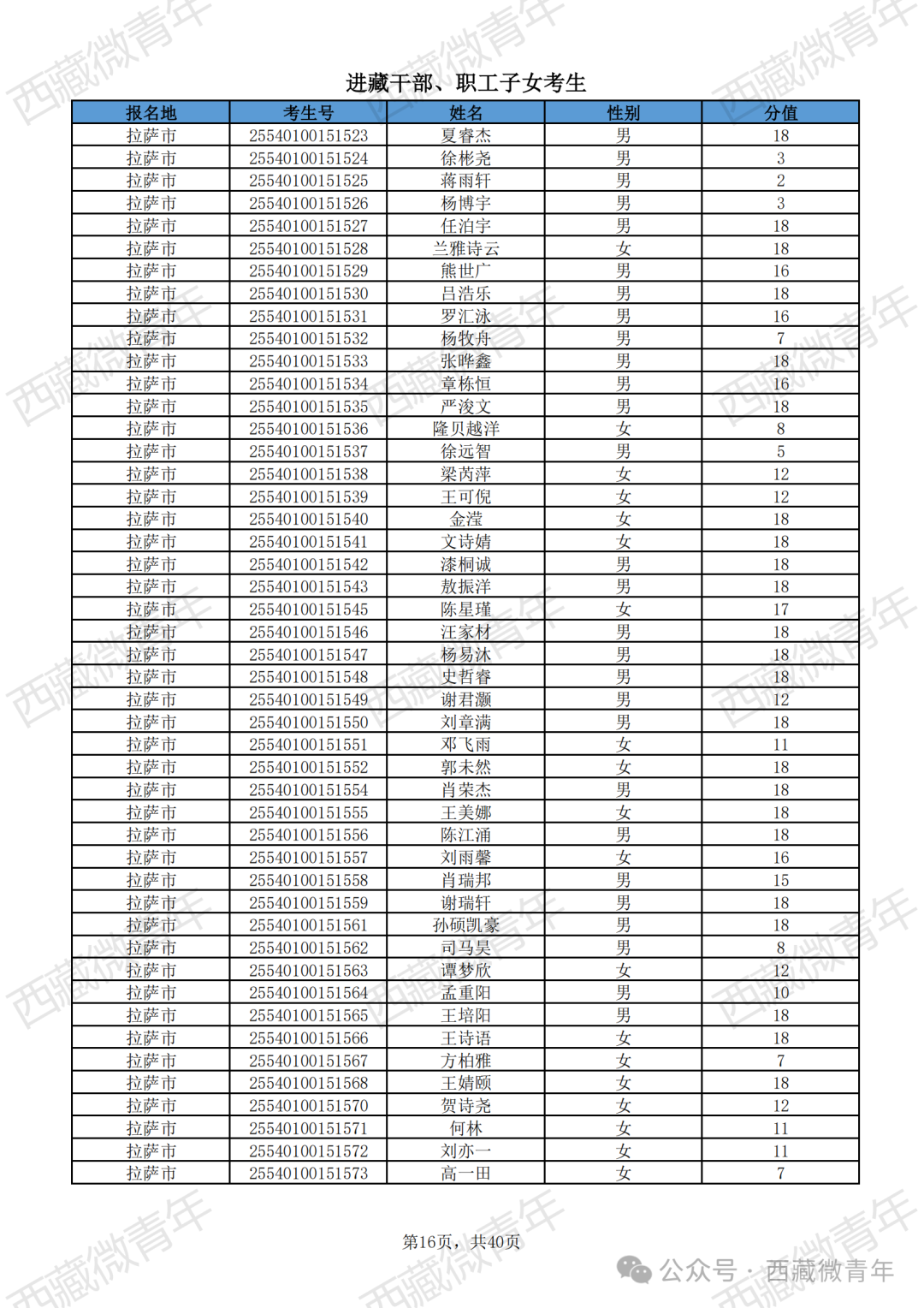
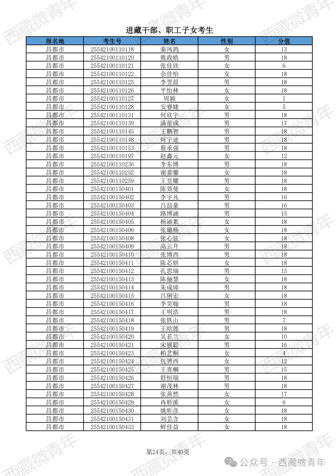
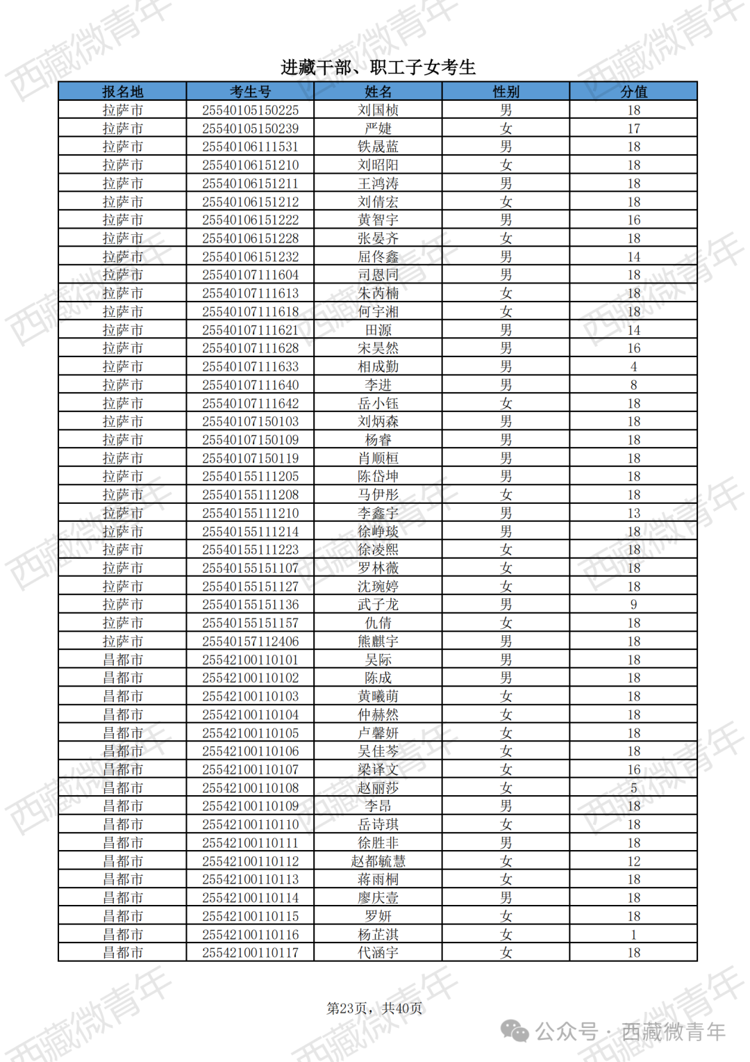
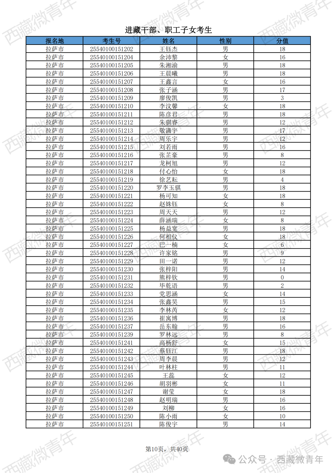
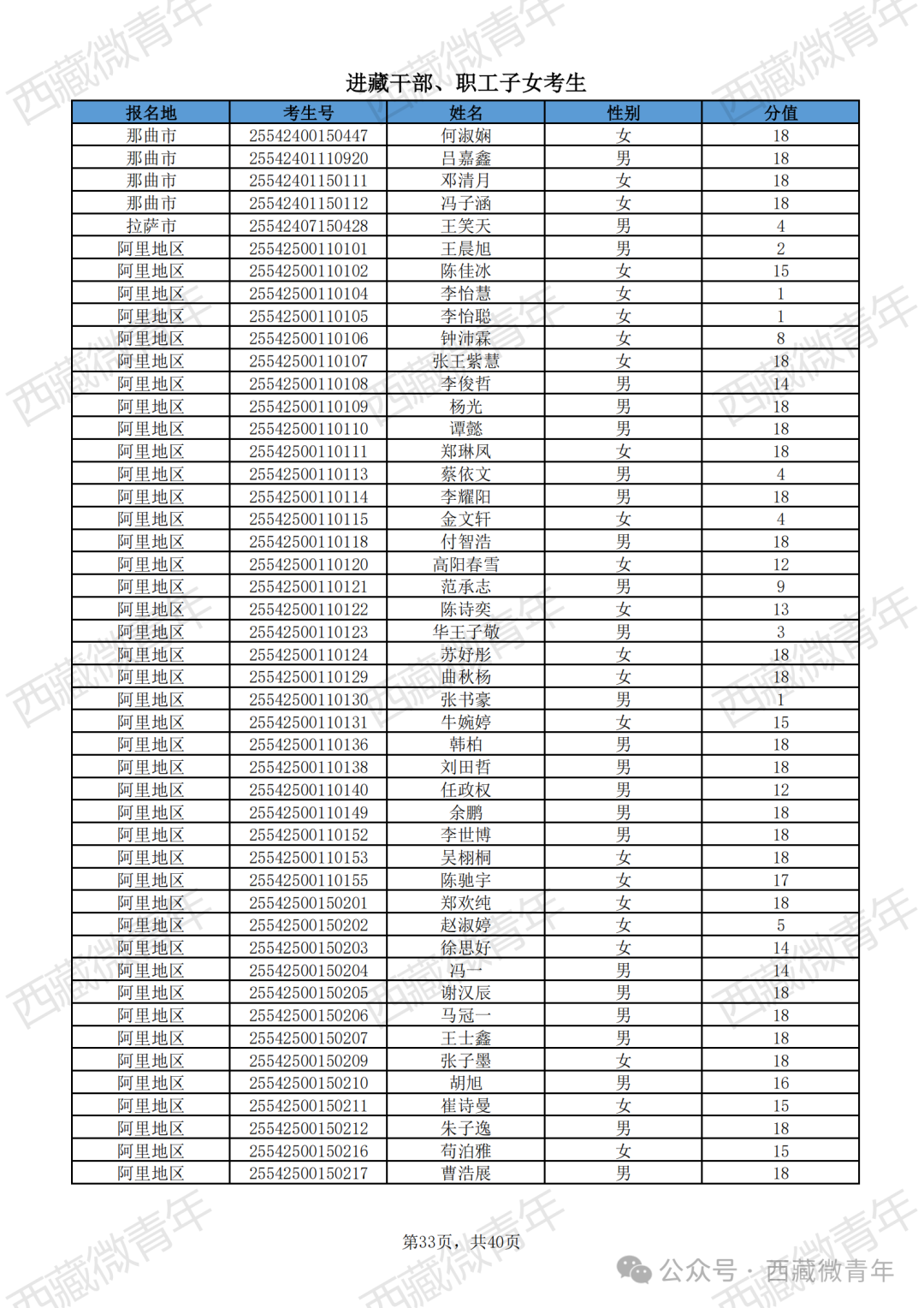
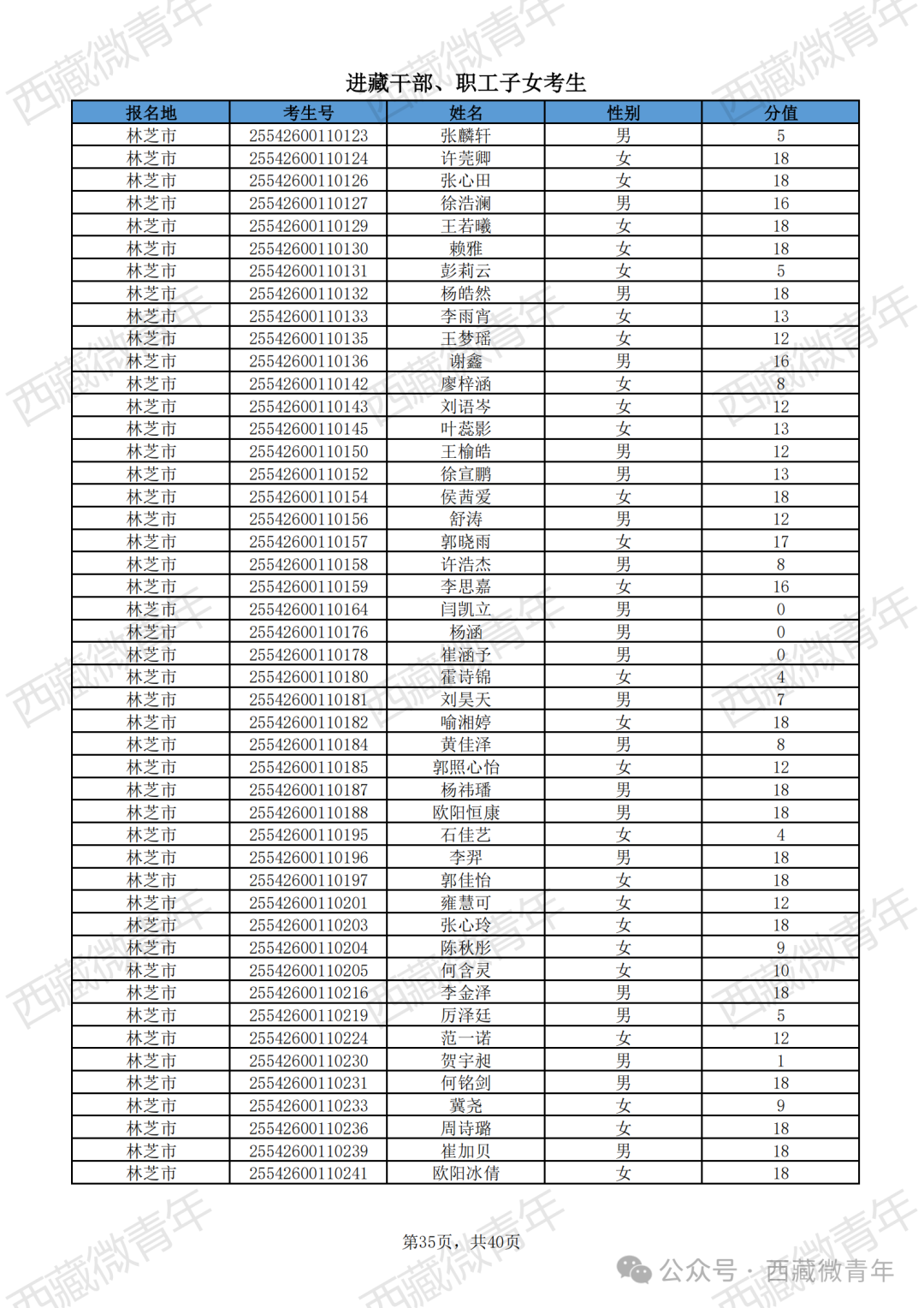
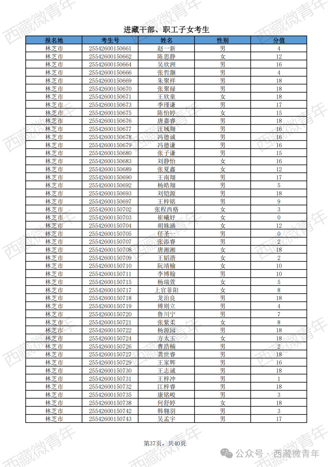
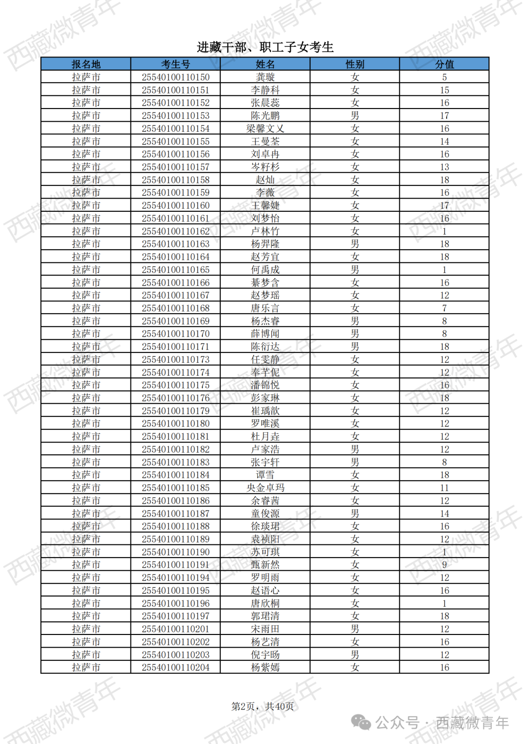
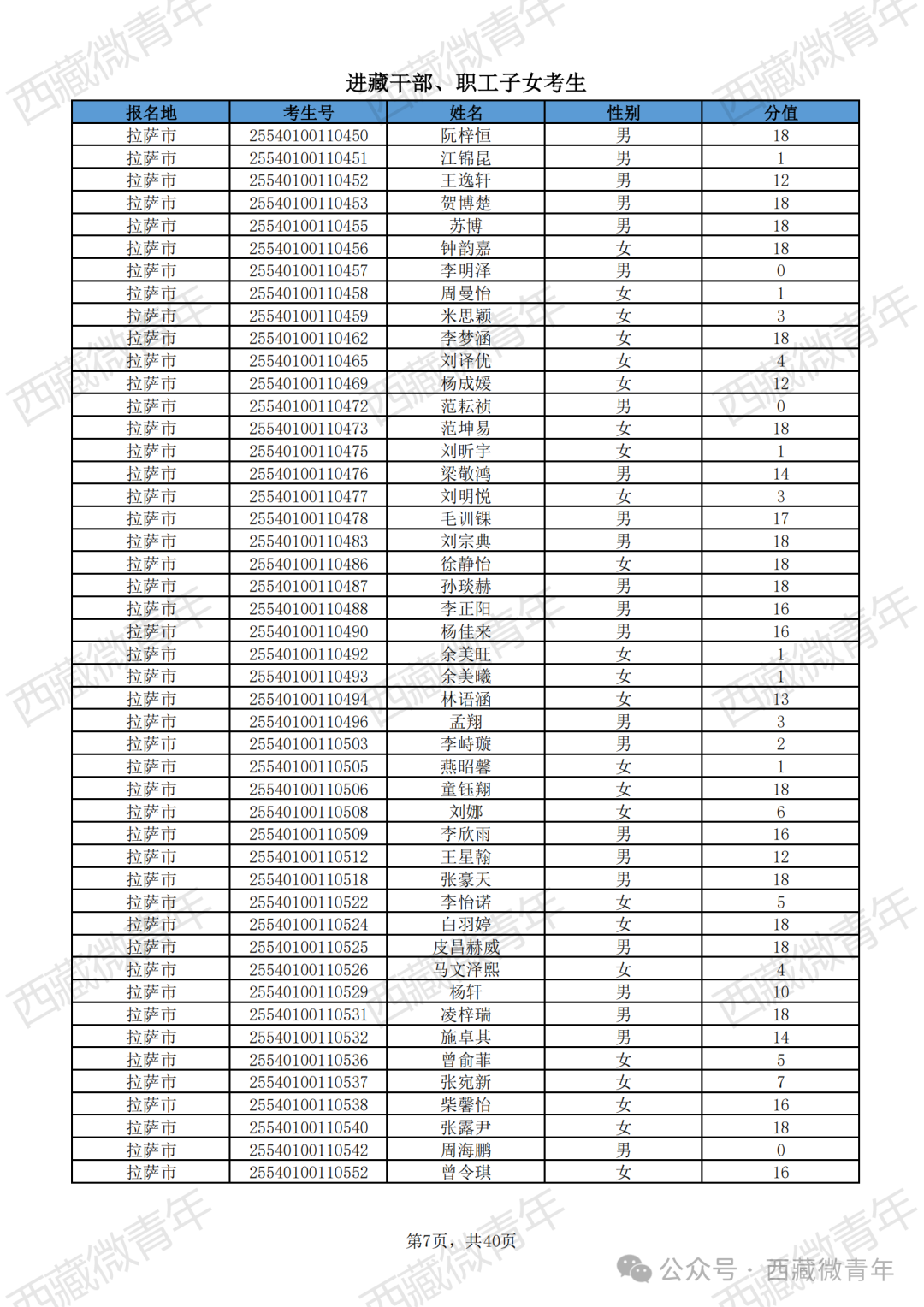
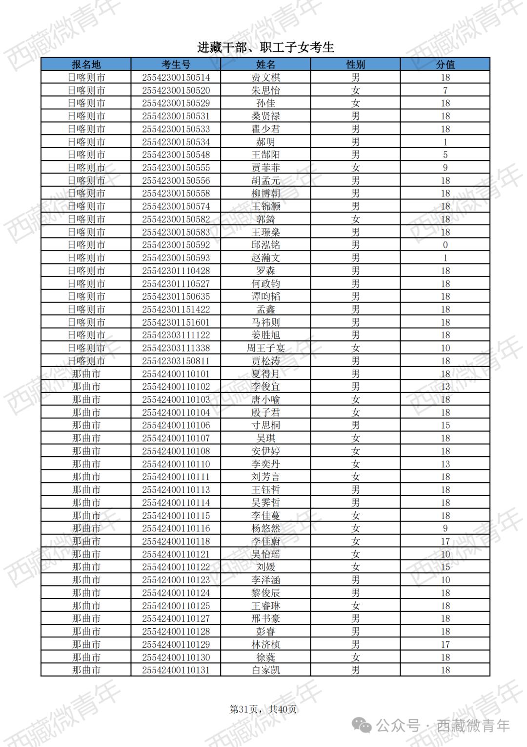
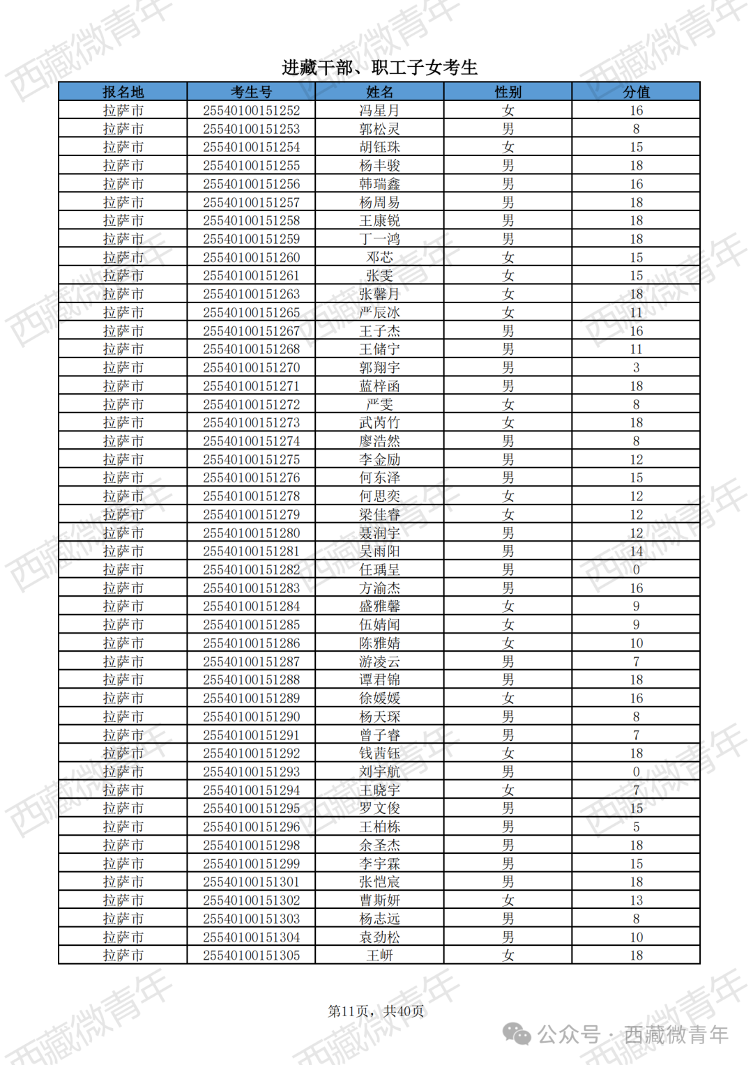
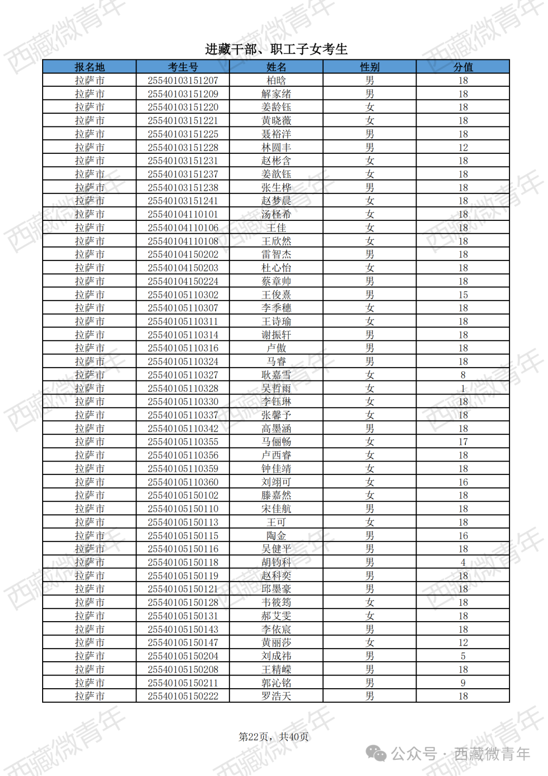
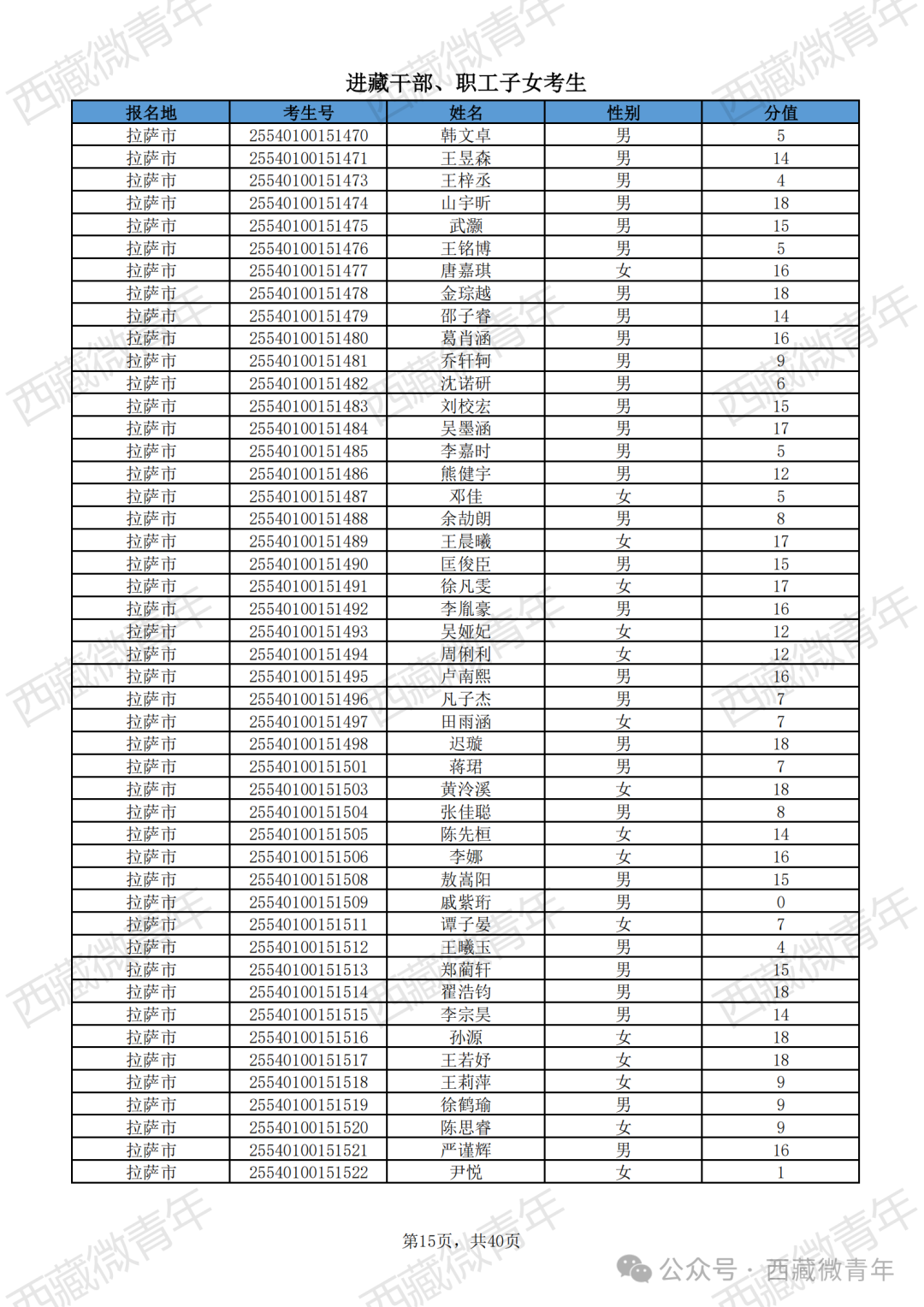
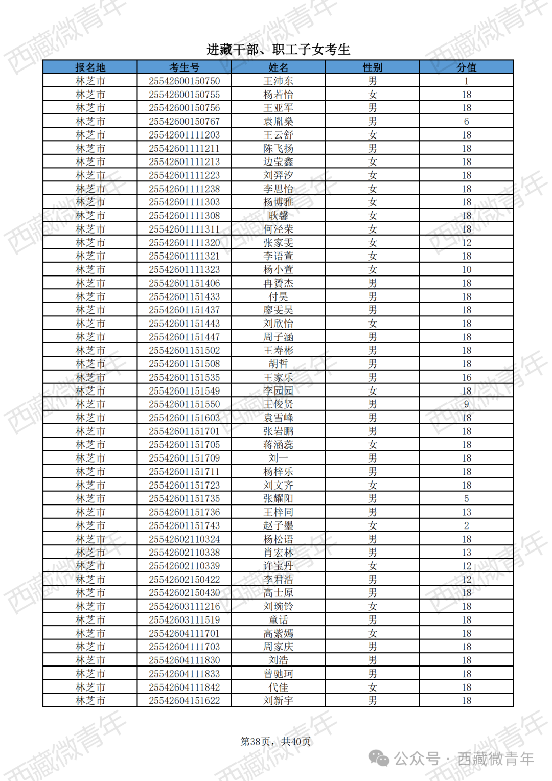
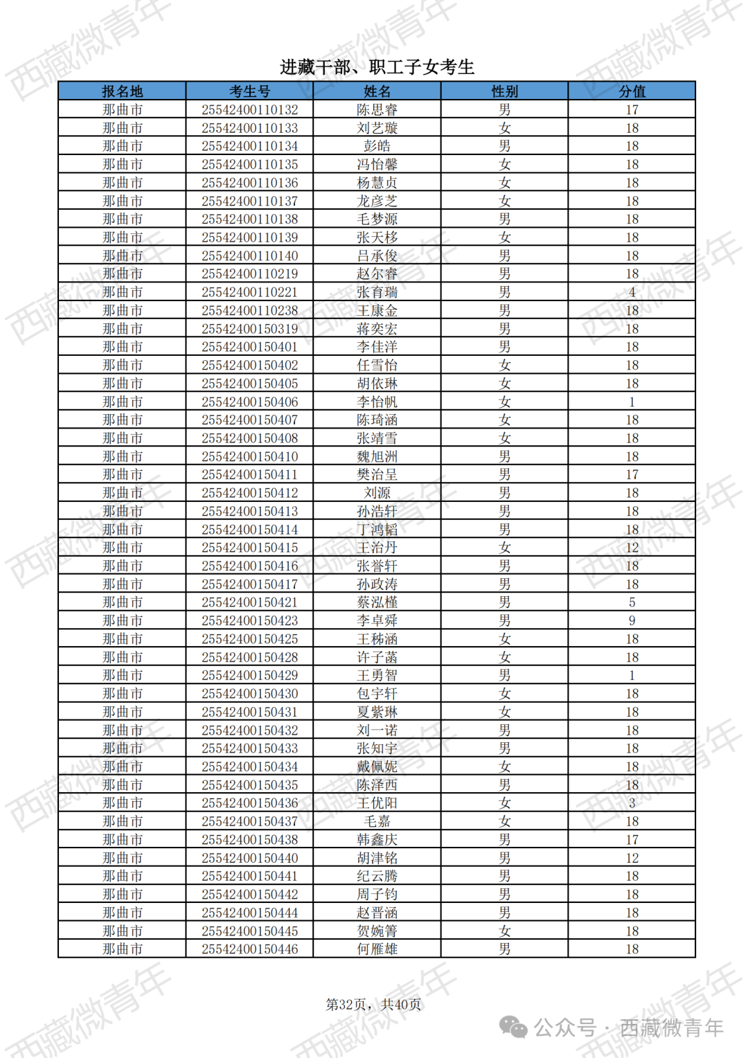
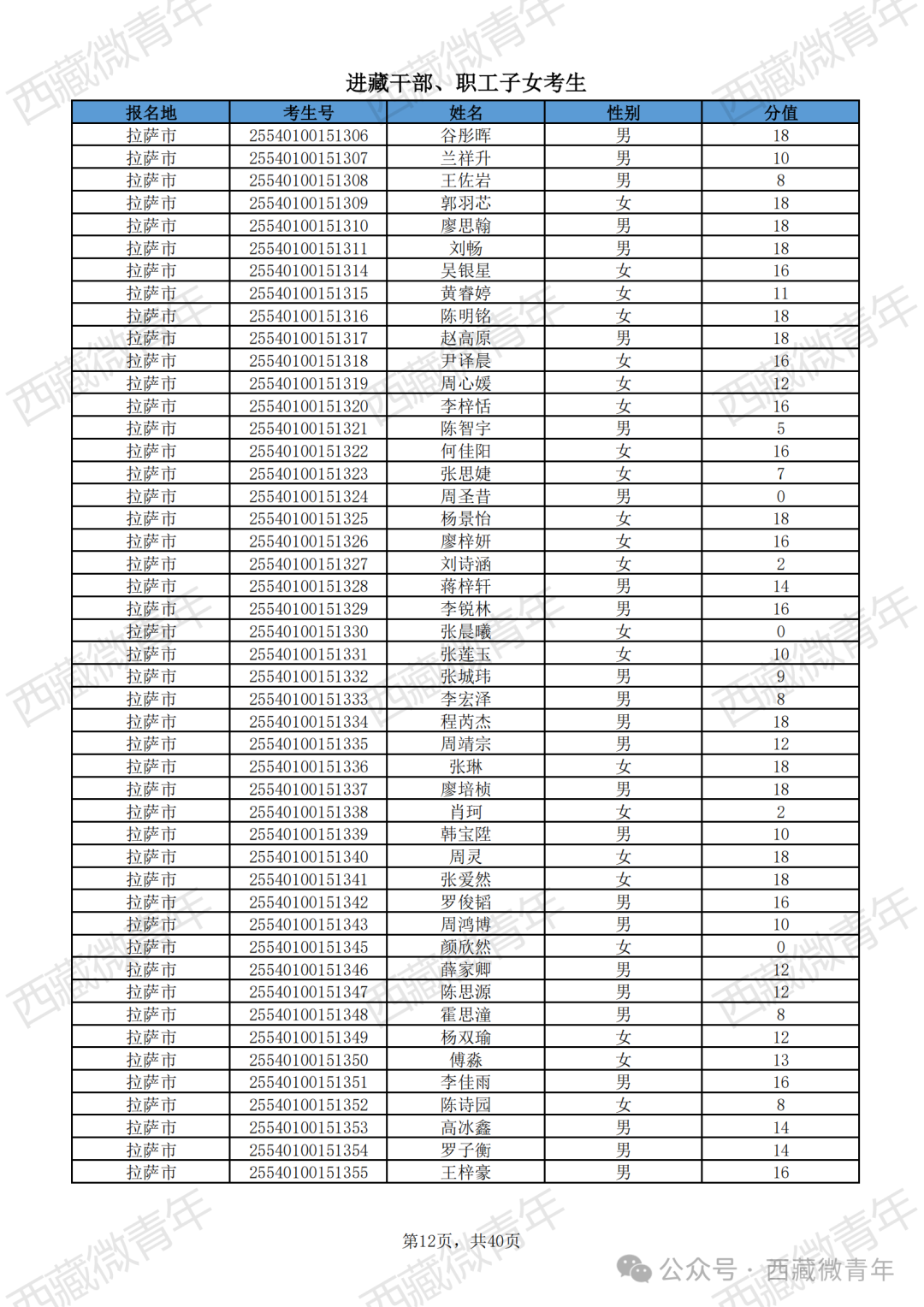
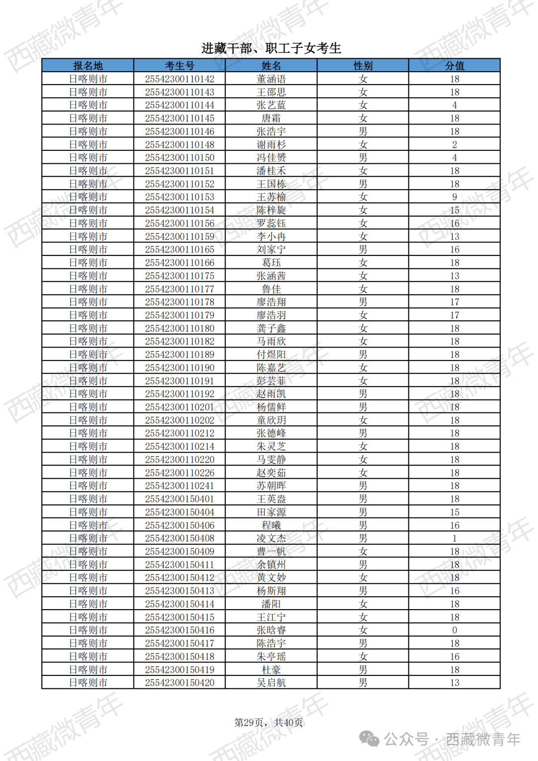
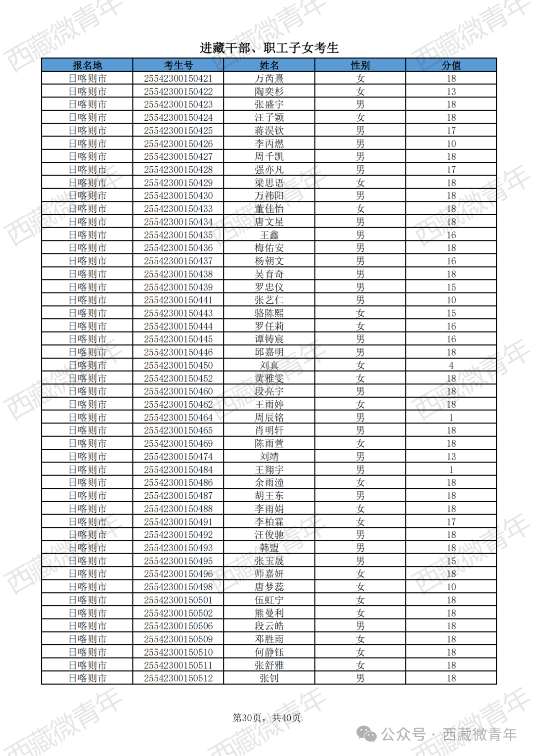
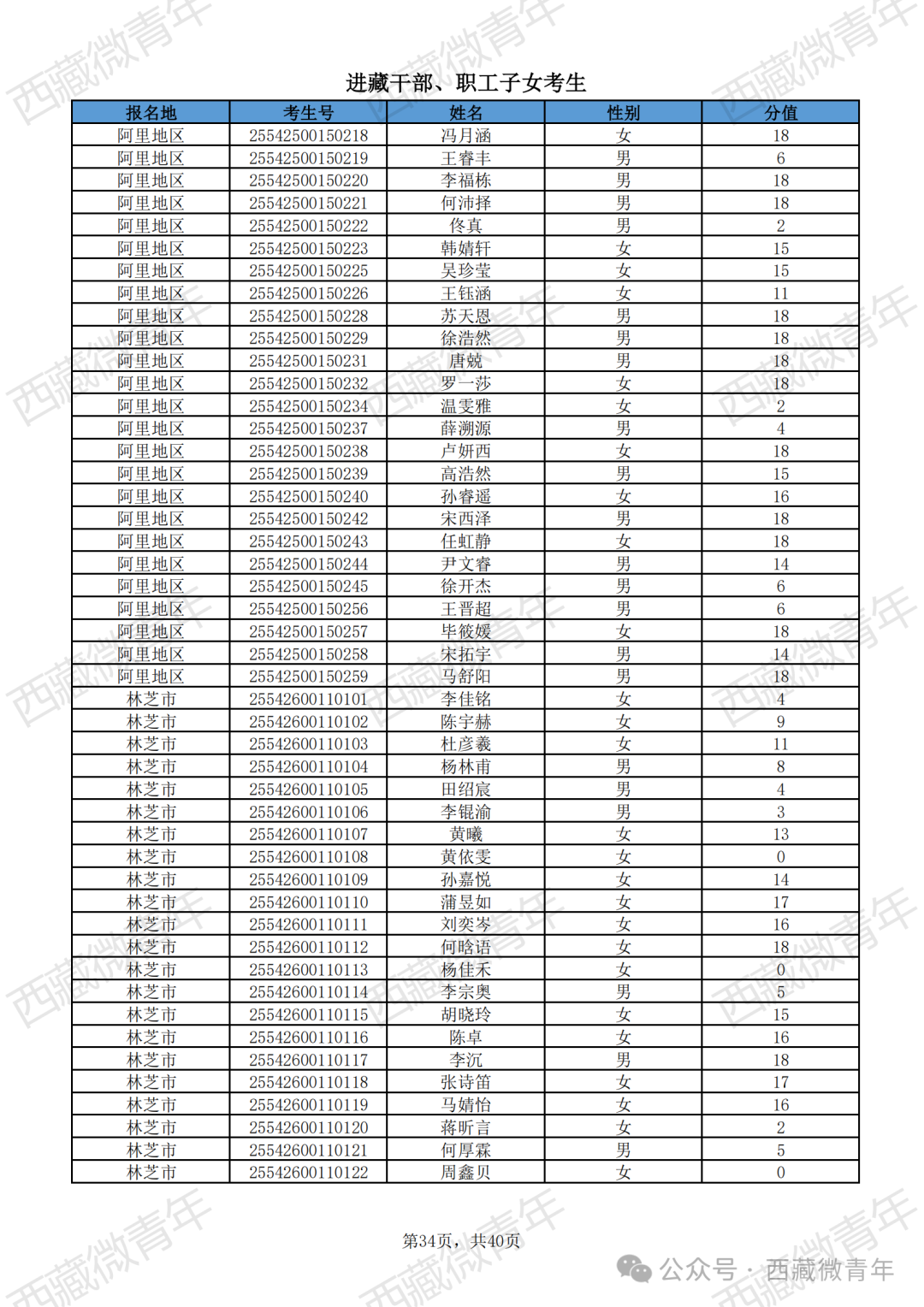
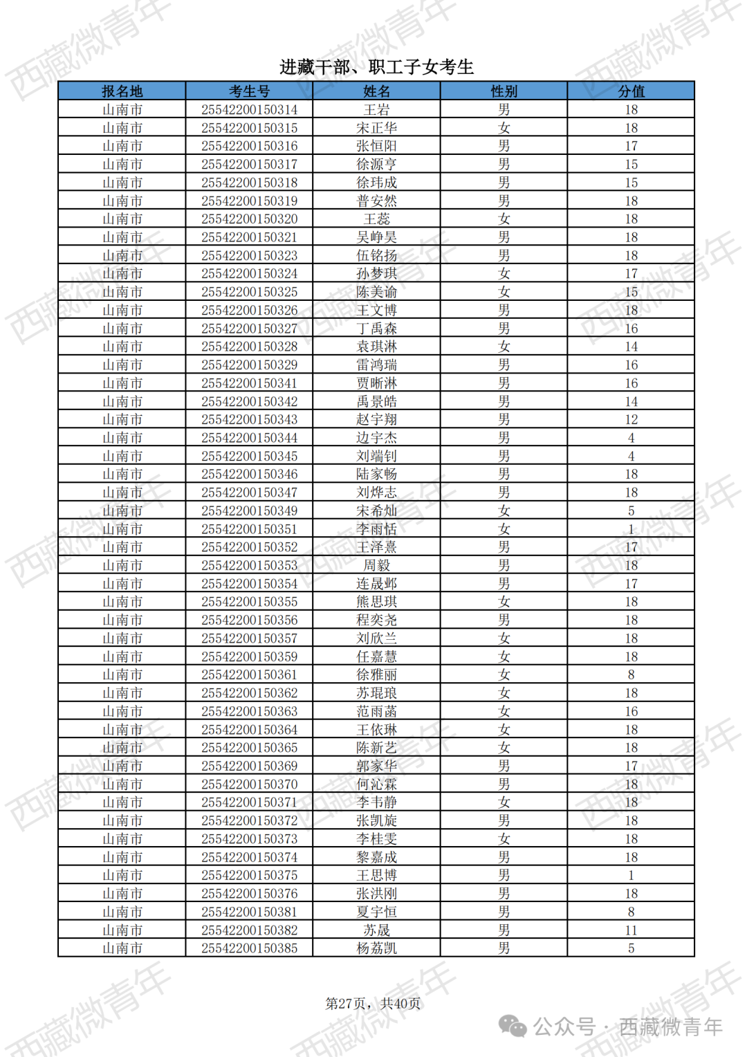
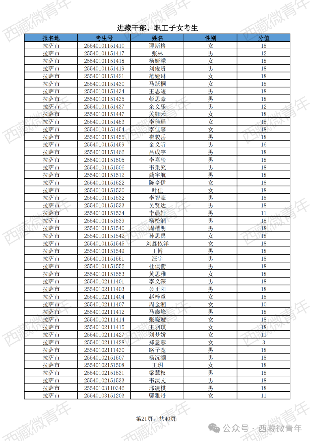
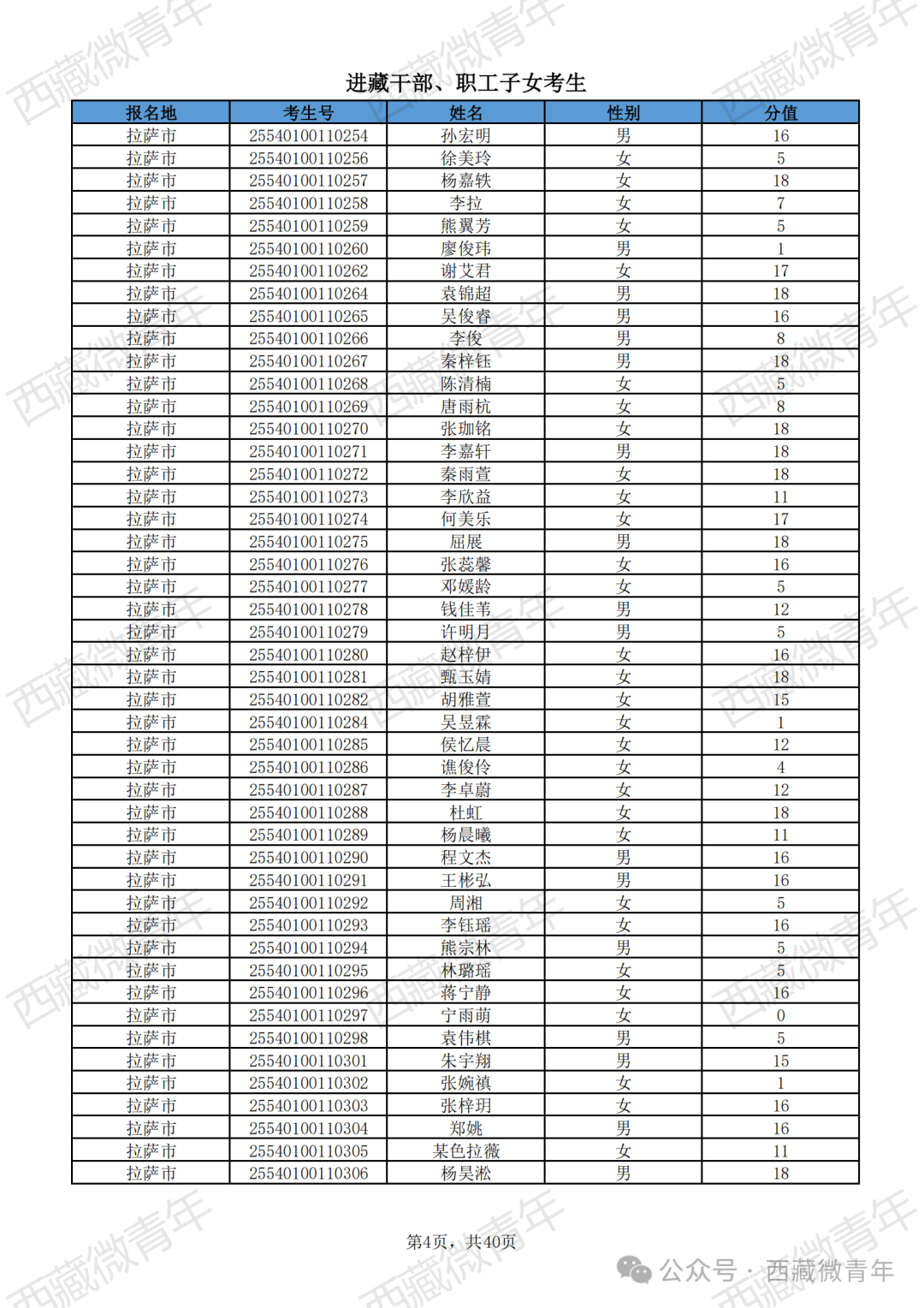
3.进藏干部、职工子女考生(1845人)








































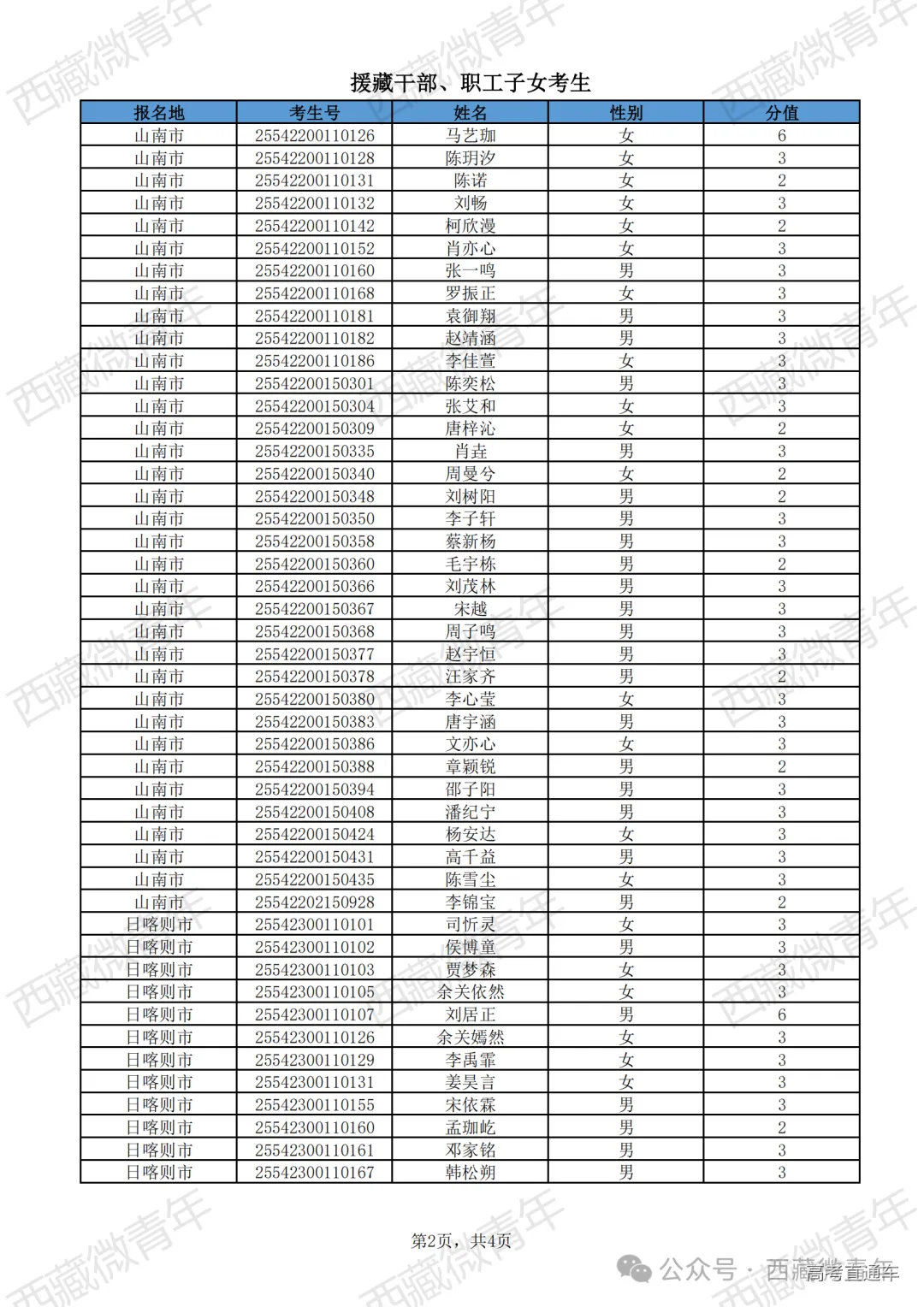
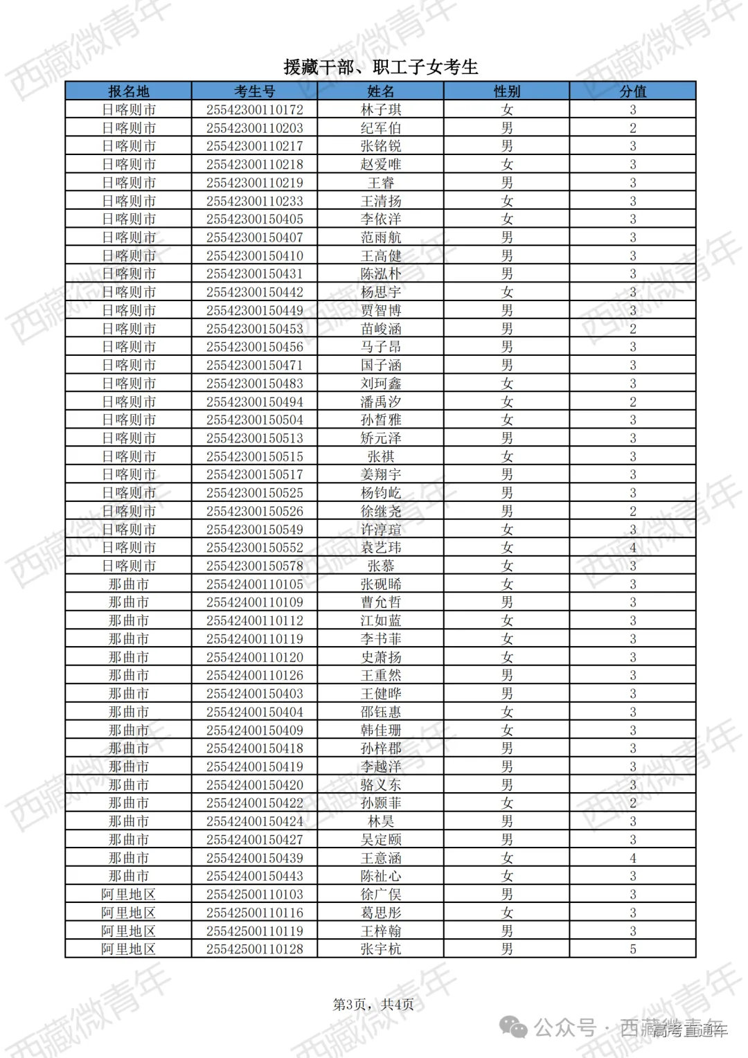
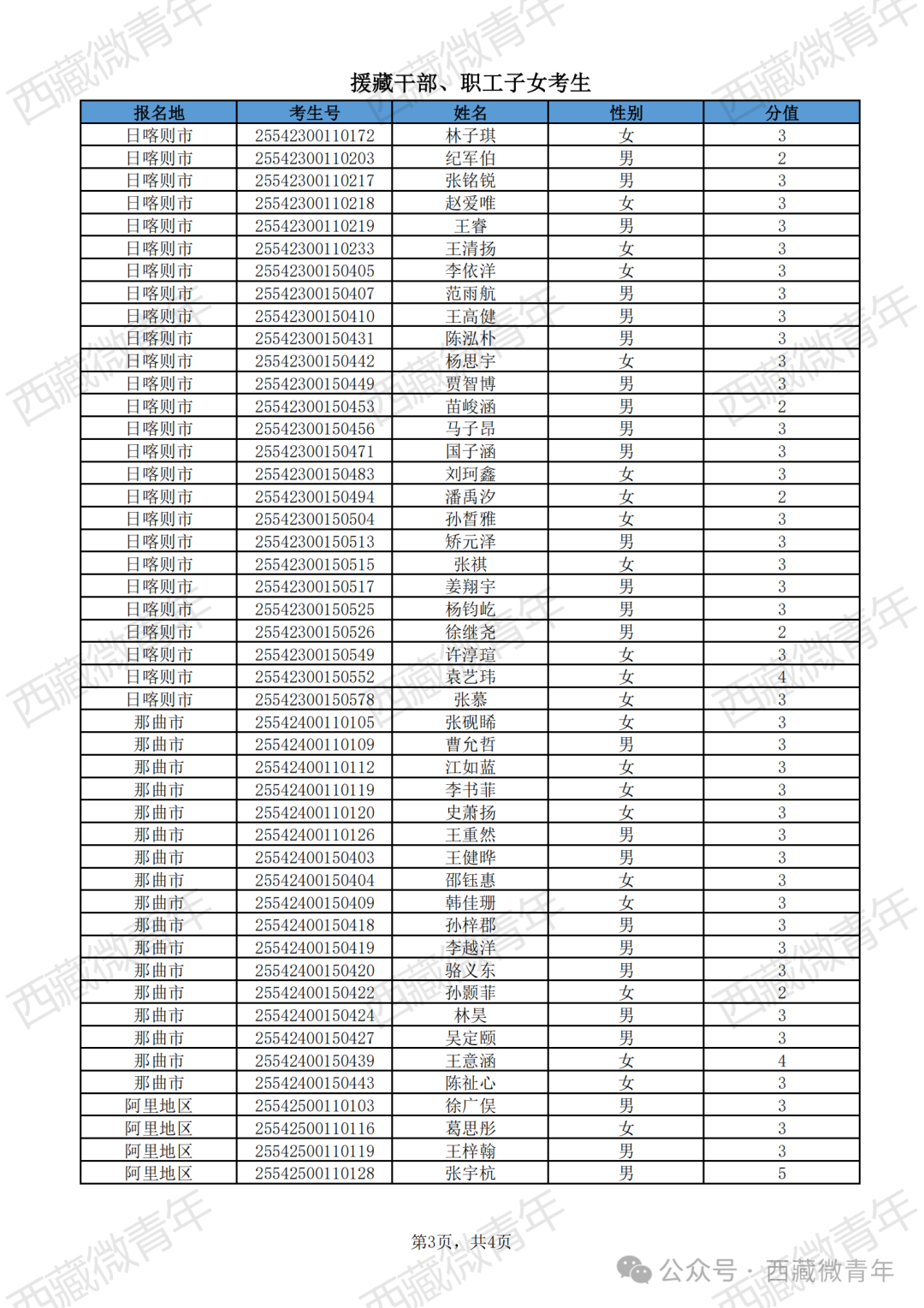
4.援藏干部、职工子女考生(178人)




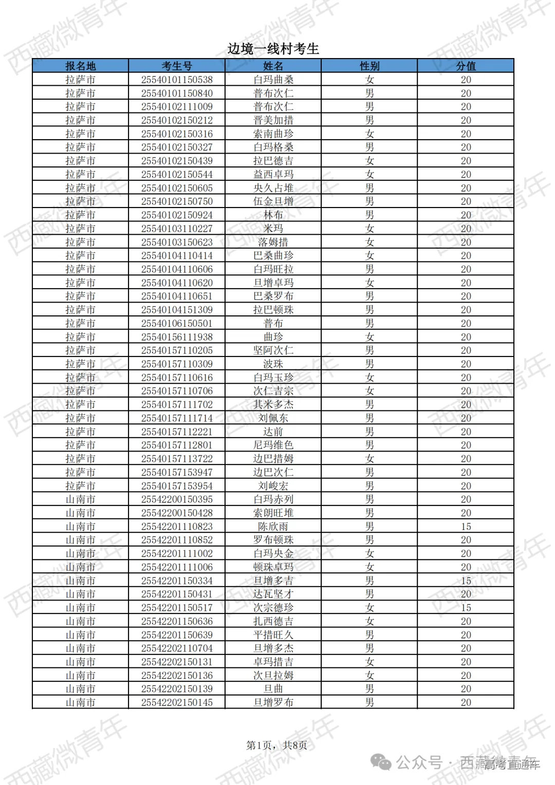
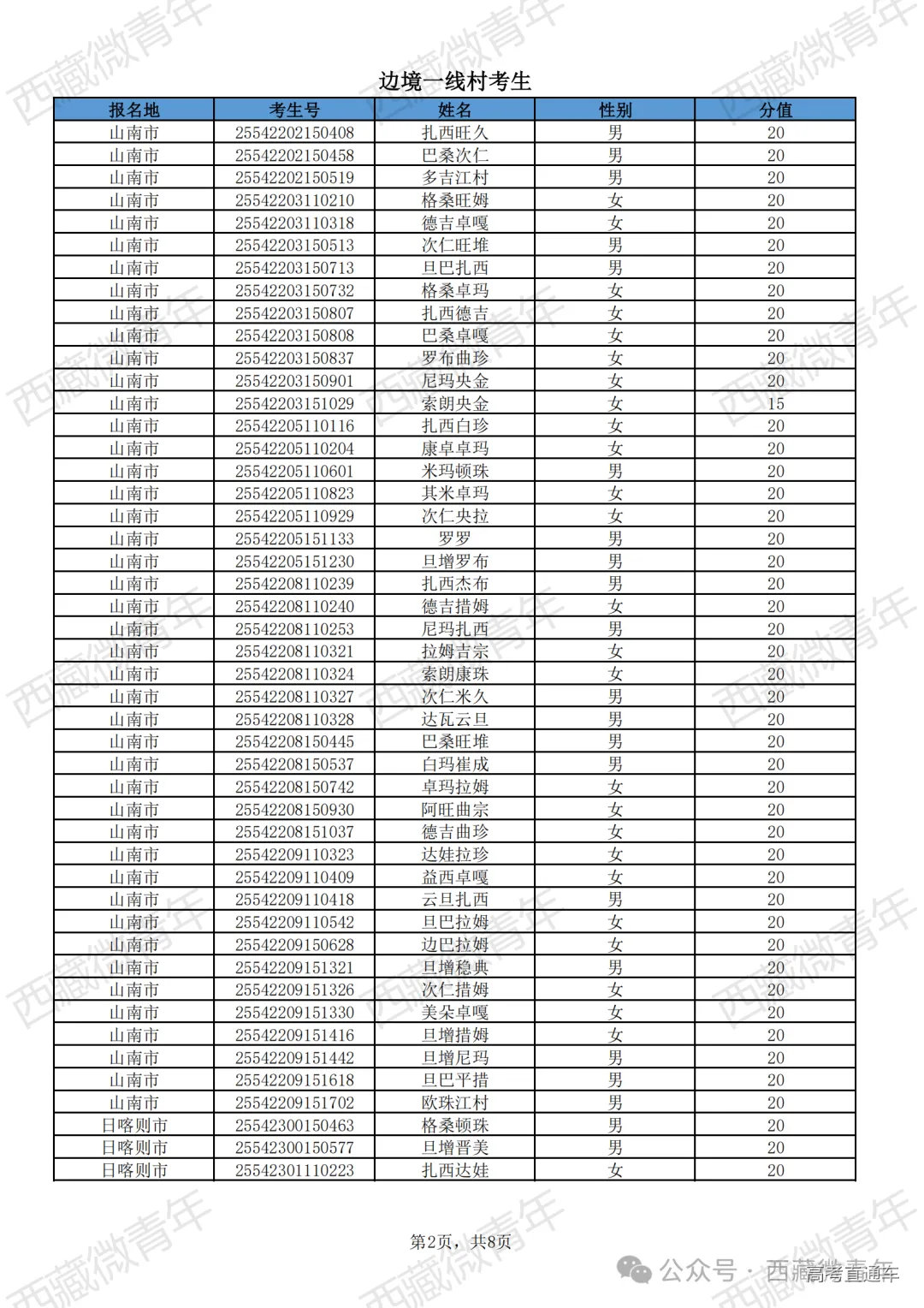
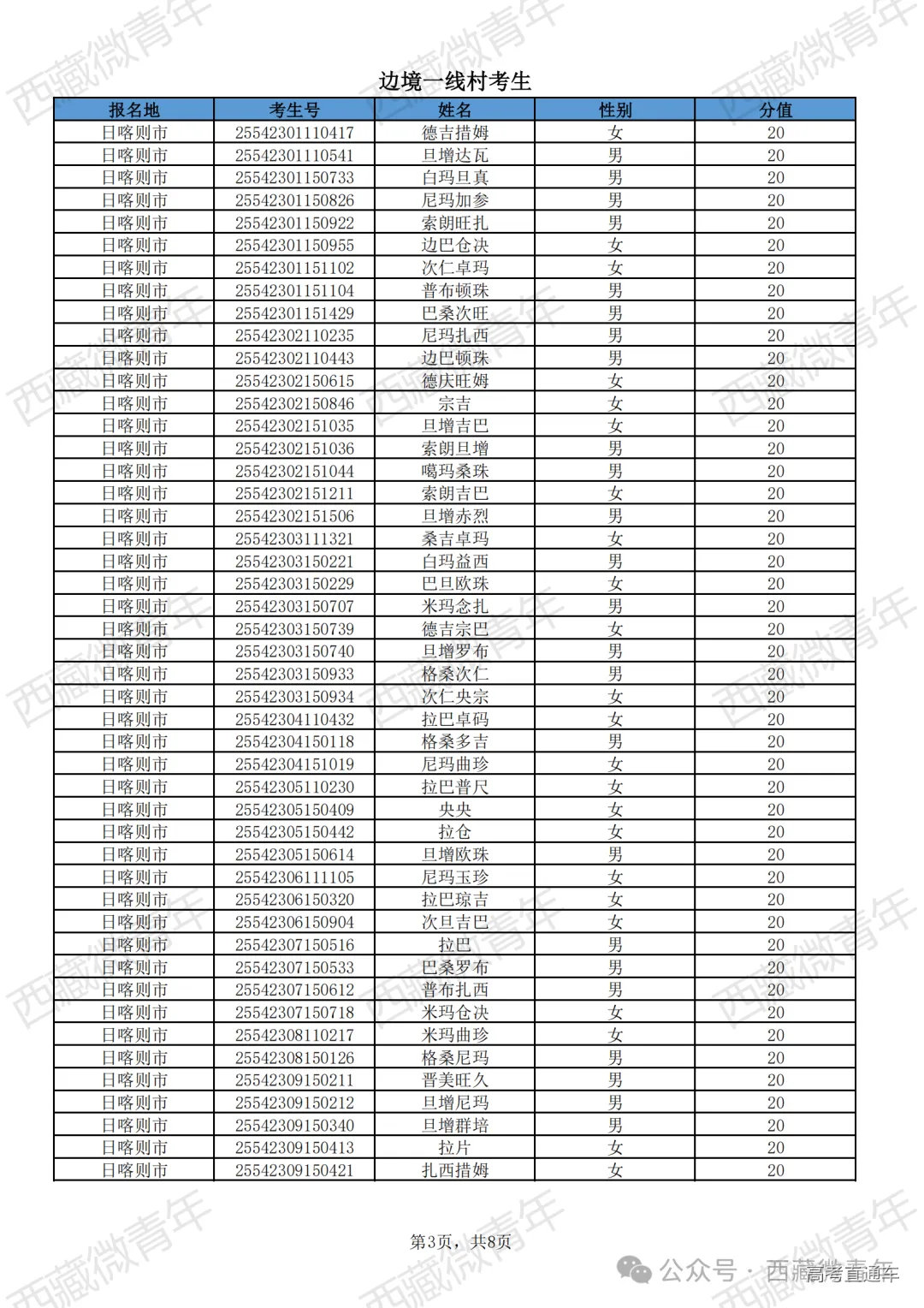
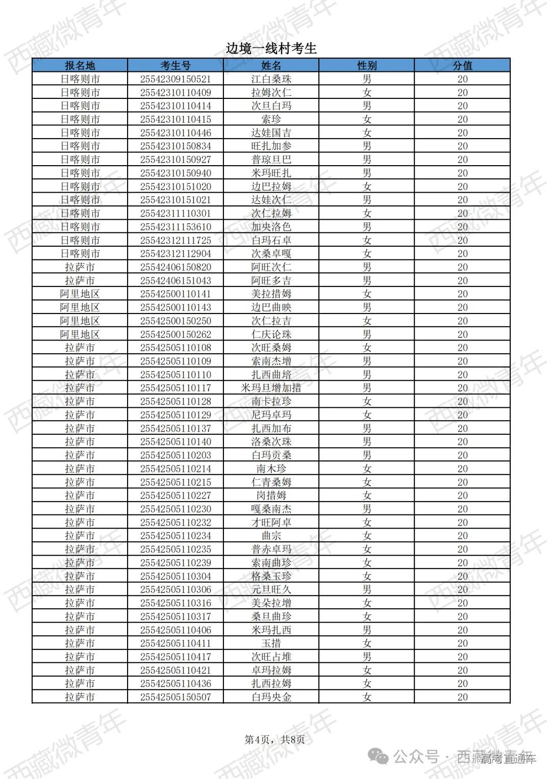
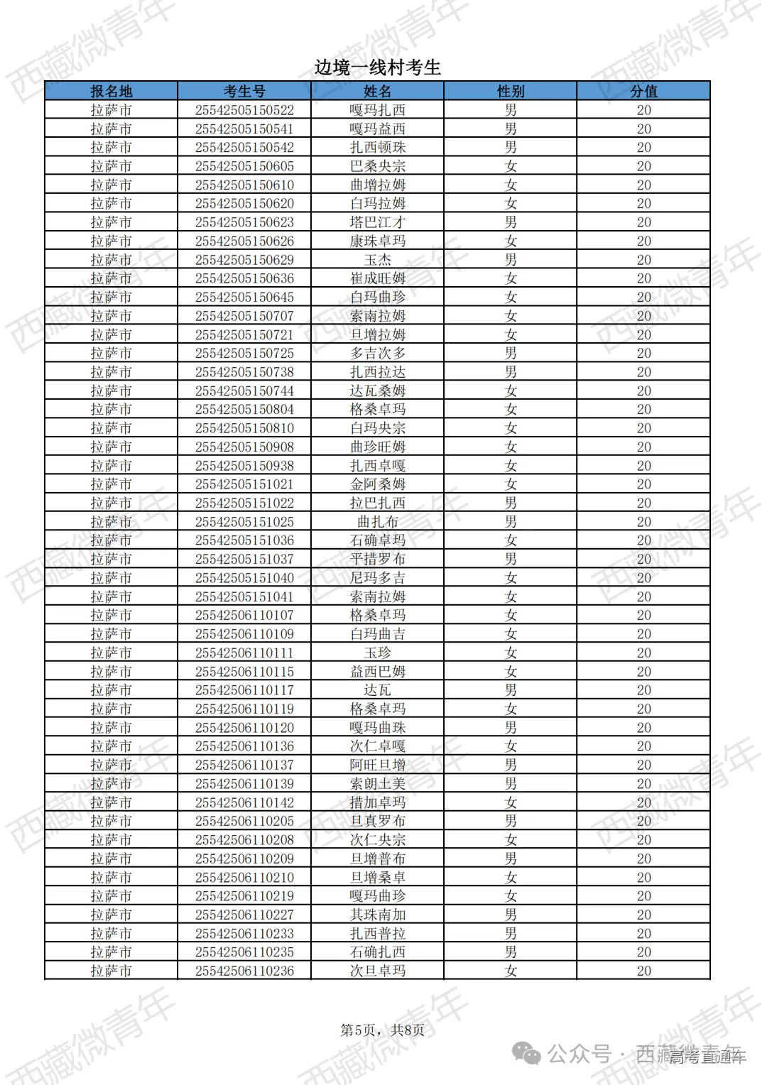
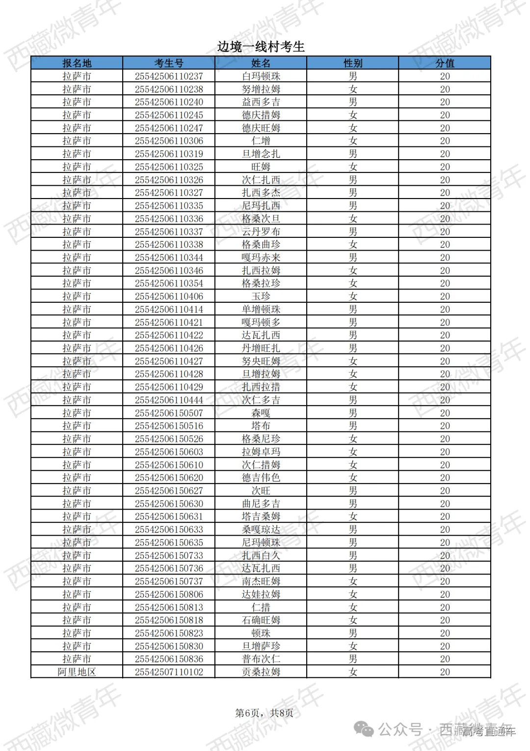
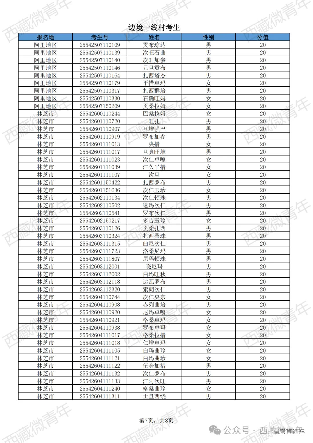
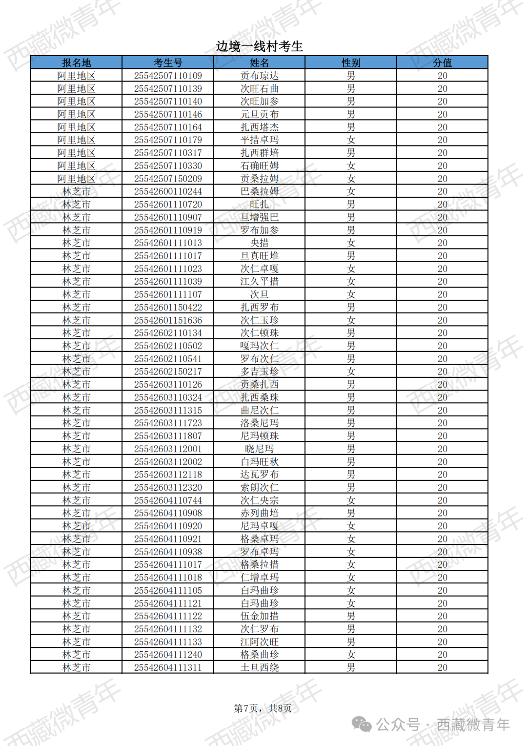
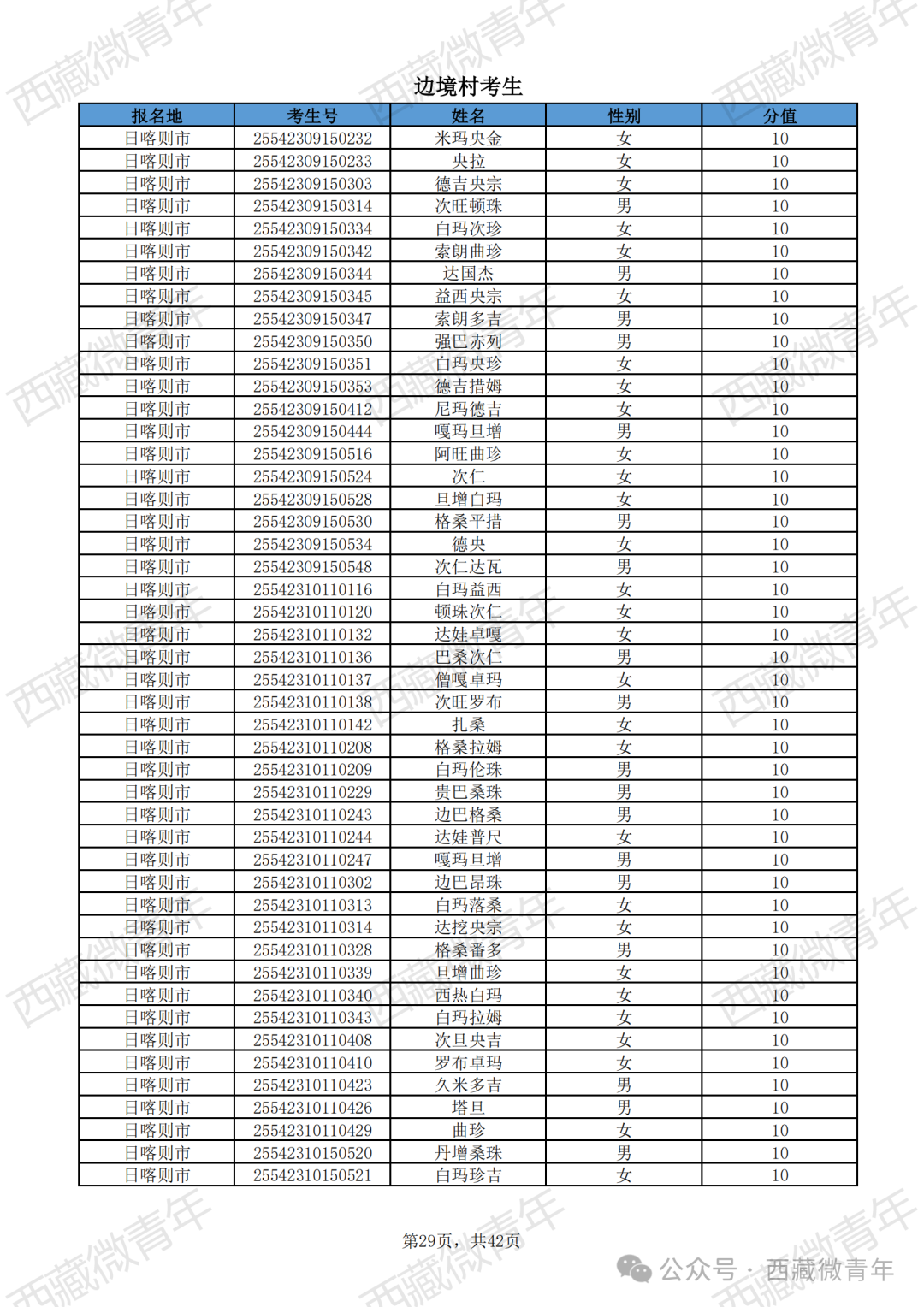
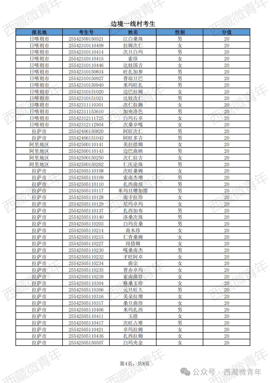
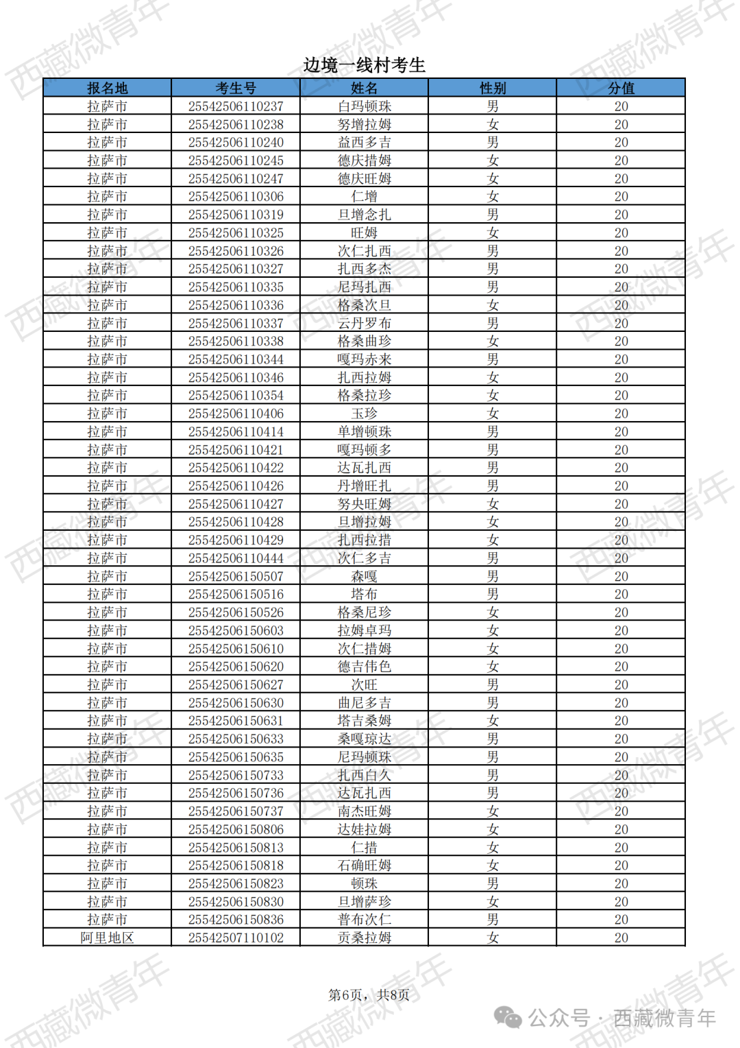
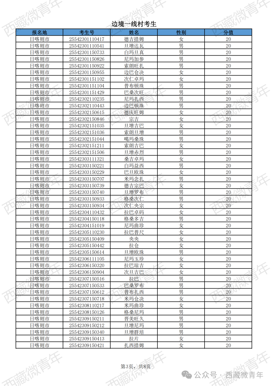
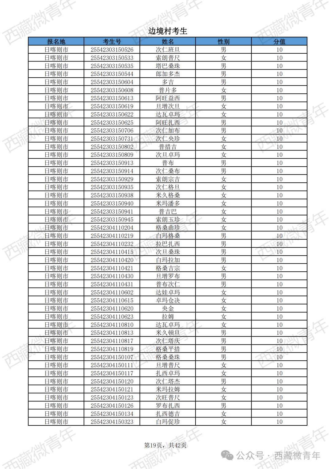
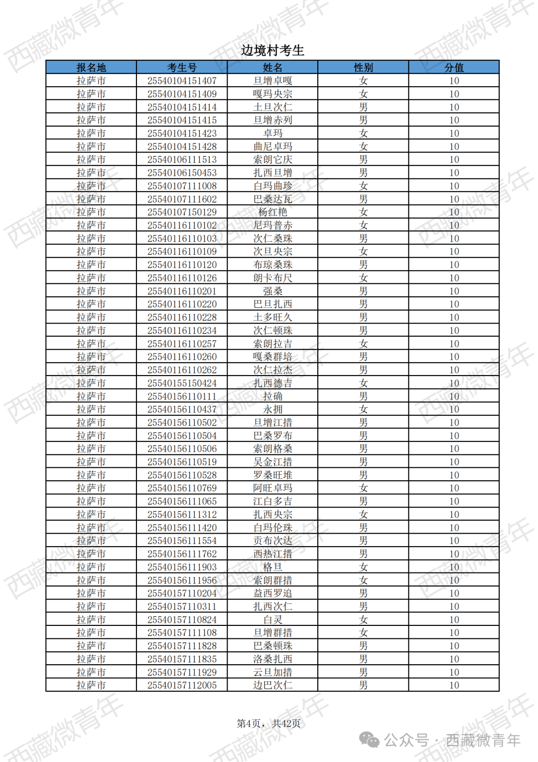
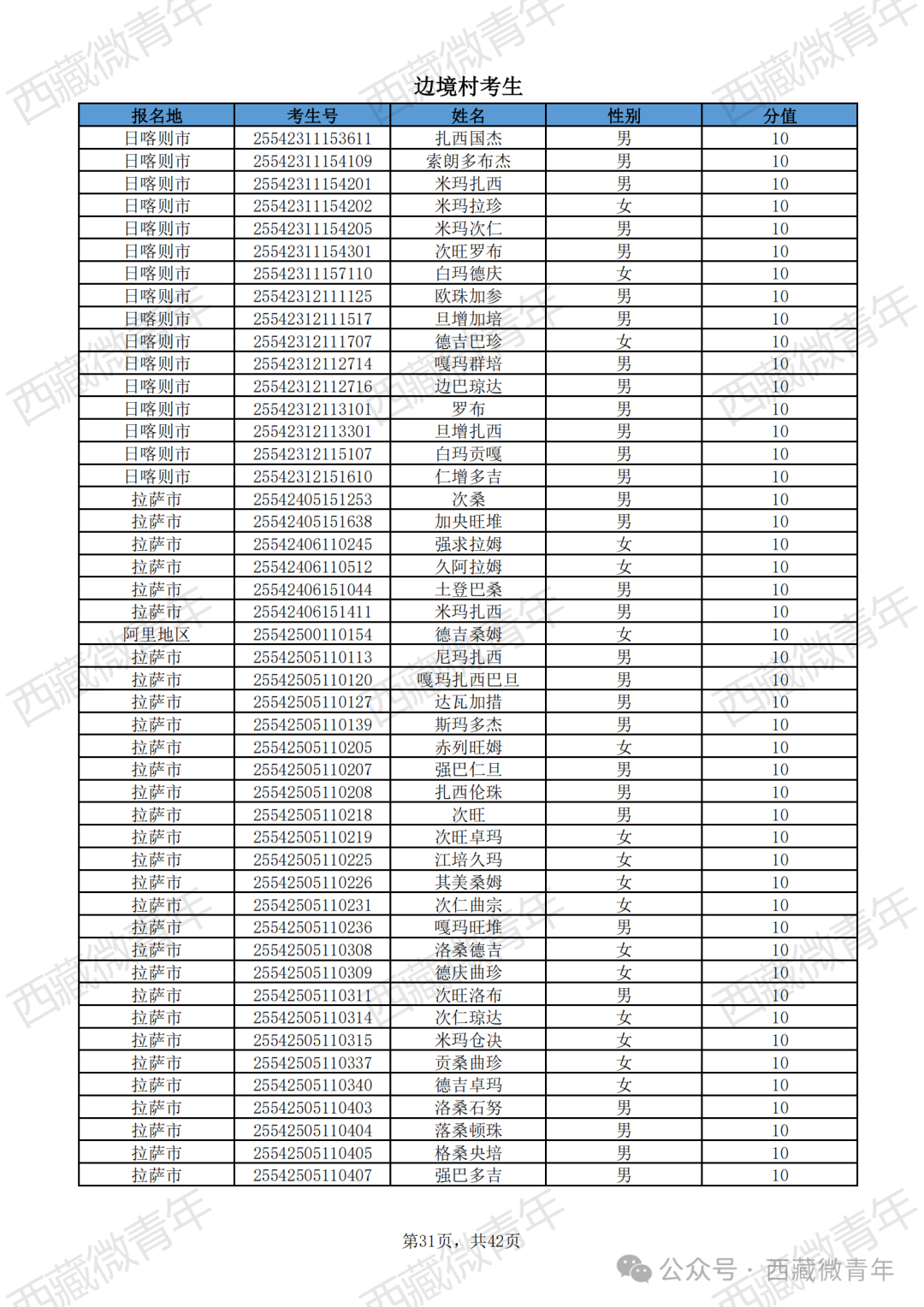
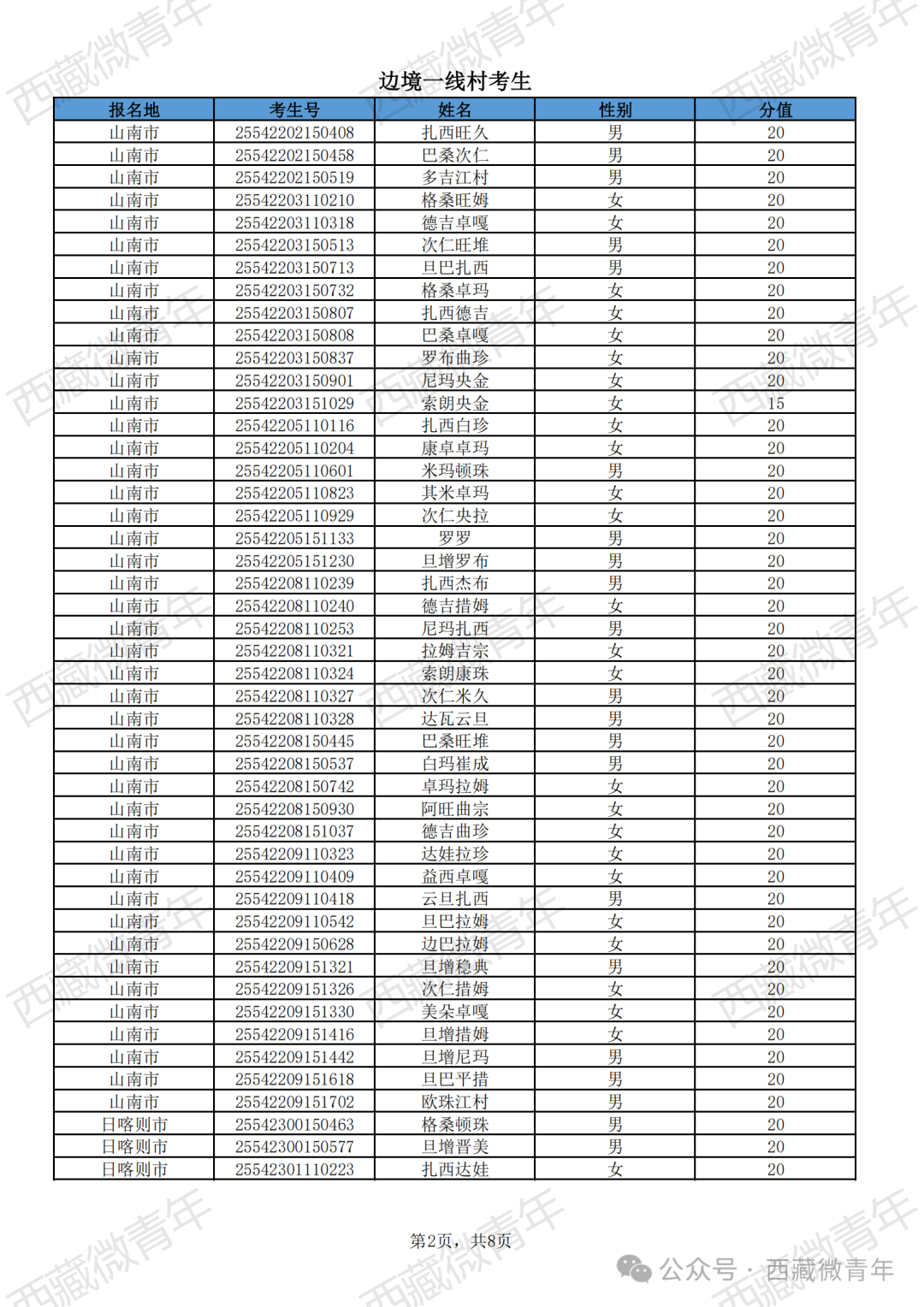
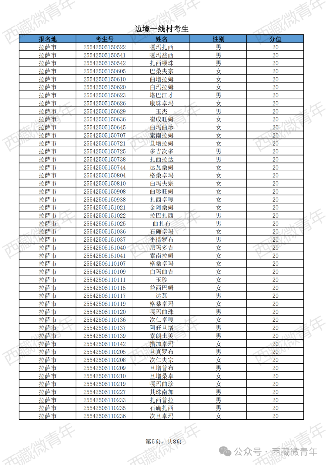
5.边境一线村考生(347人)








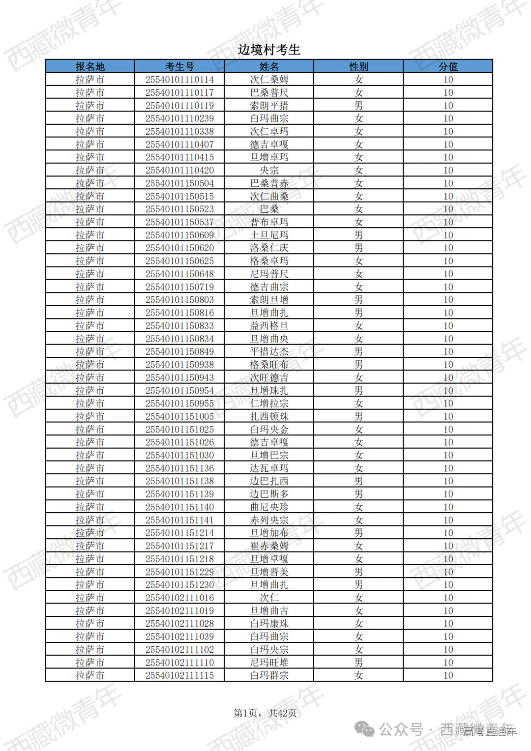
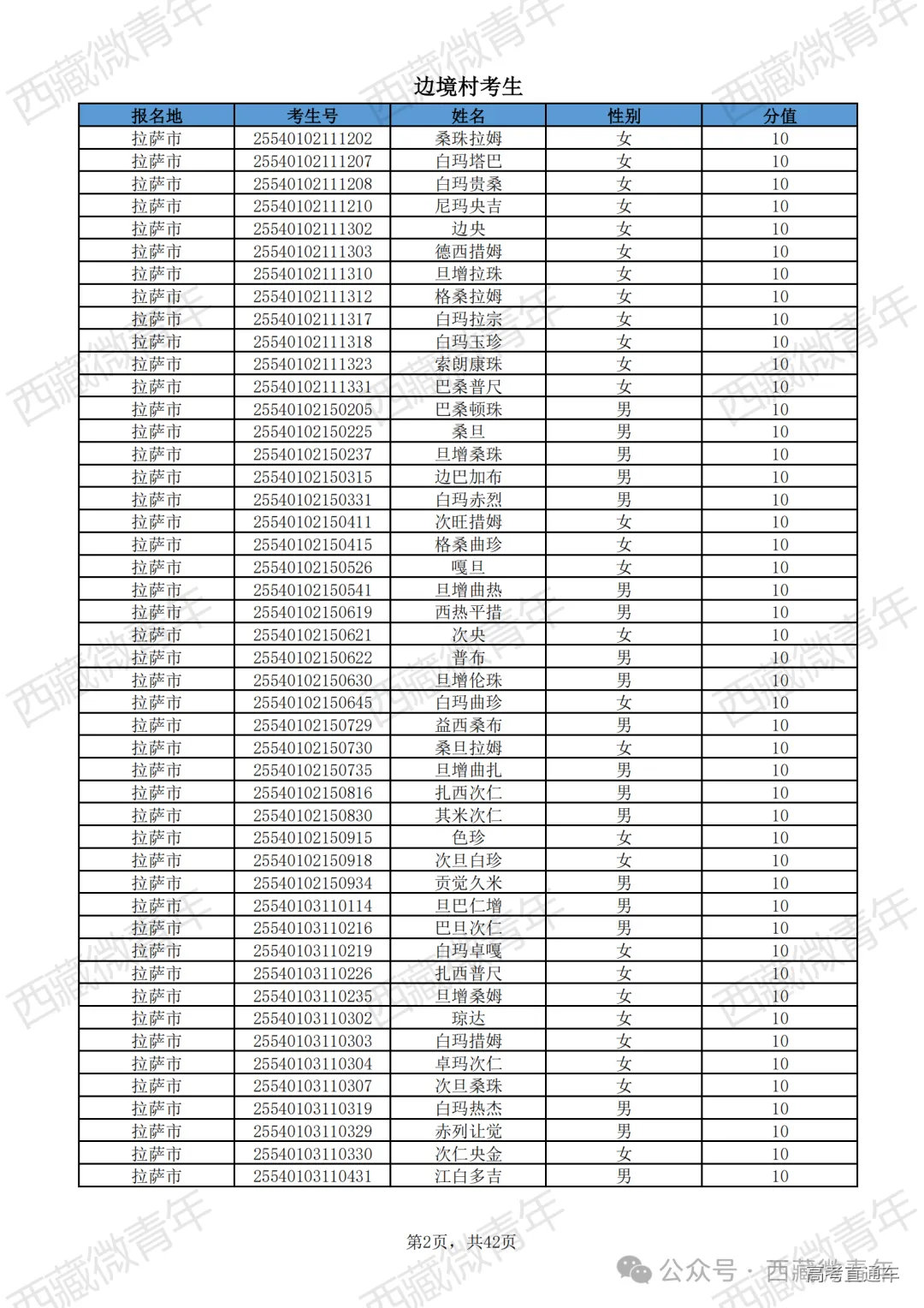
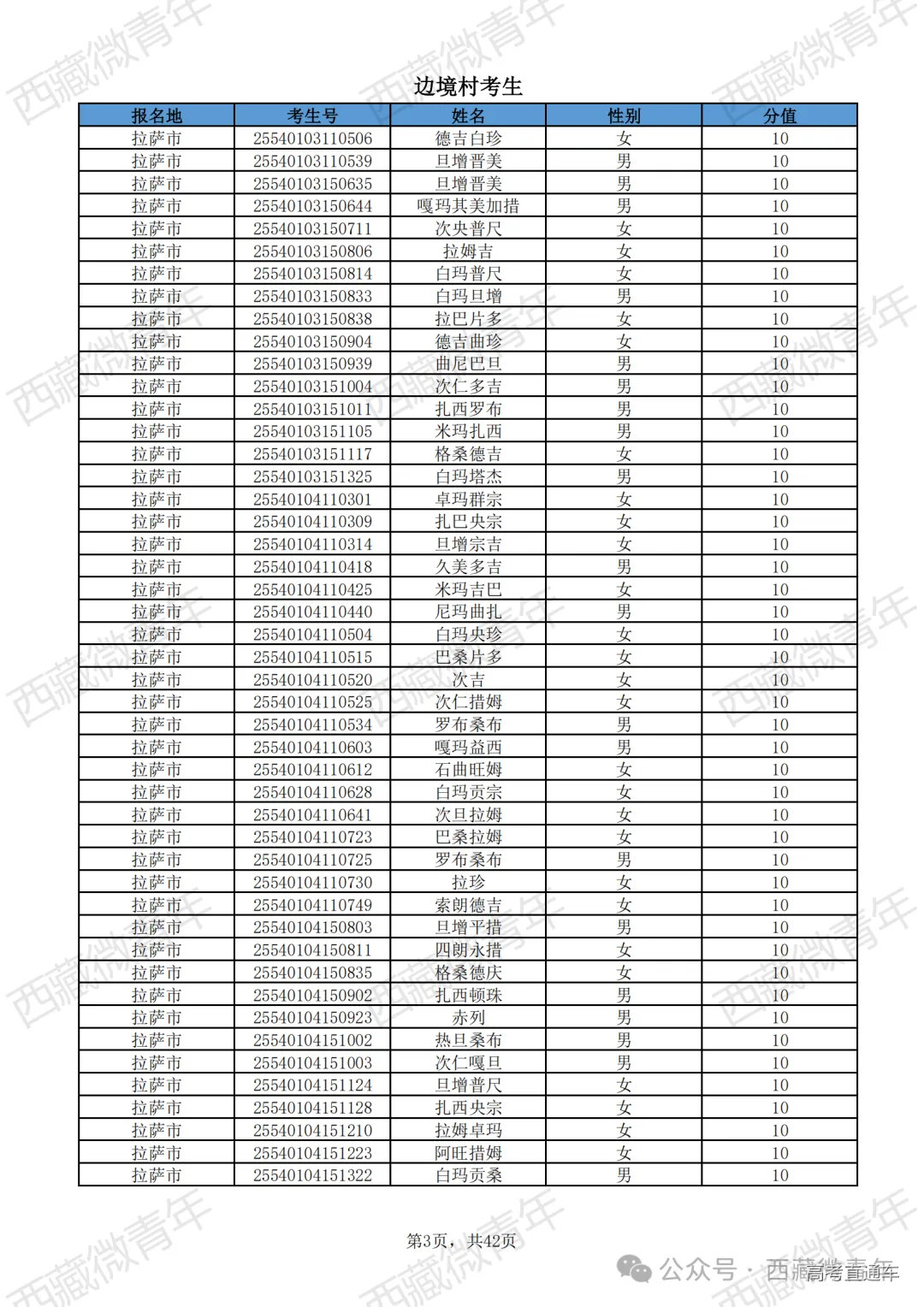
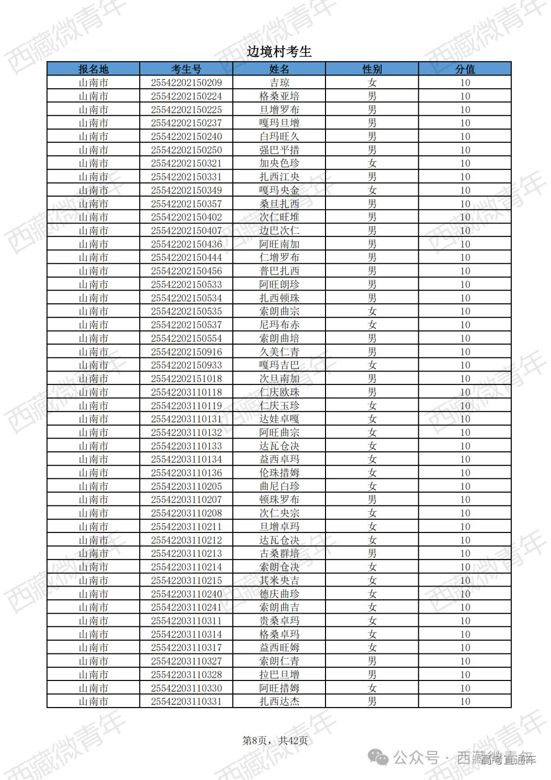
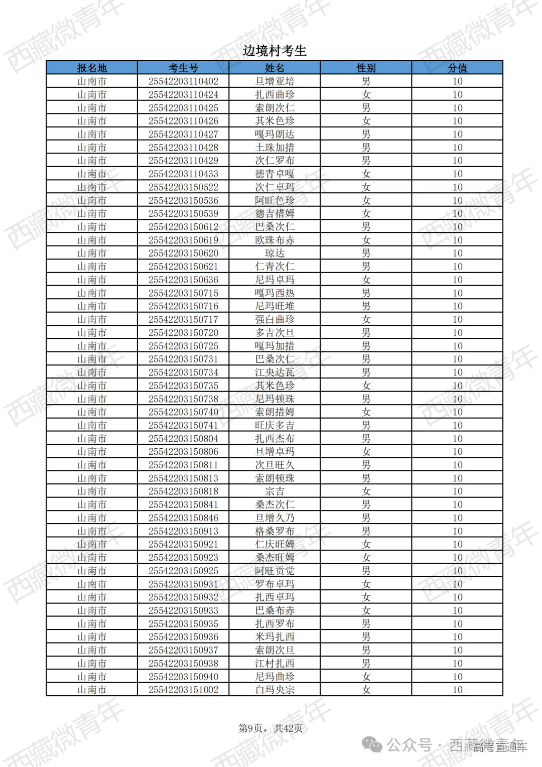
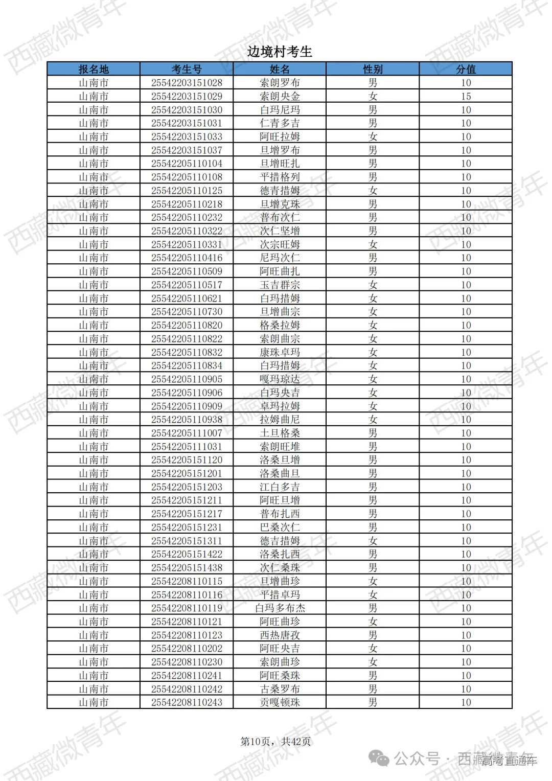
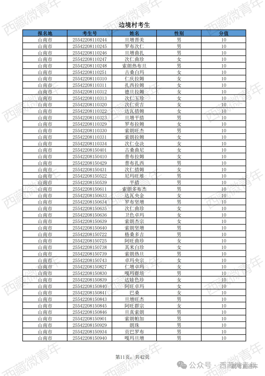
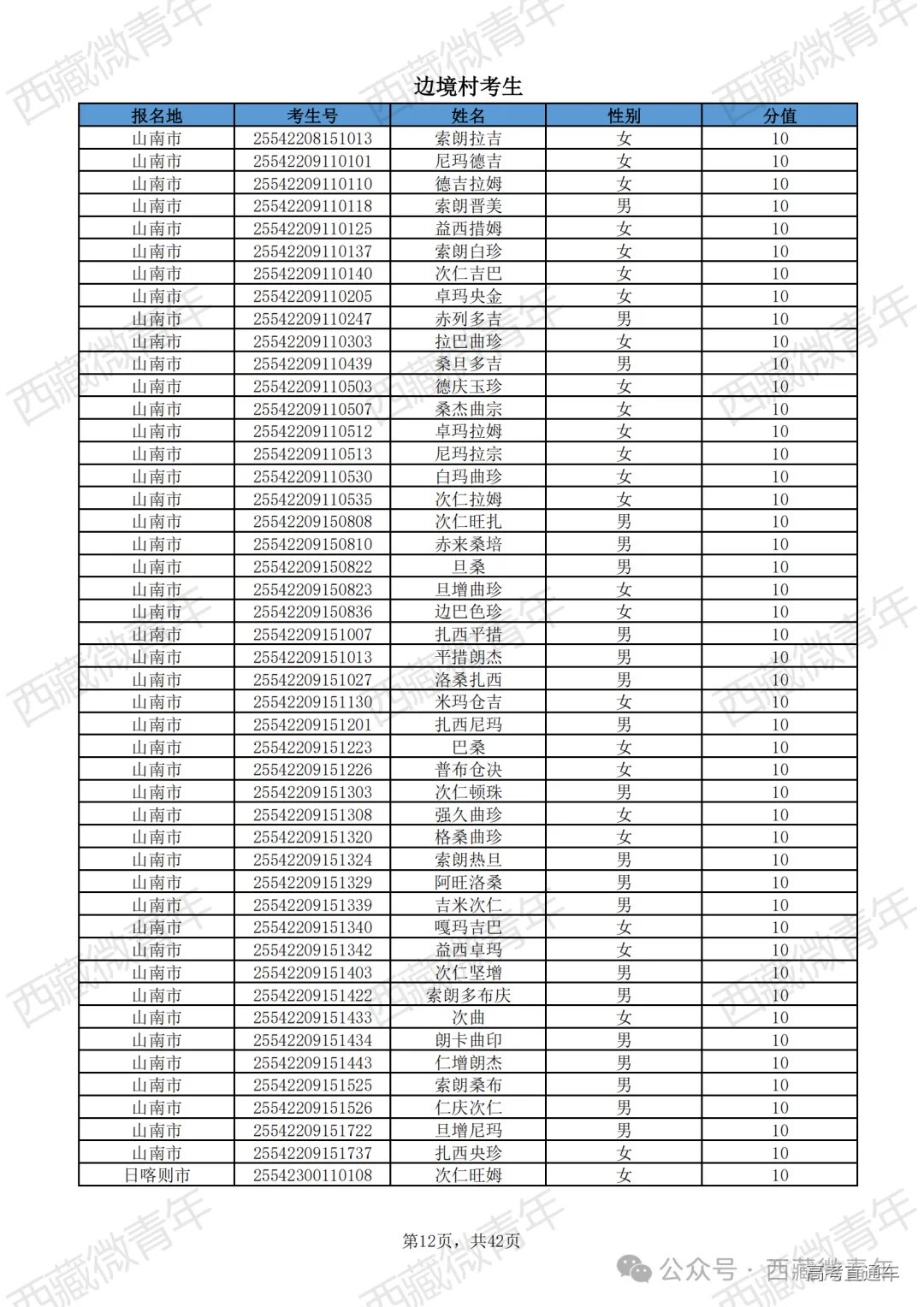
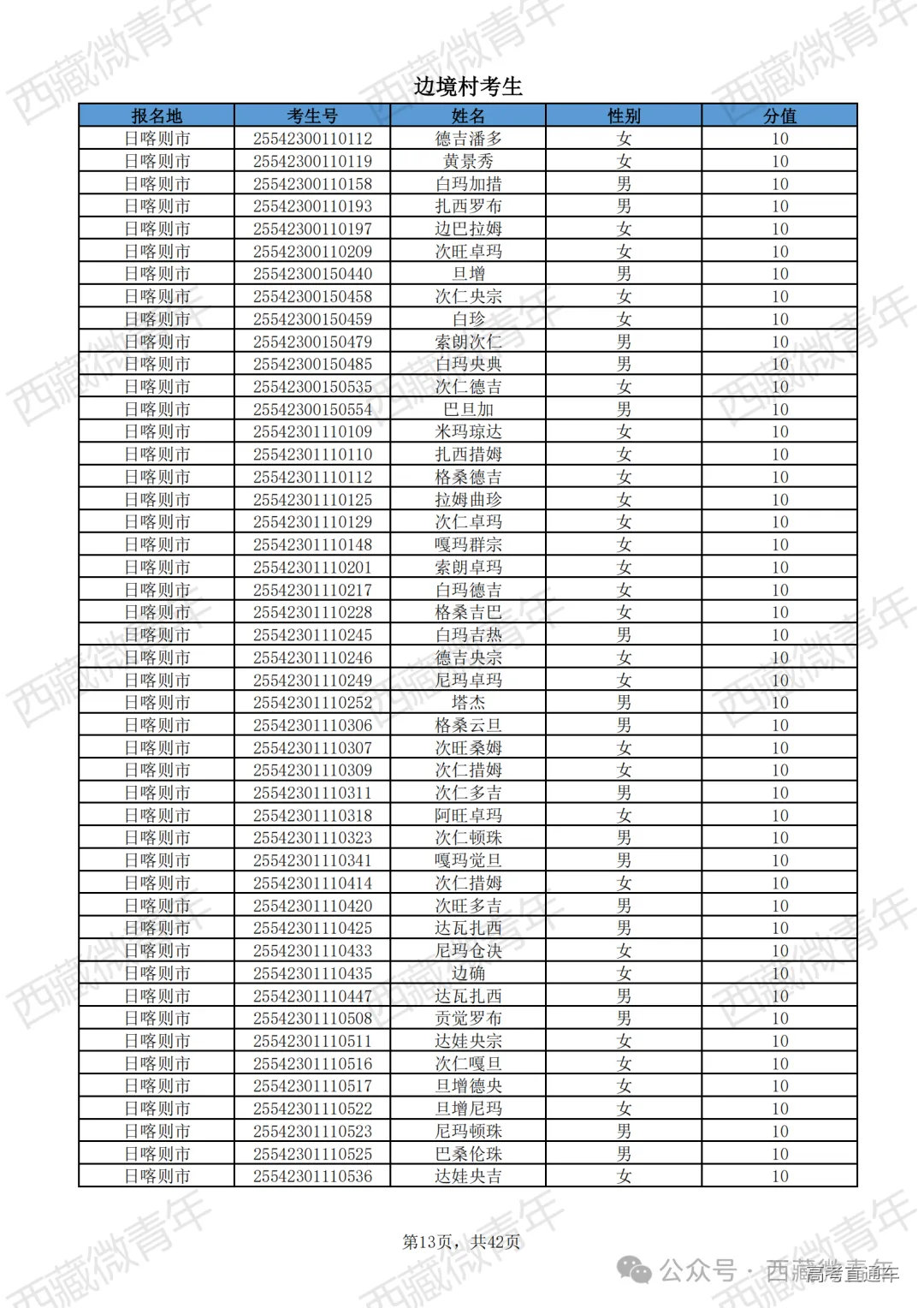
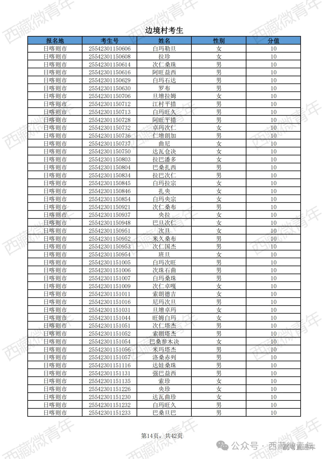
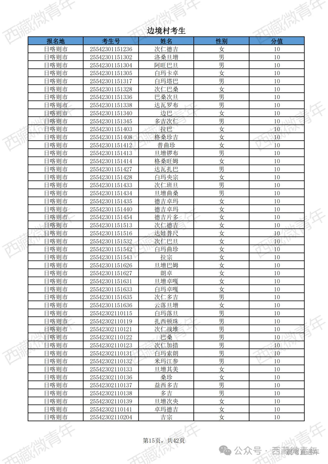
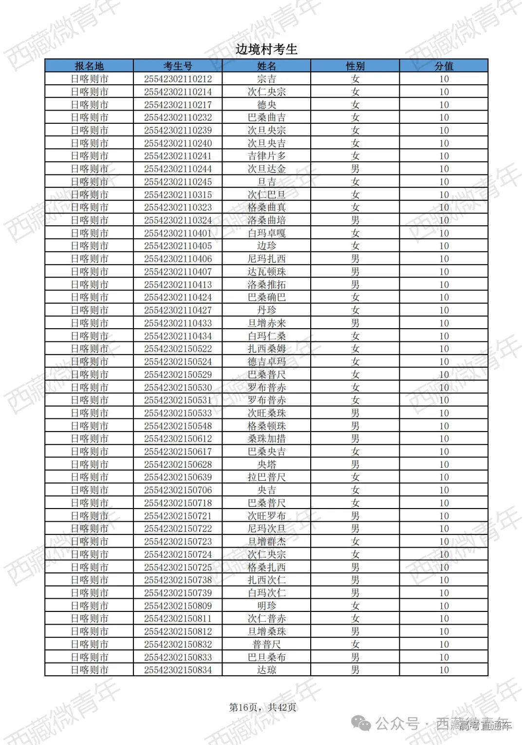
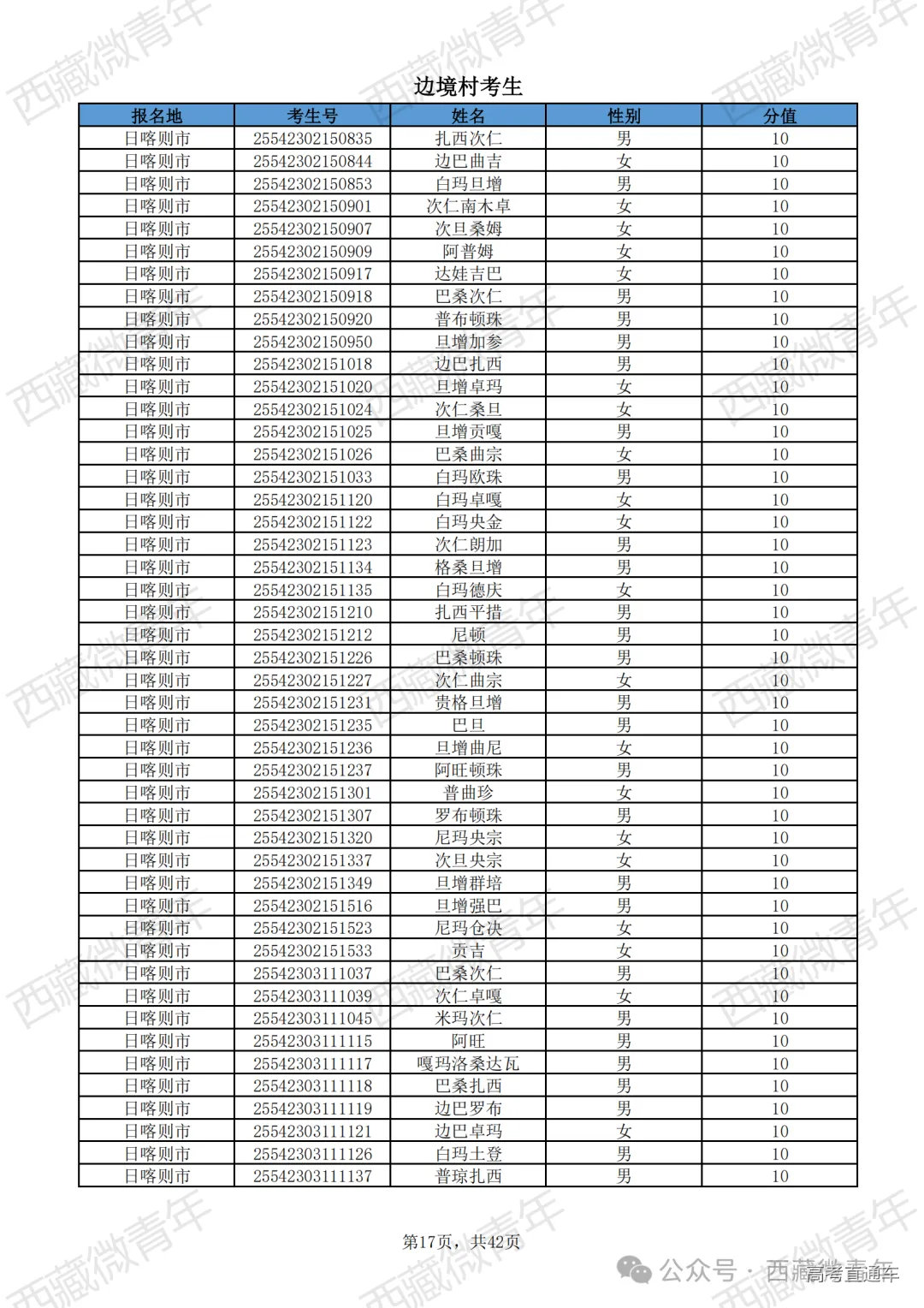
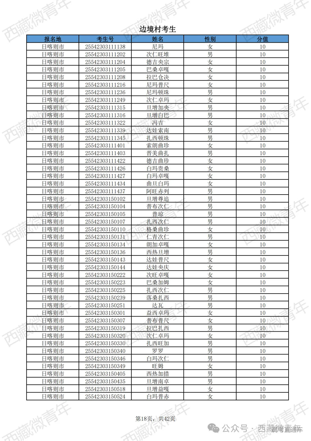
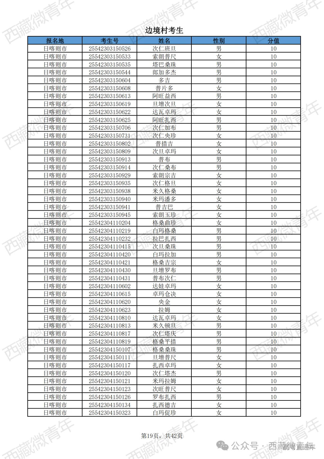
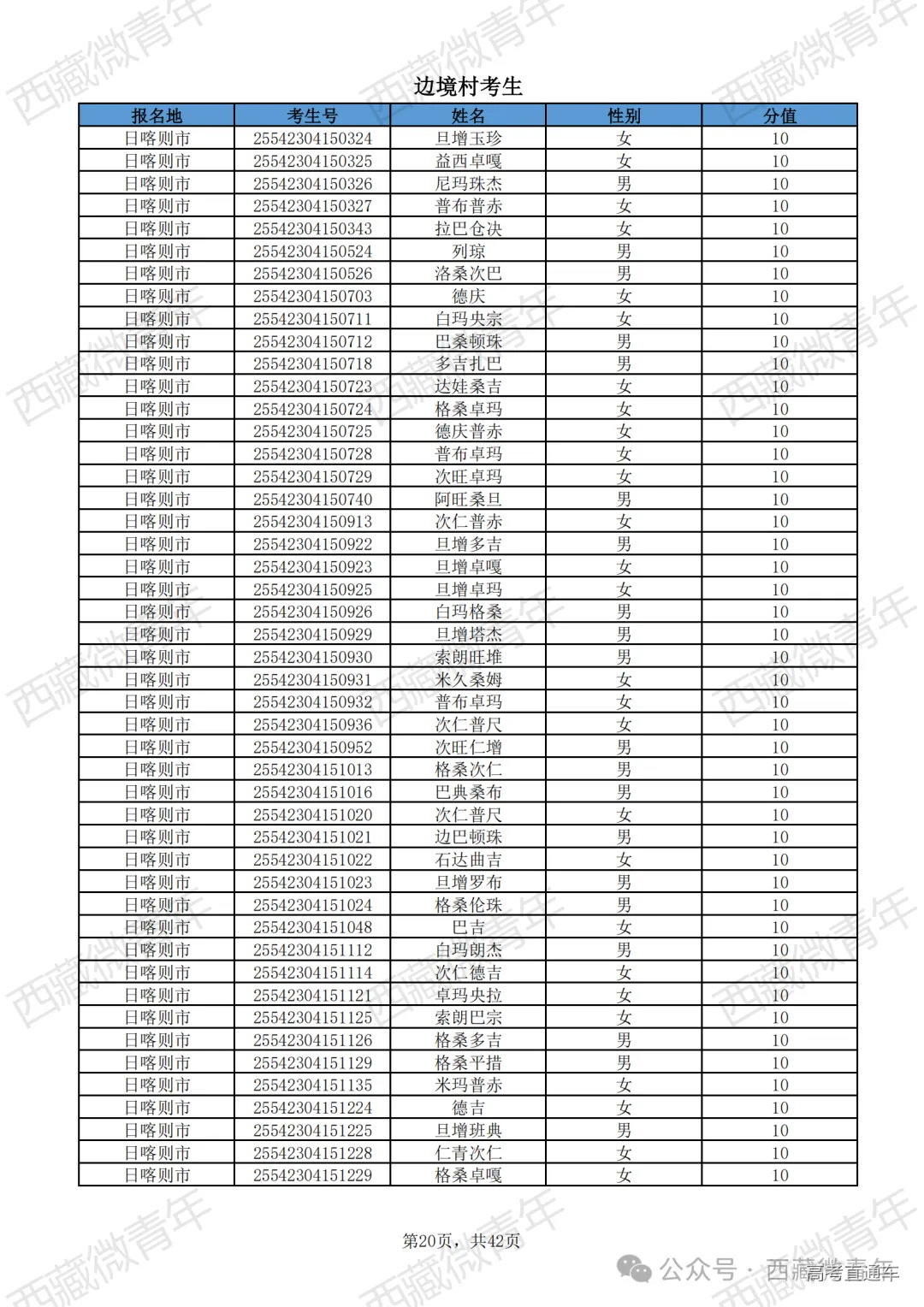
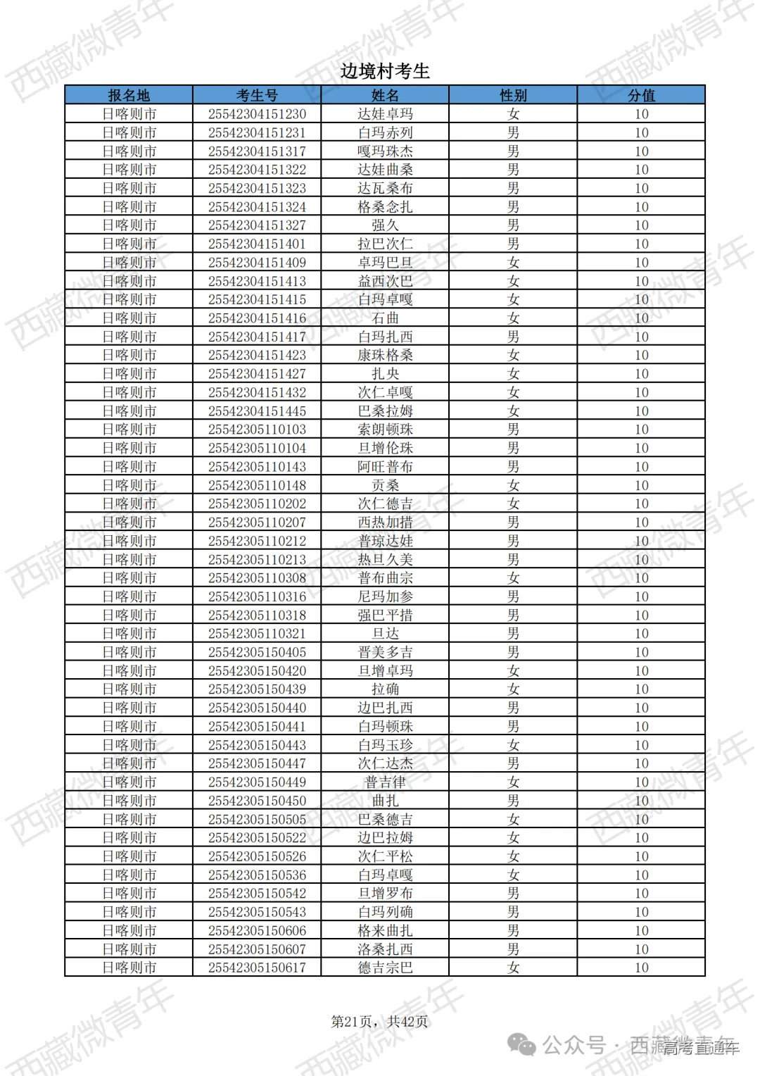
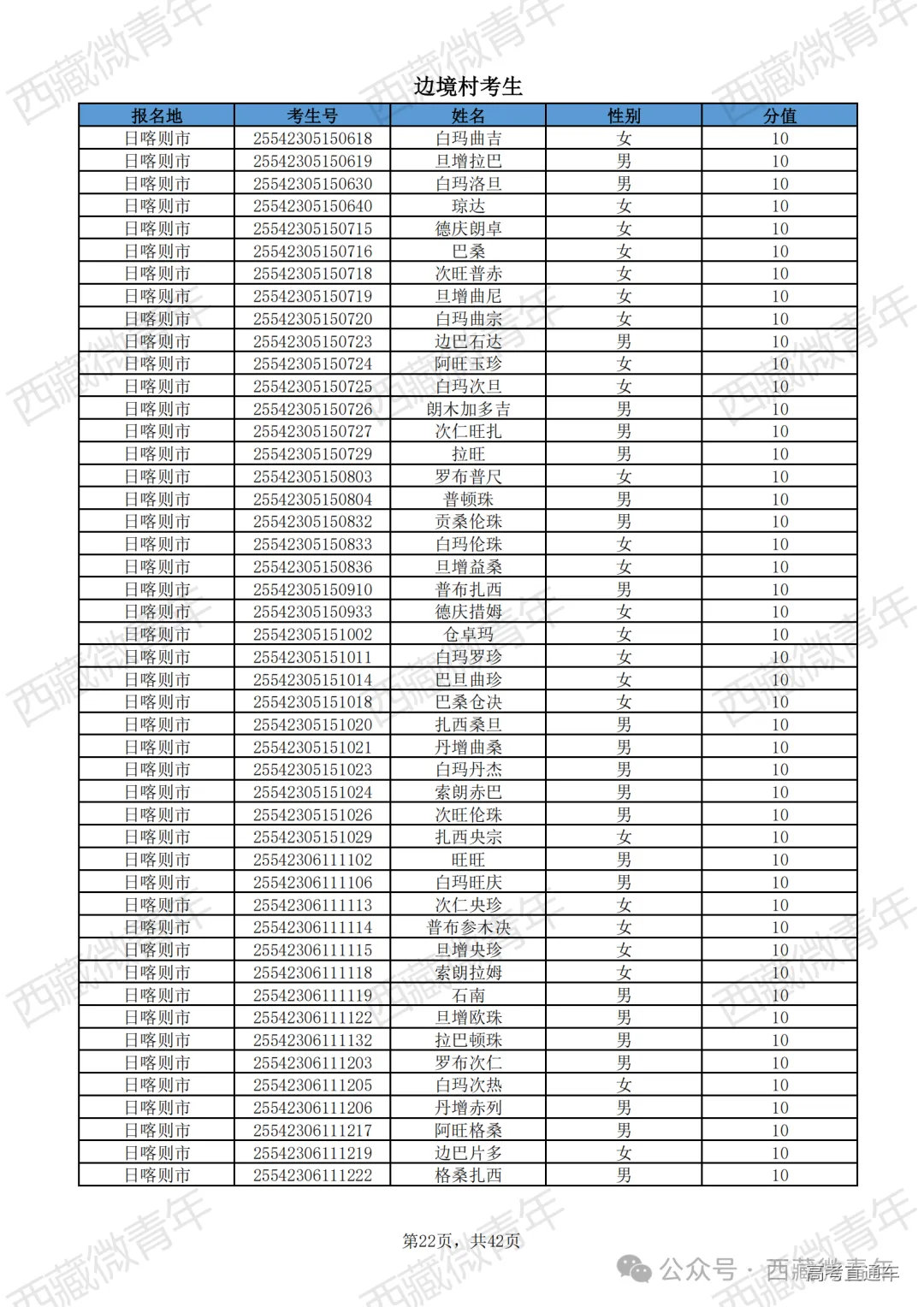
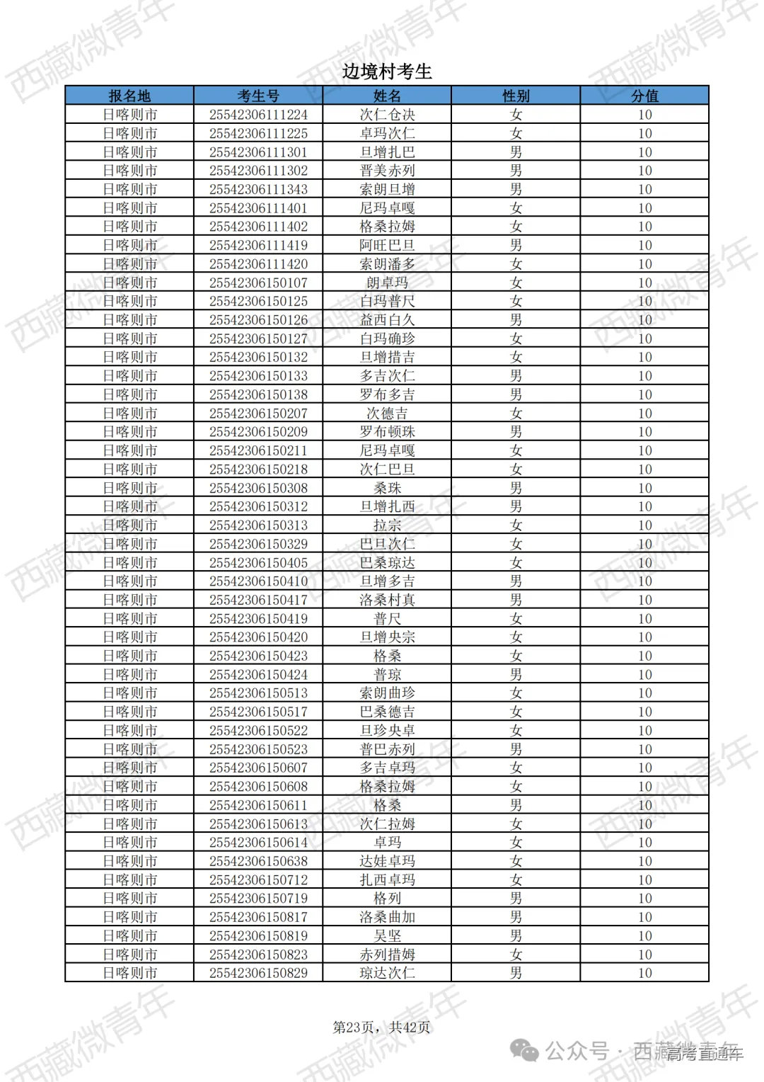
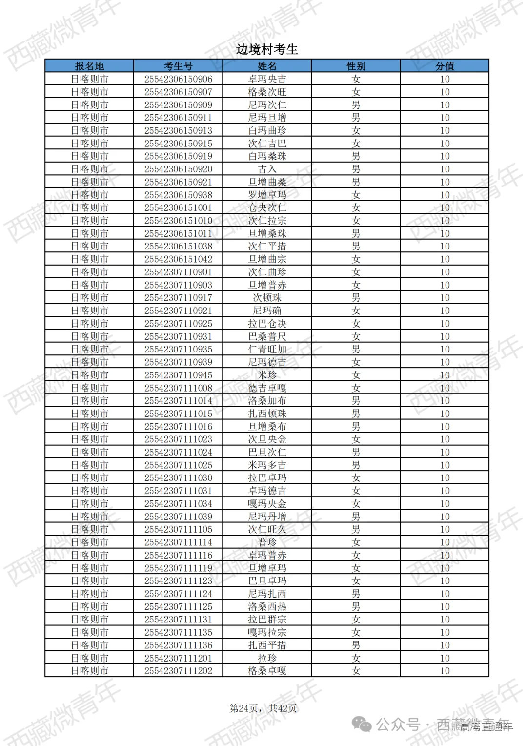
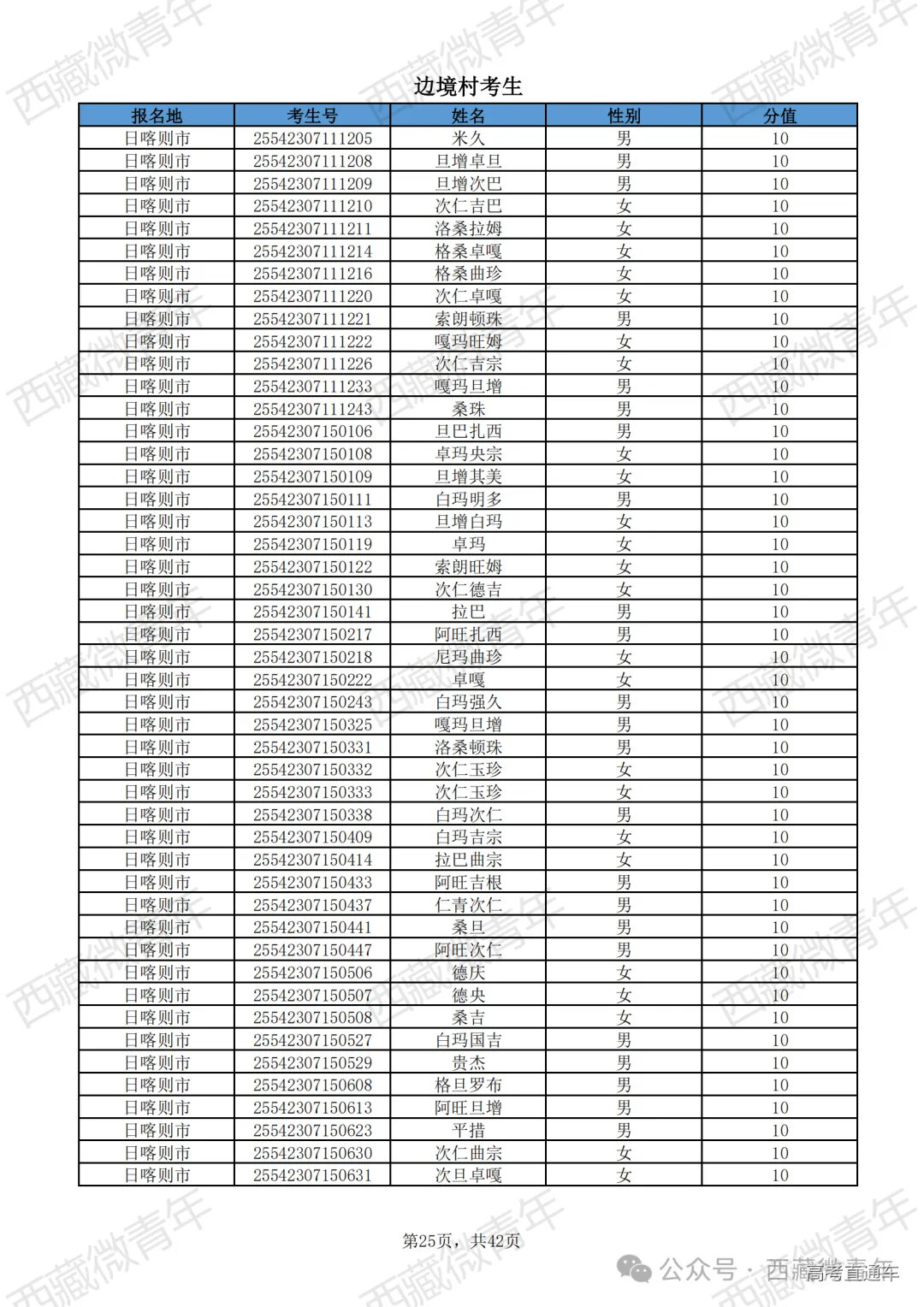
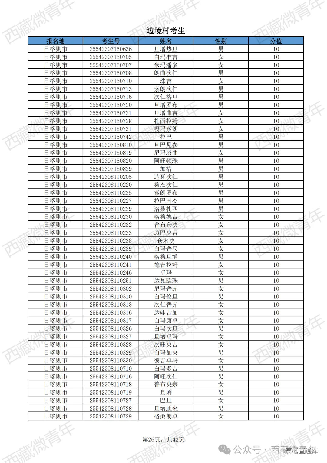
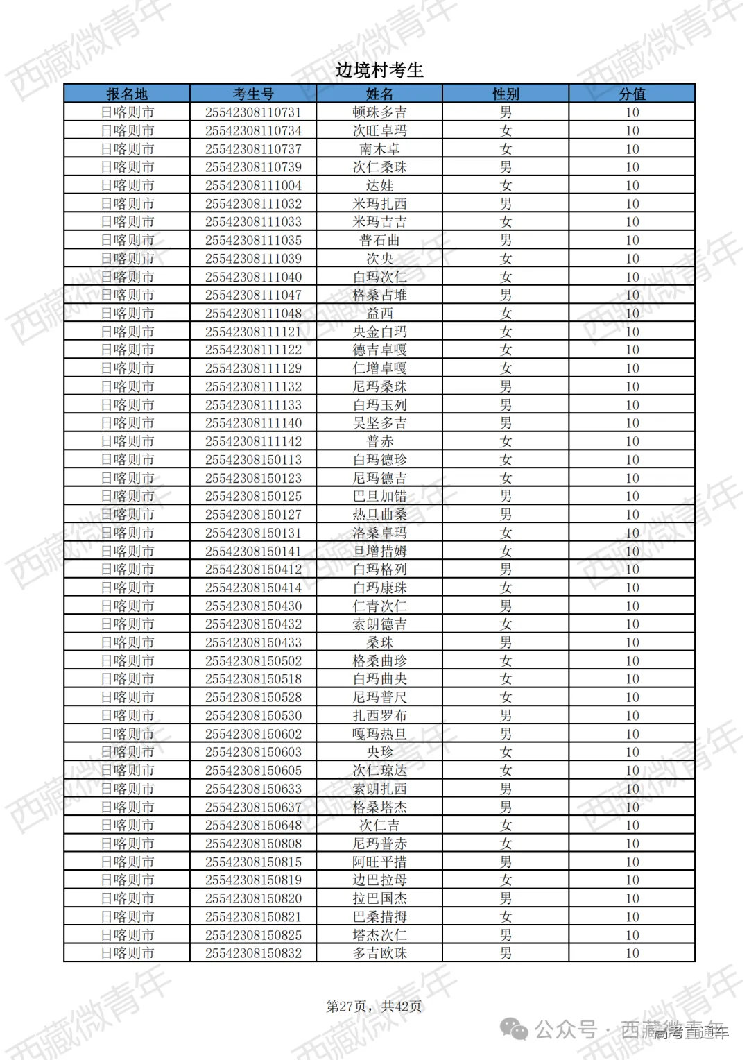
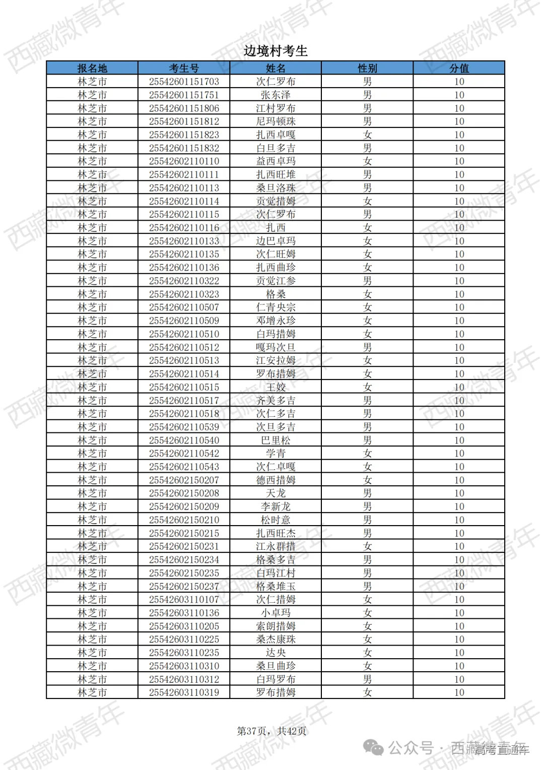
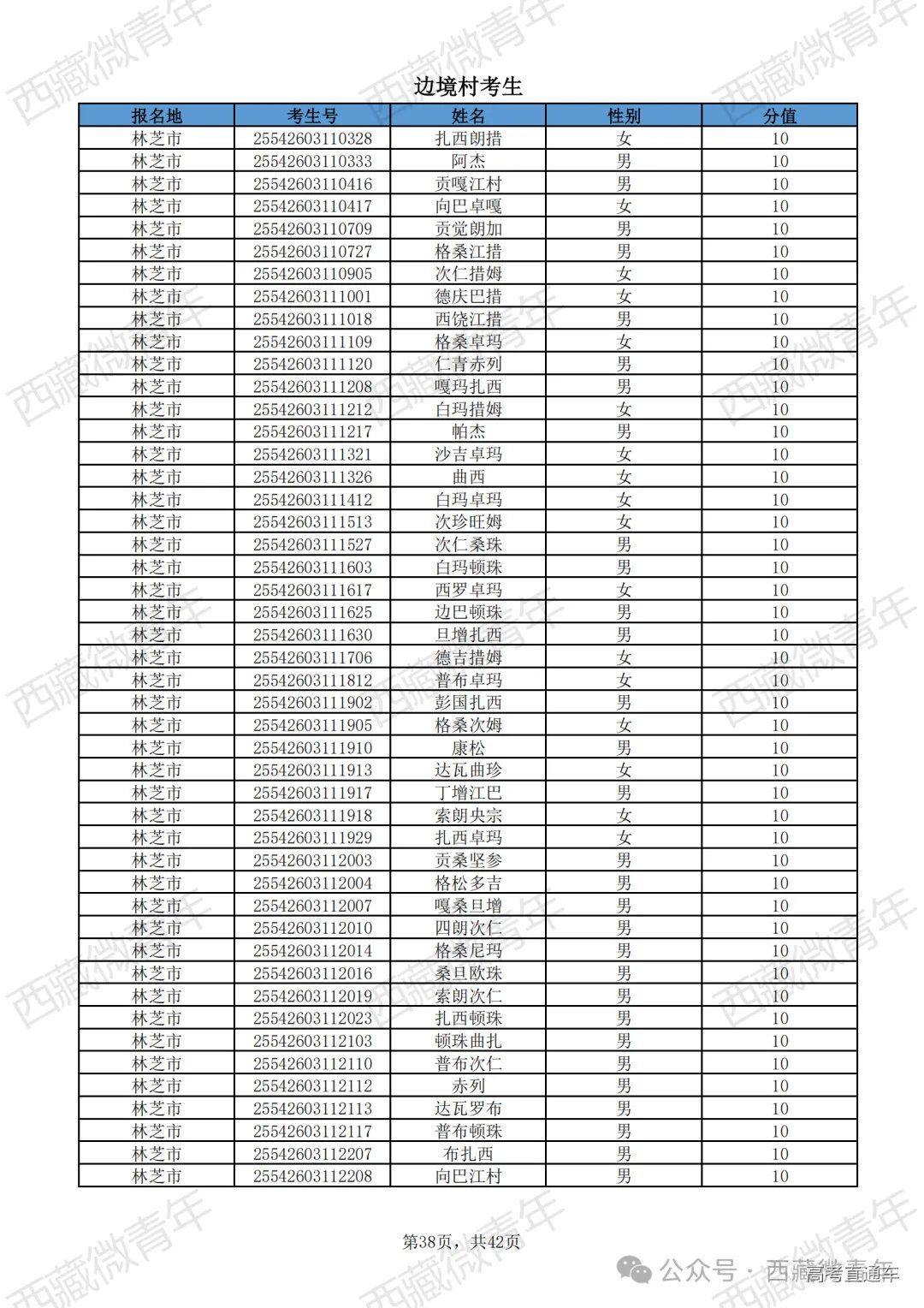
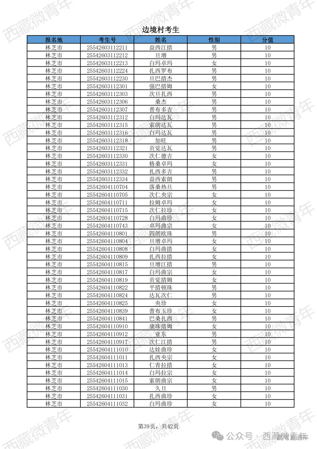
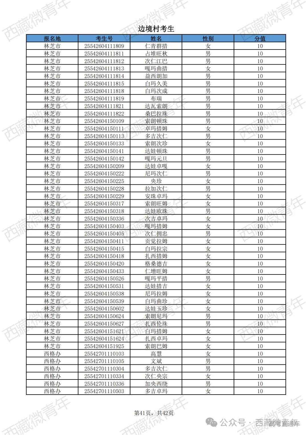
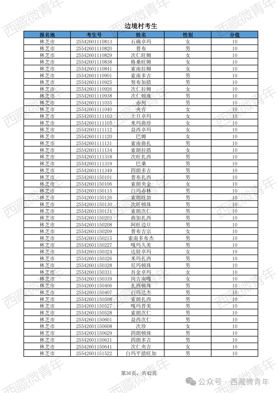
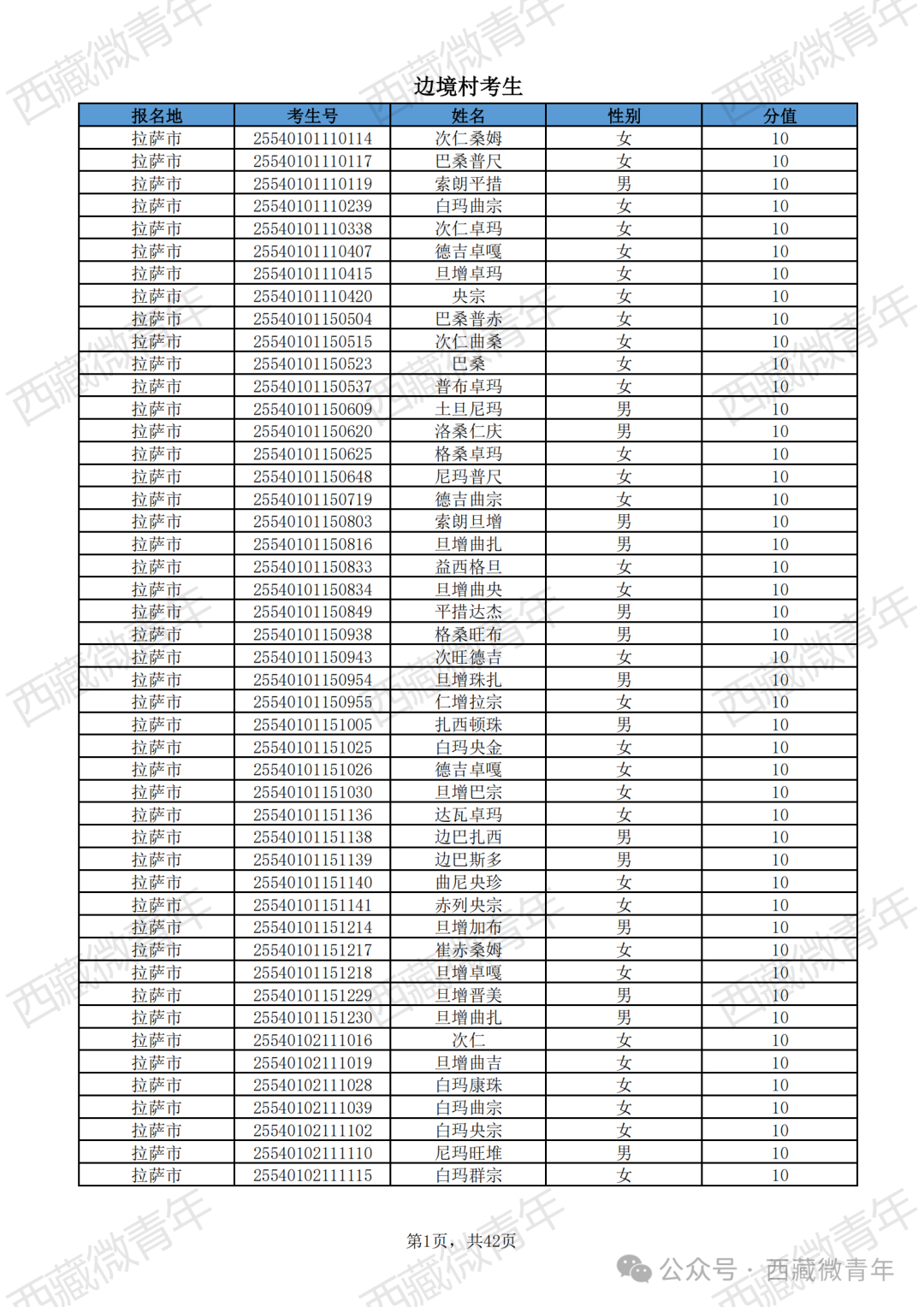
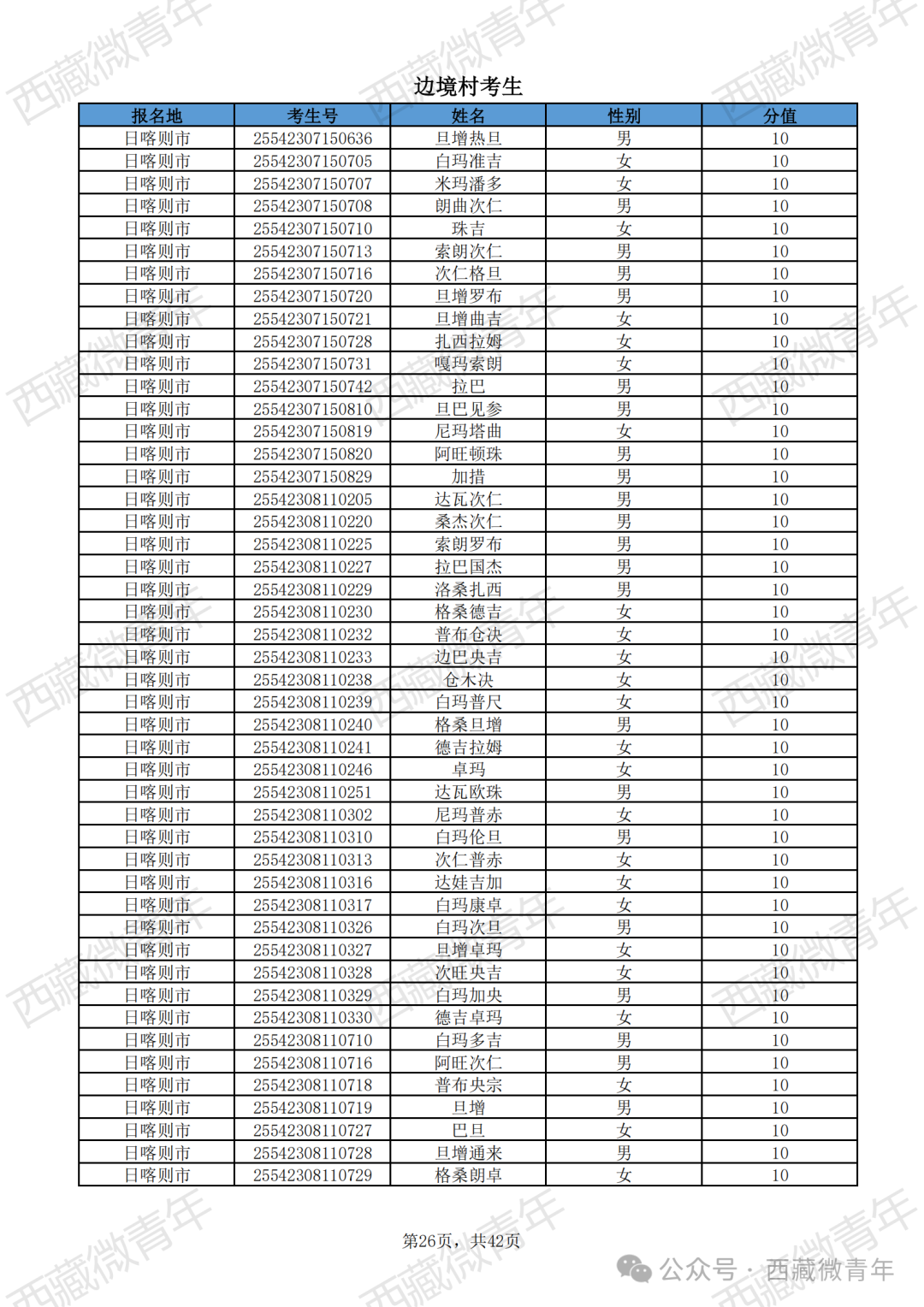
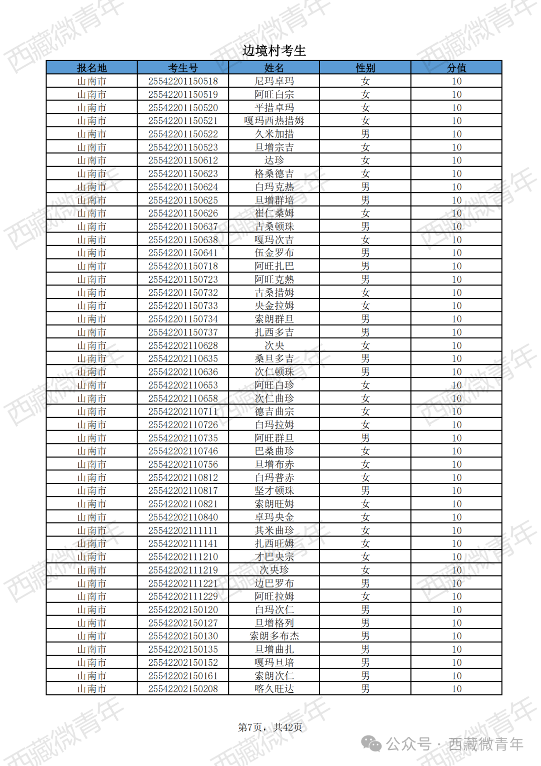
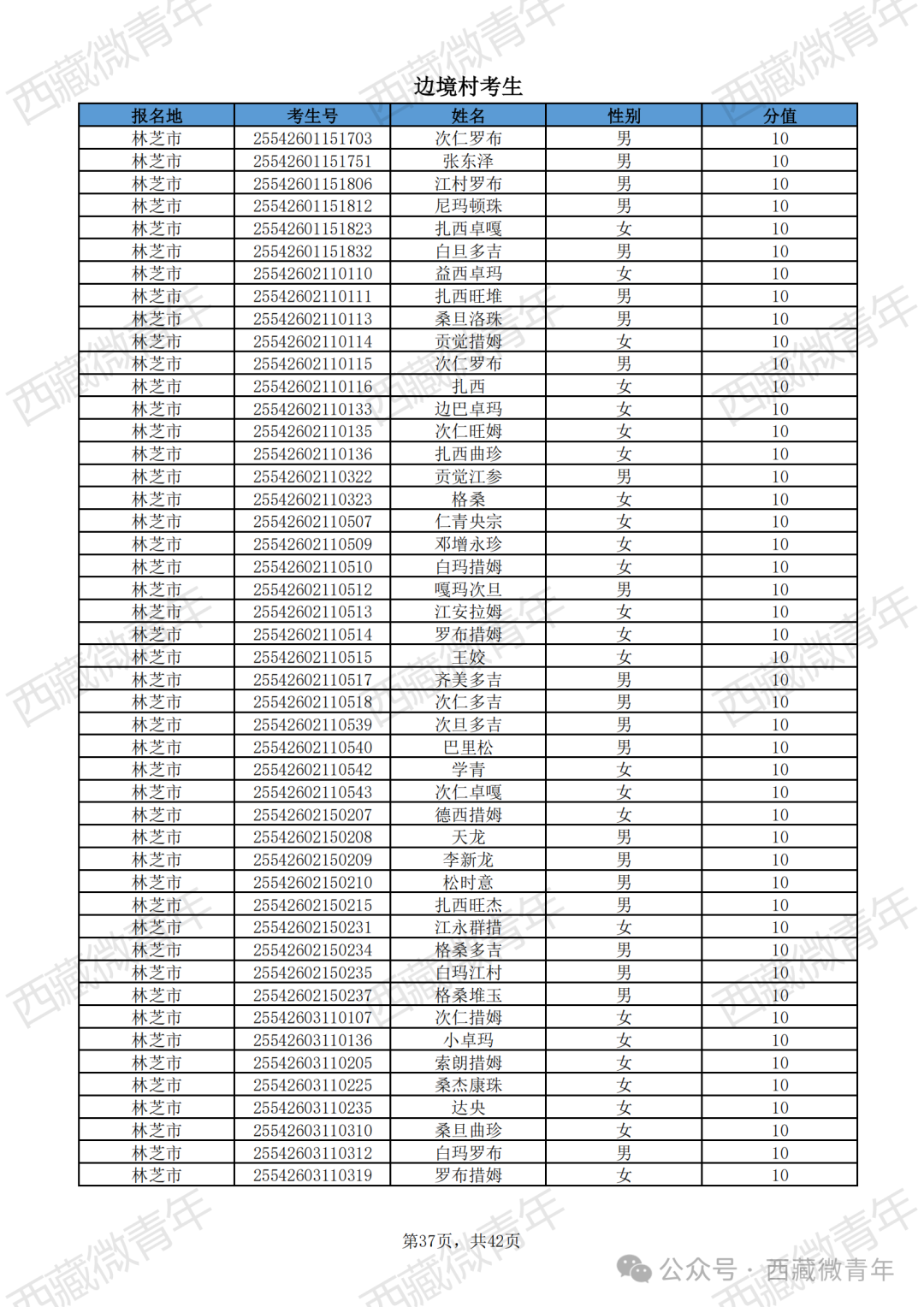
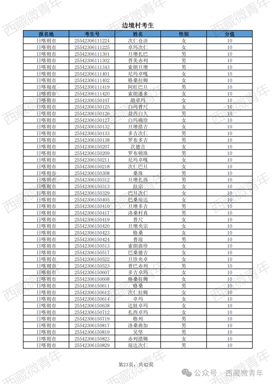
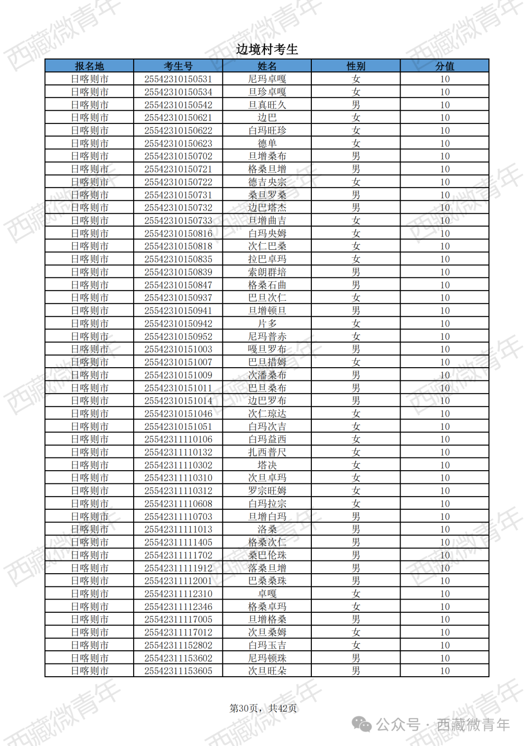
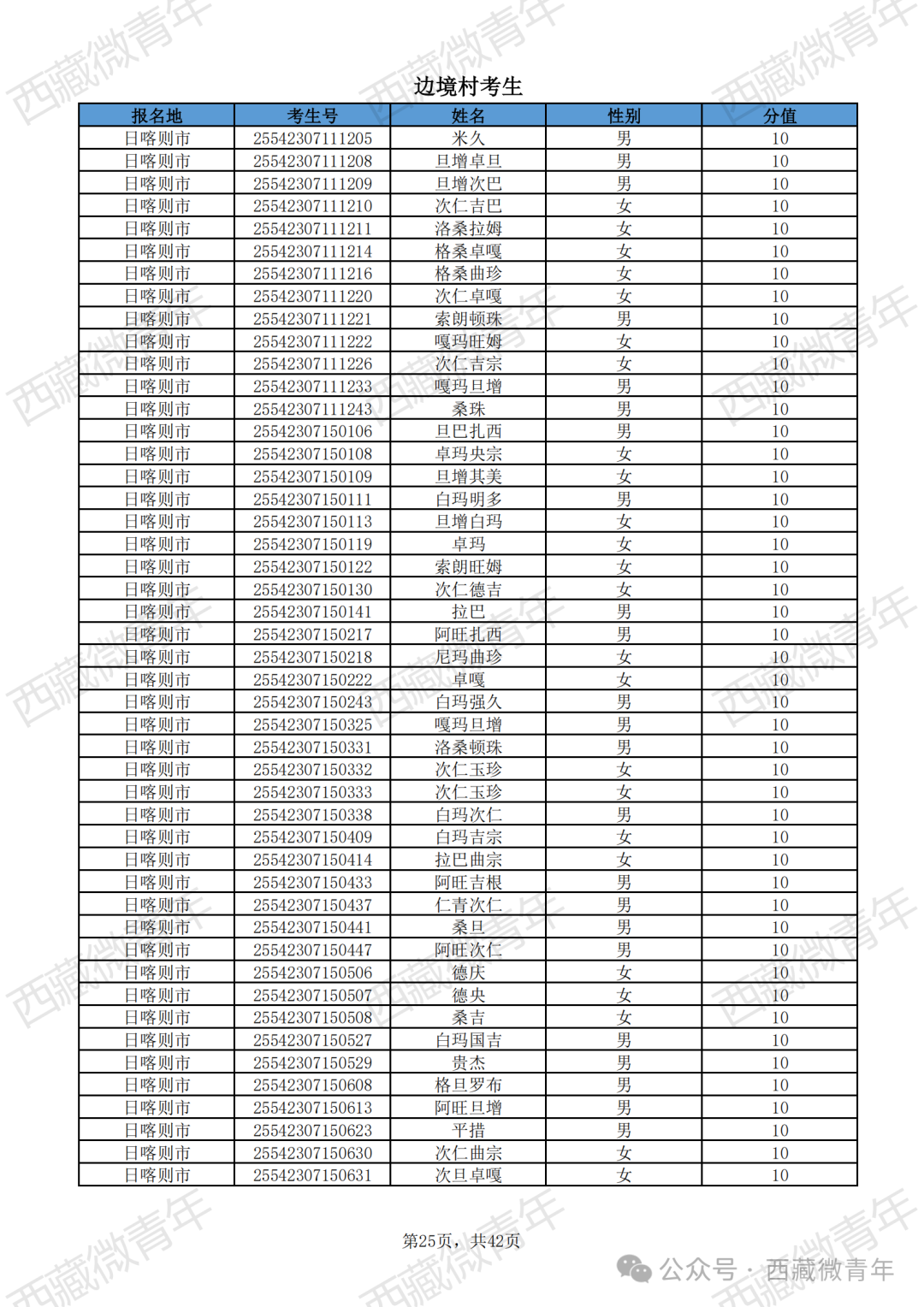
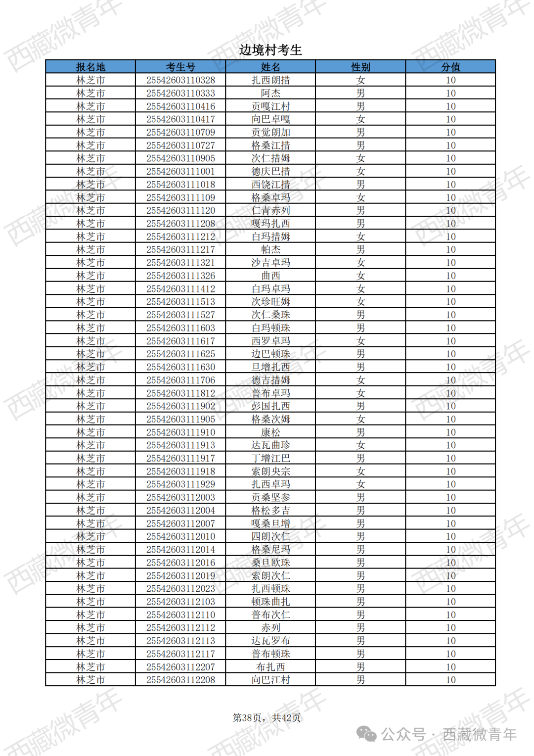
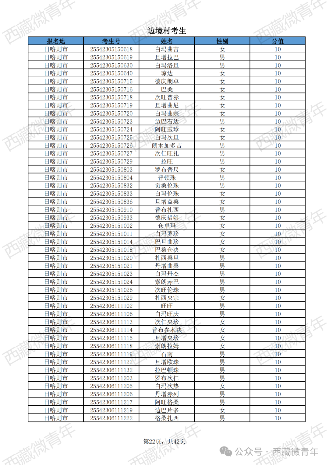
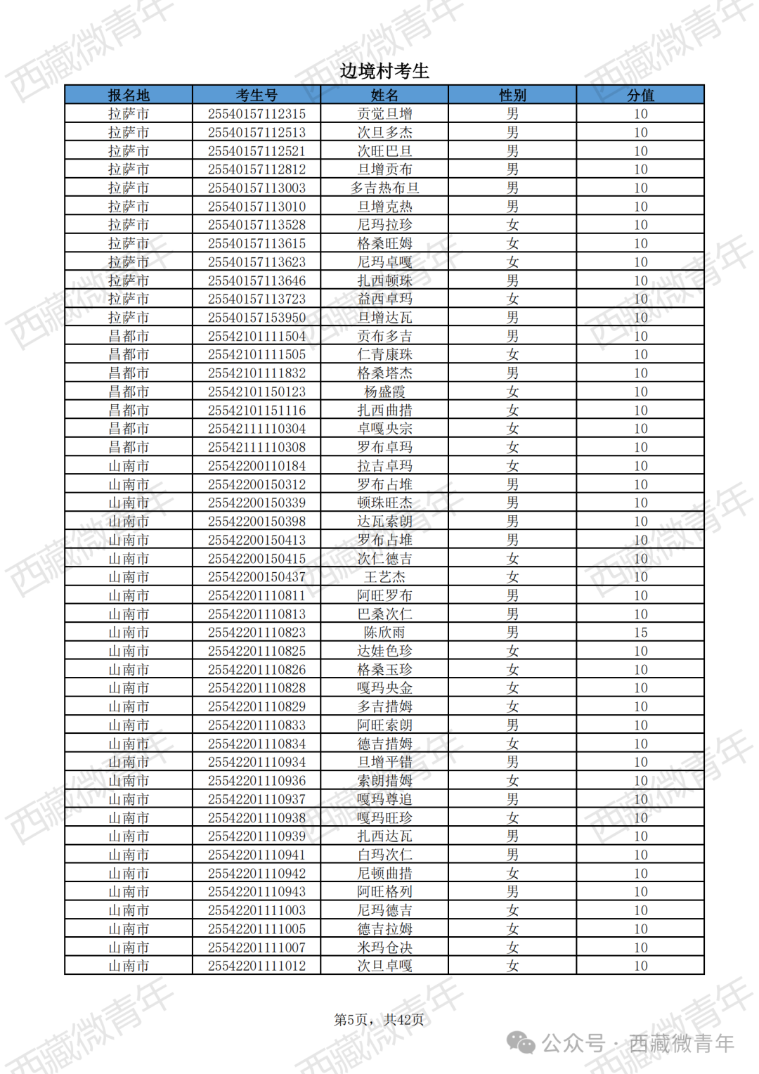
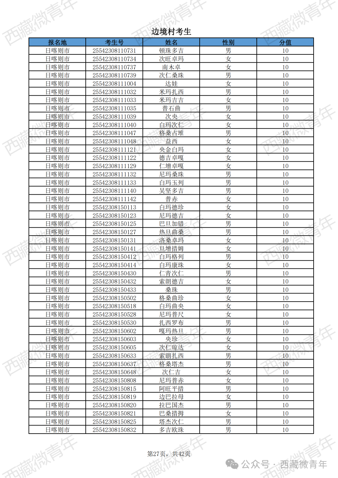
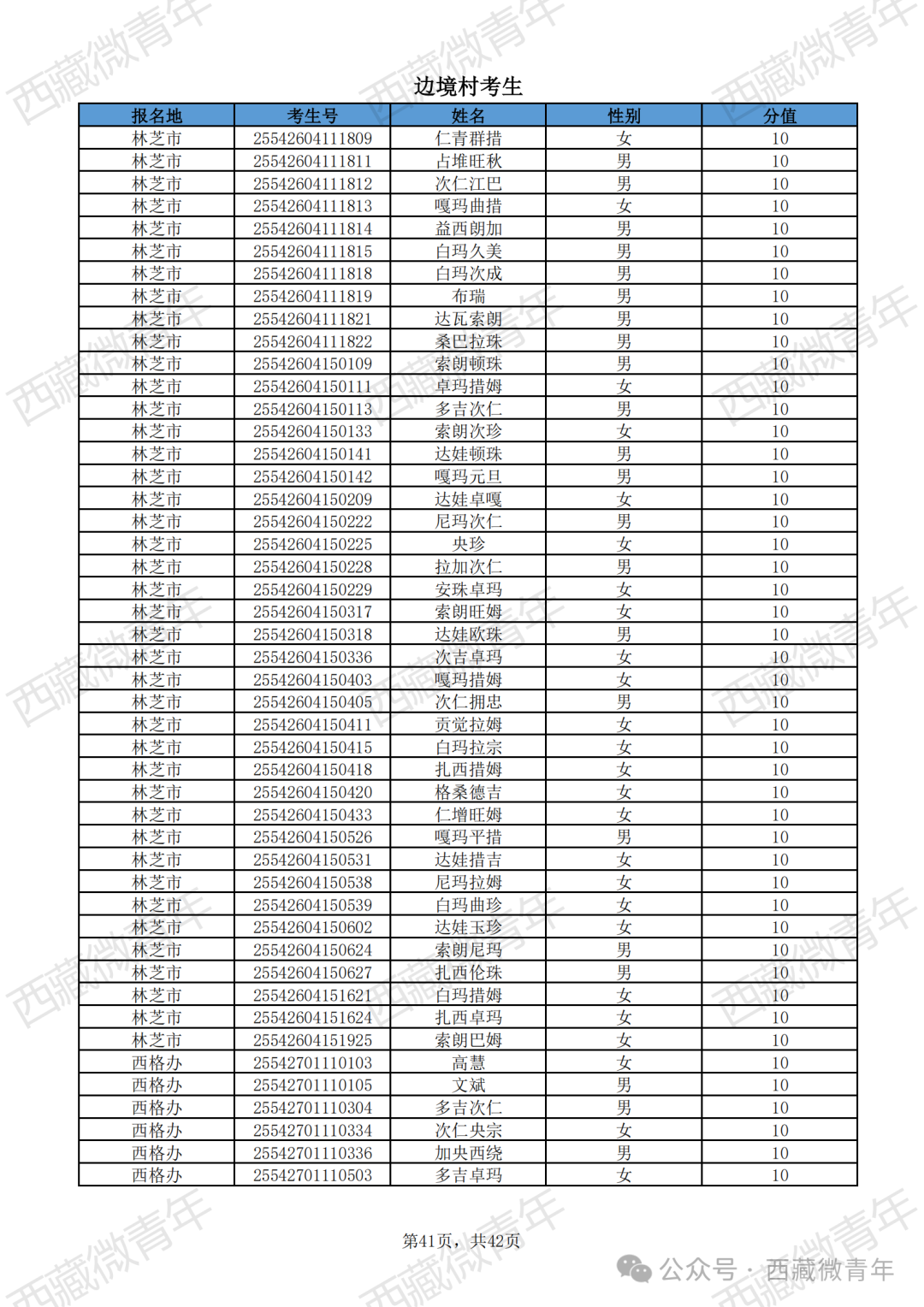
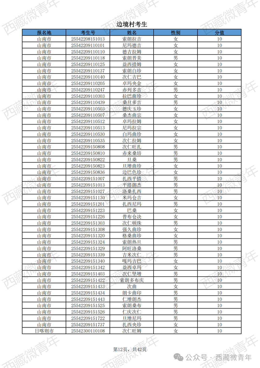
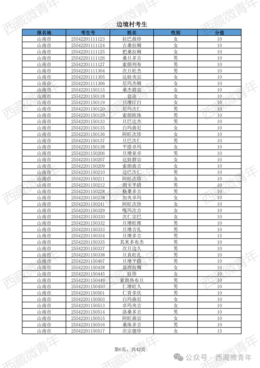
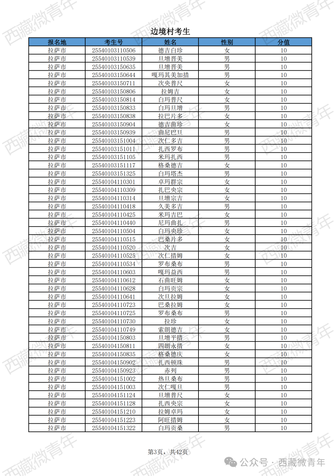
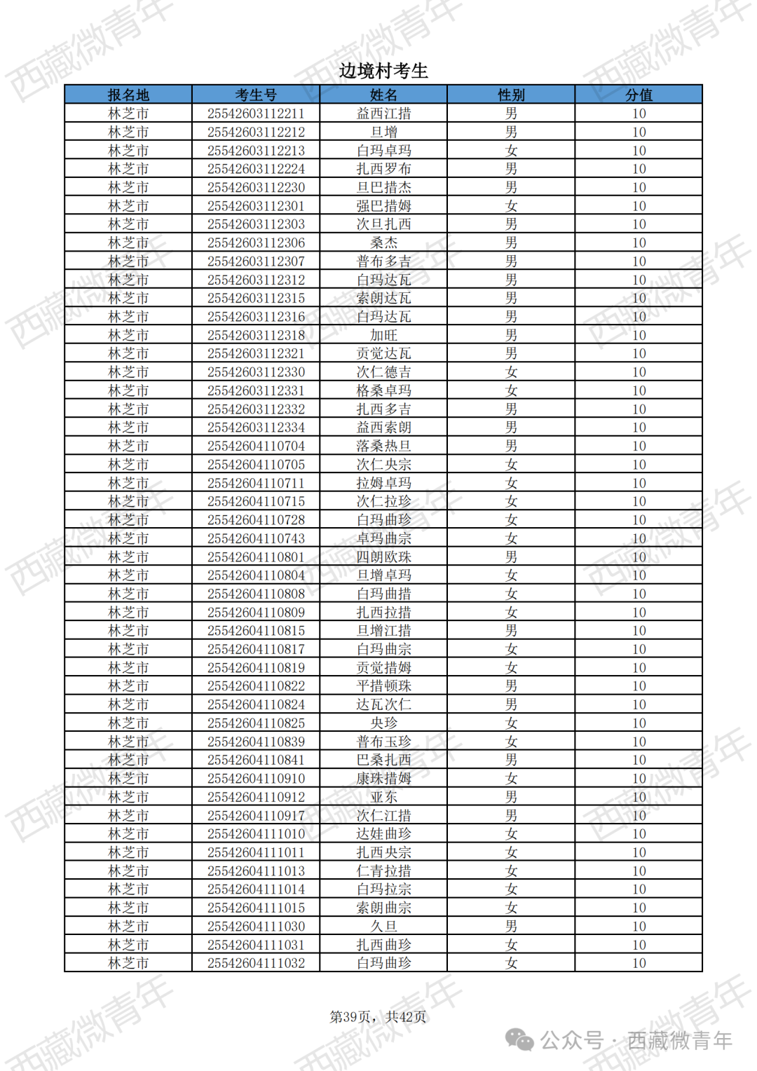
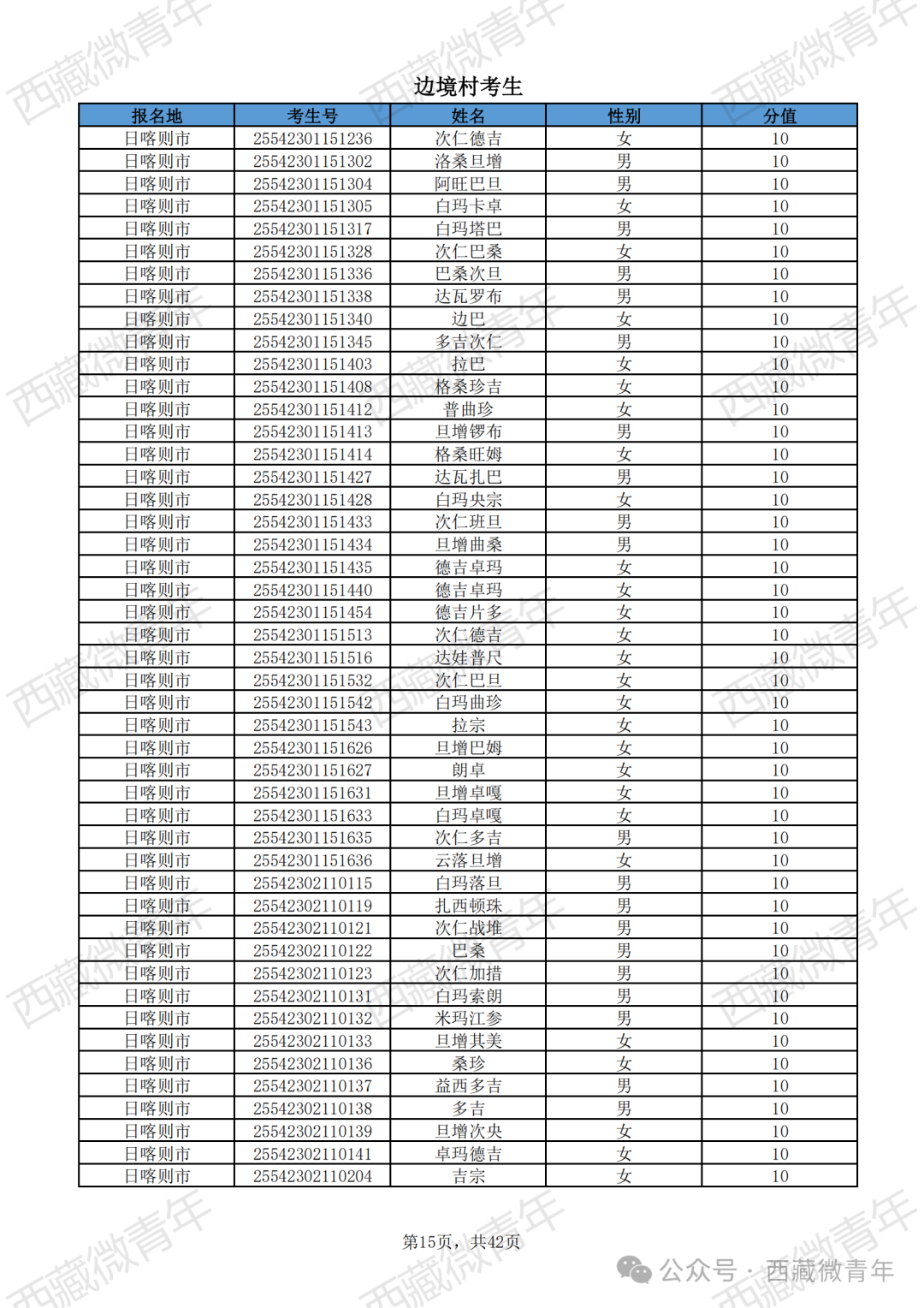
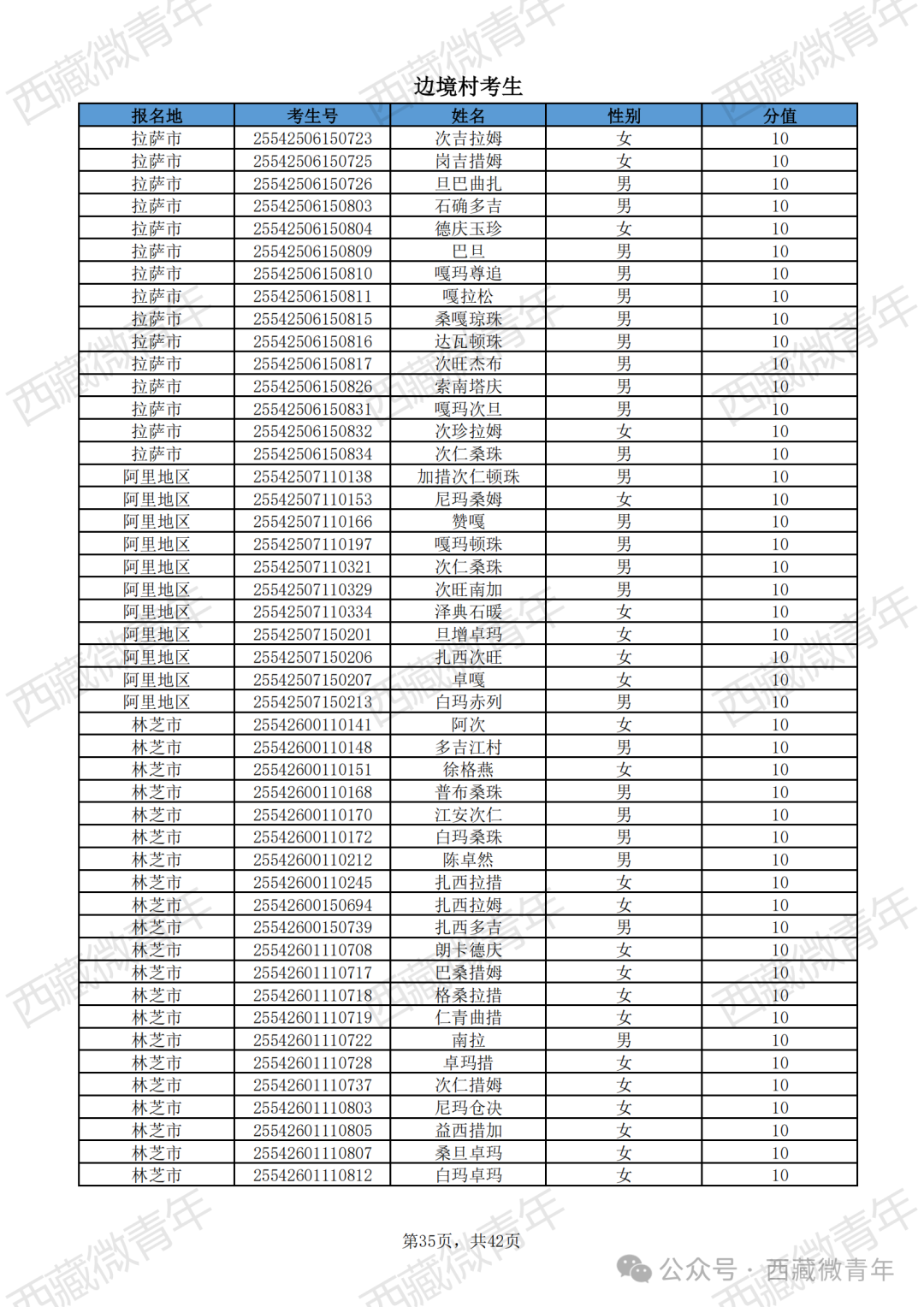
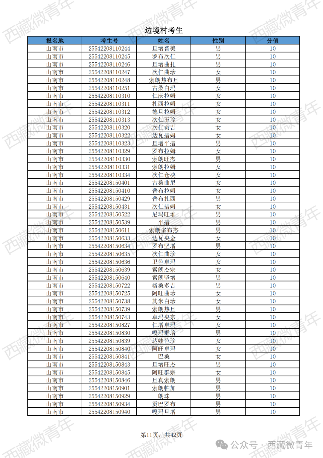
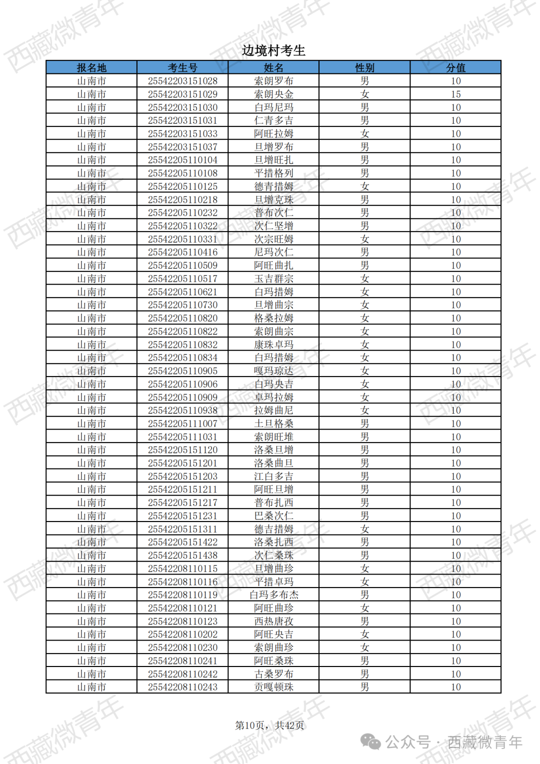
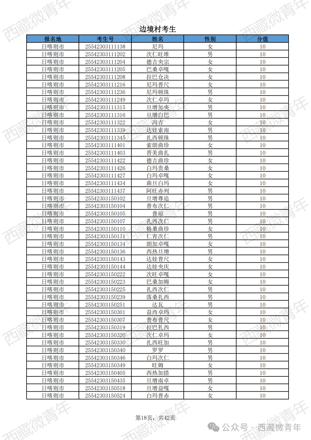
6.边境村考生(1959人)










































7.自治区级“先进双联户”家庭中参加次年高考的考生(14人)

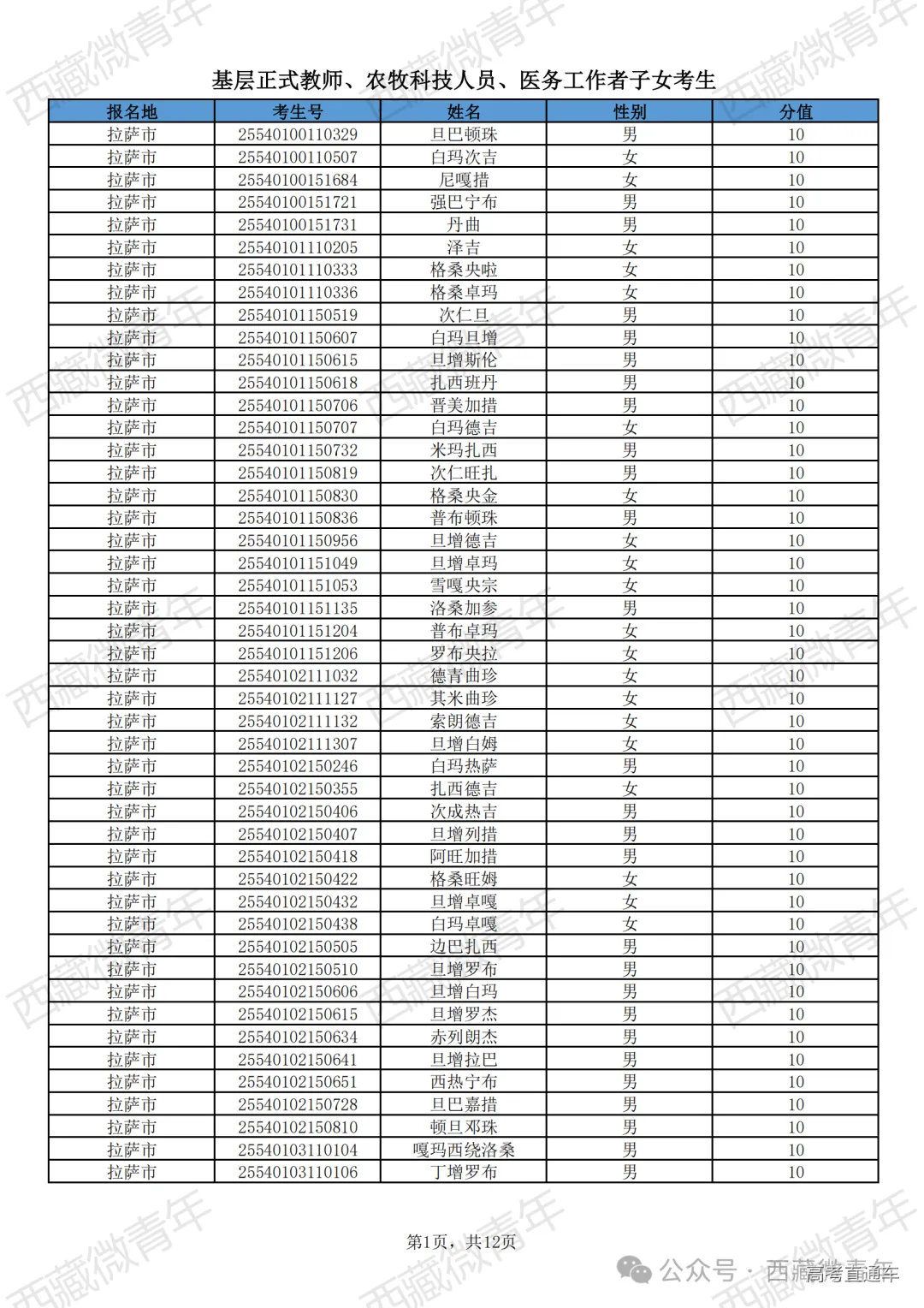
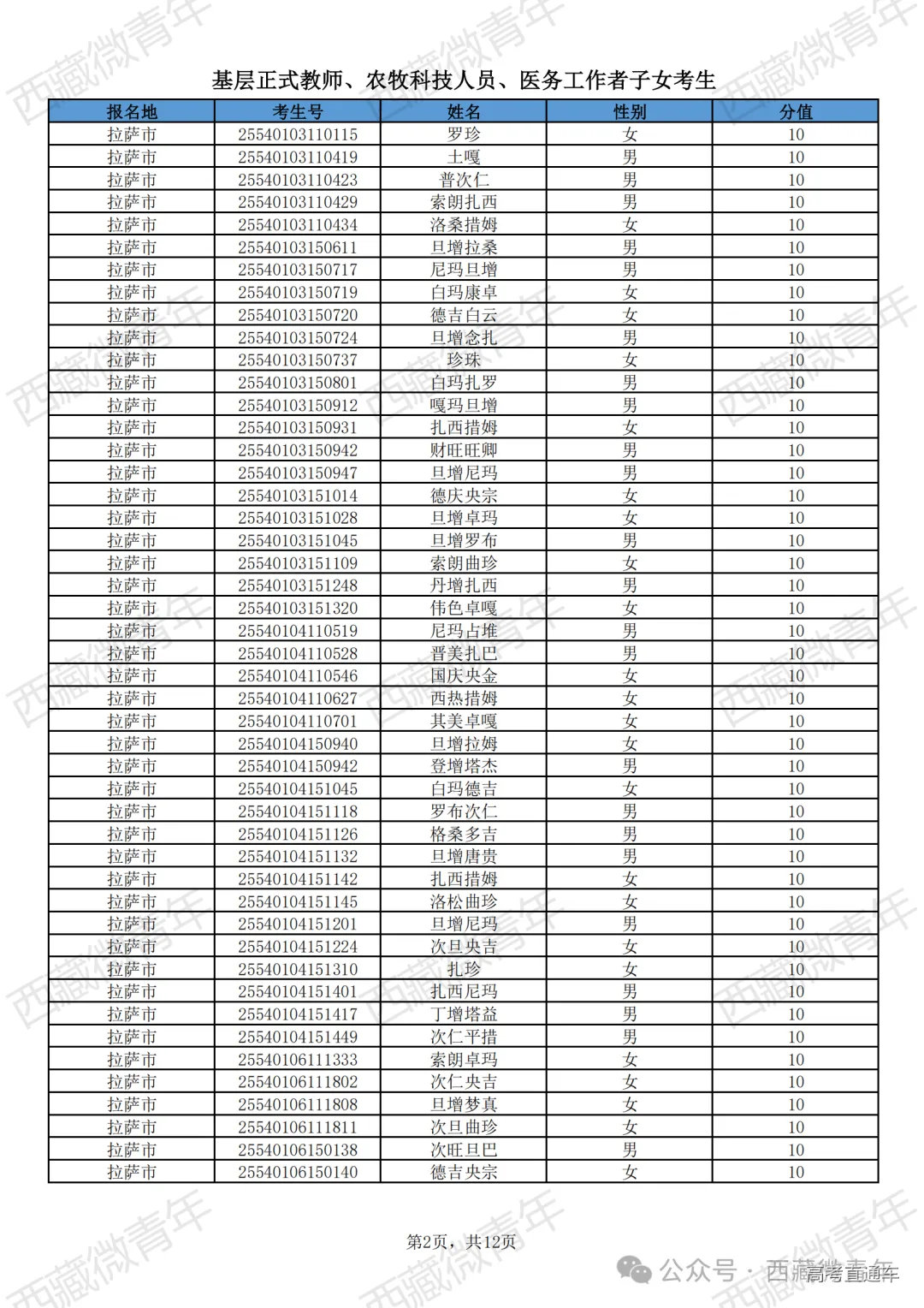
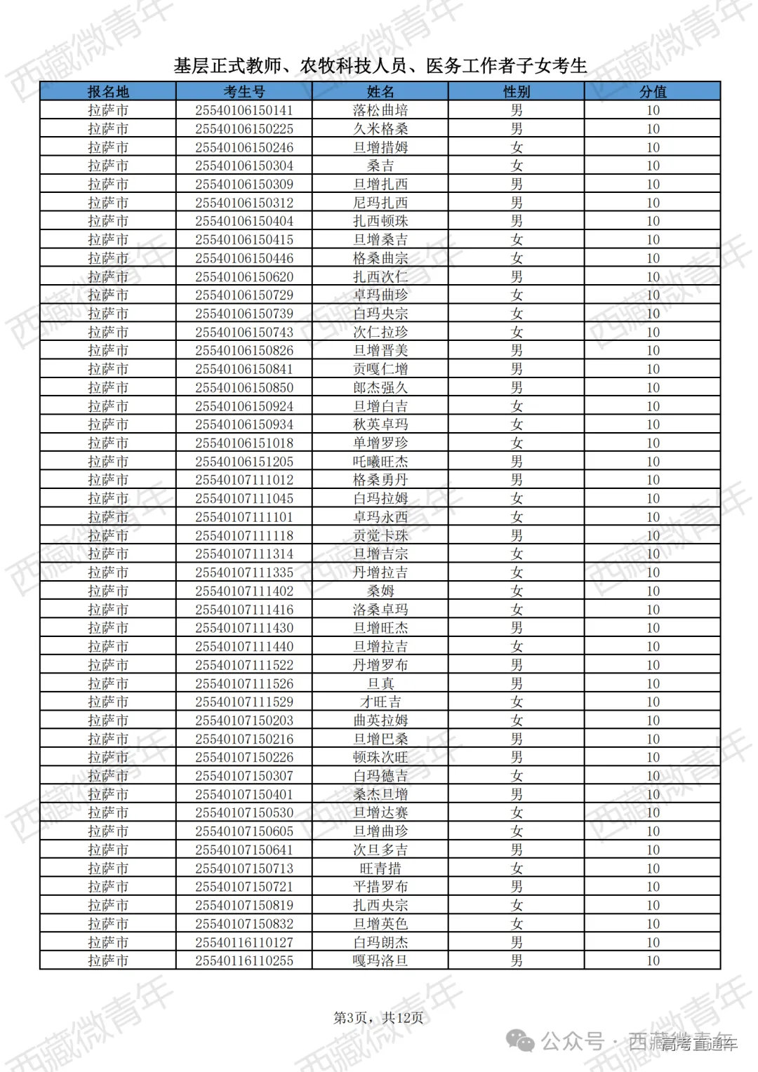
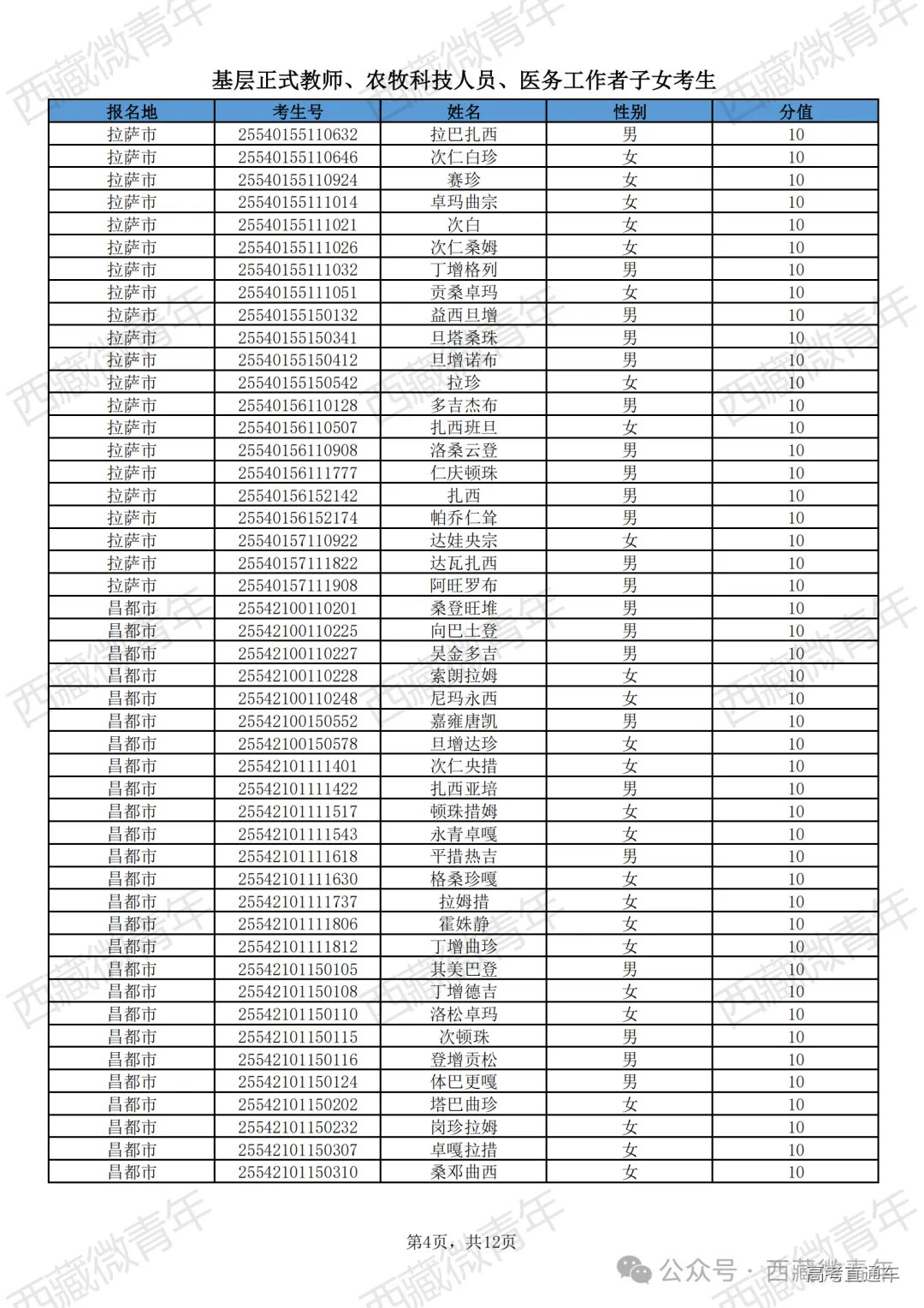
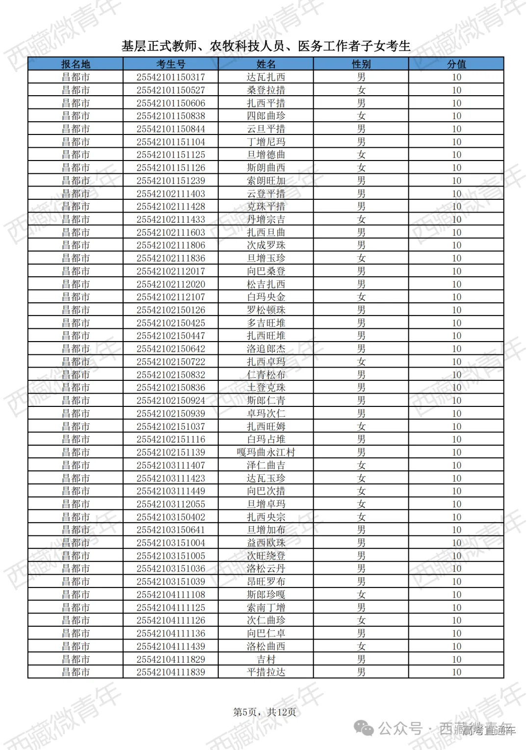
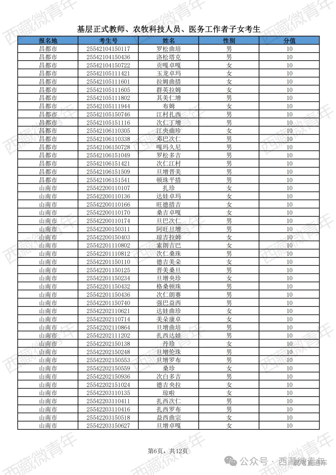
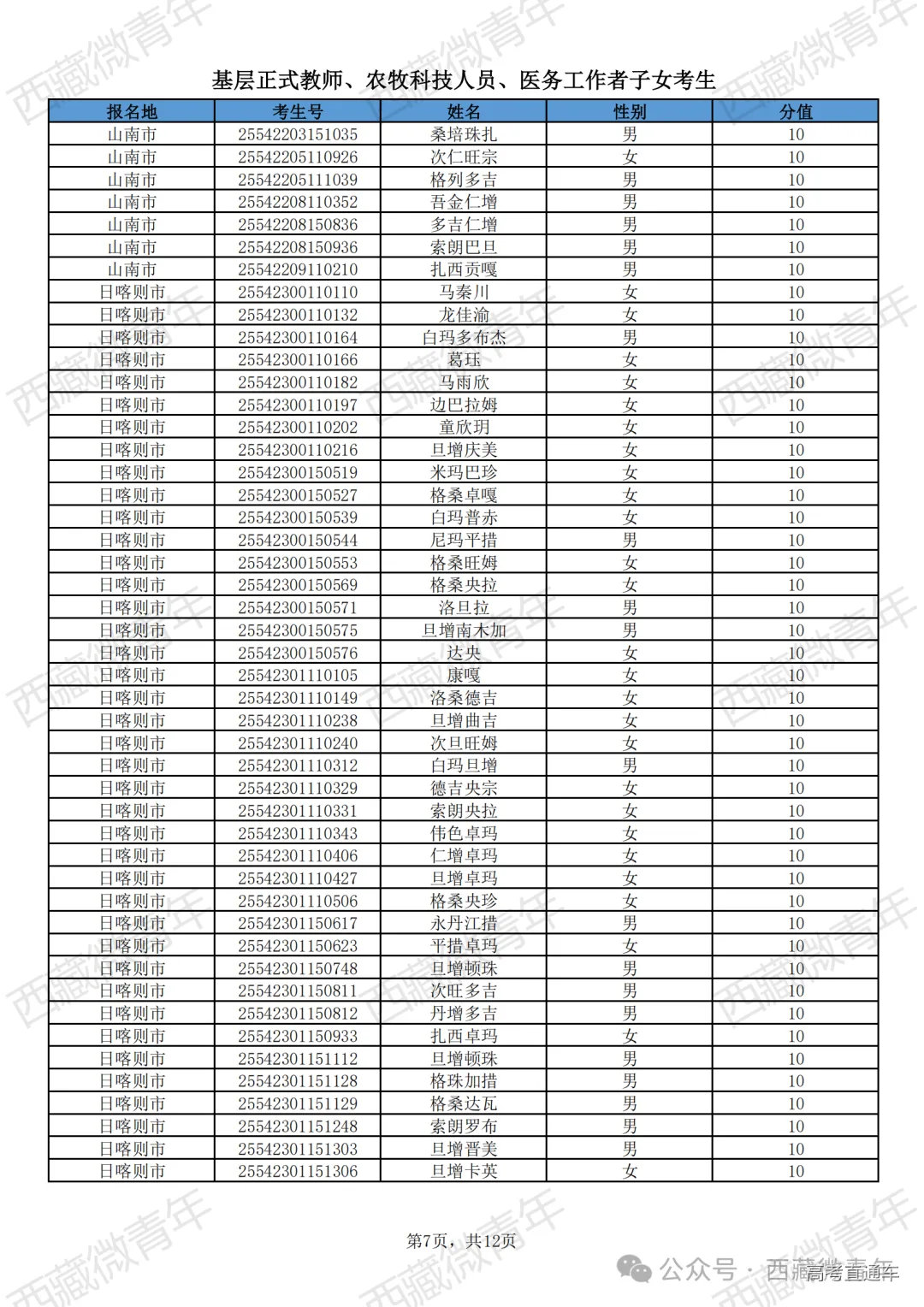
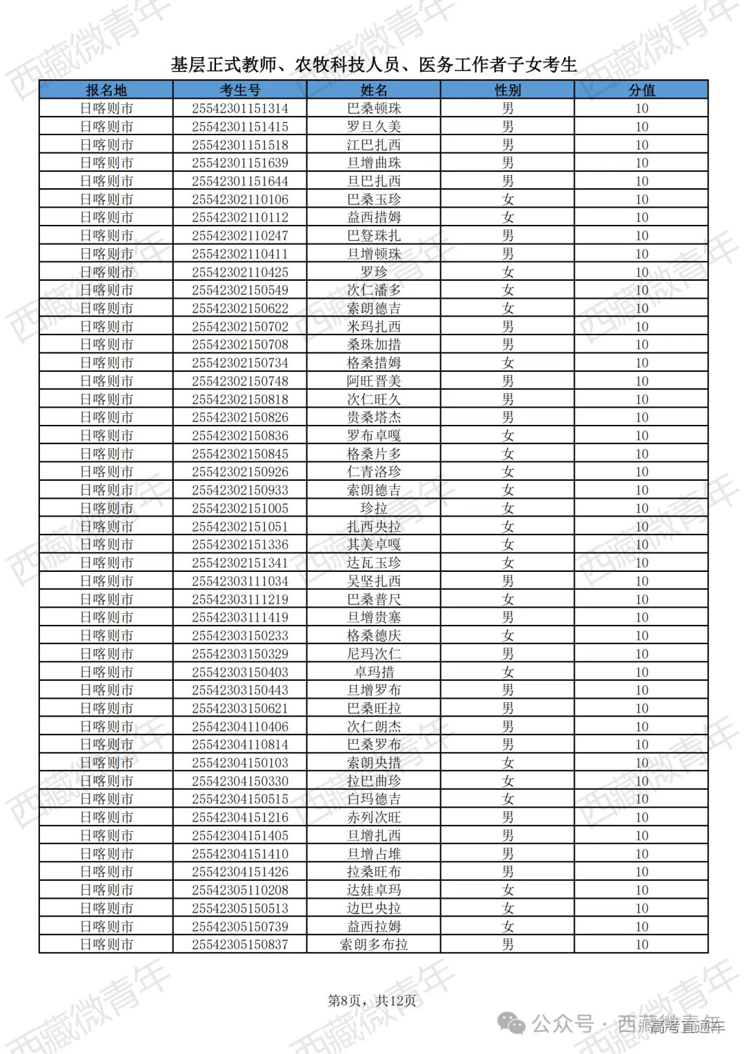
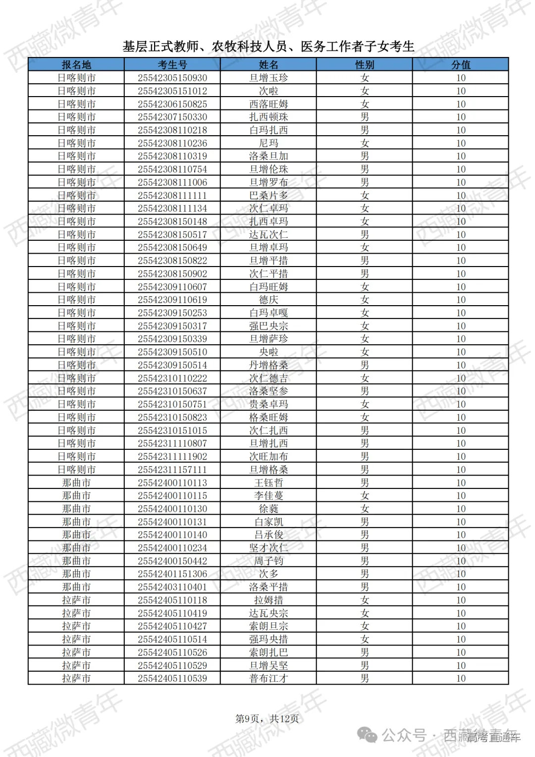
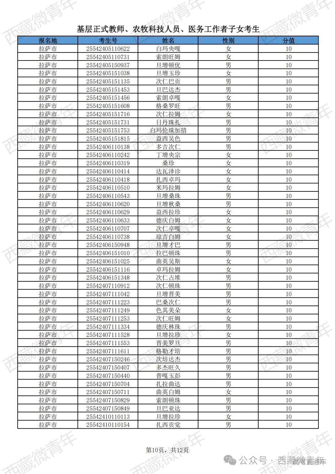
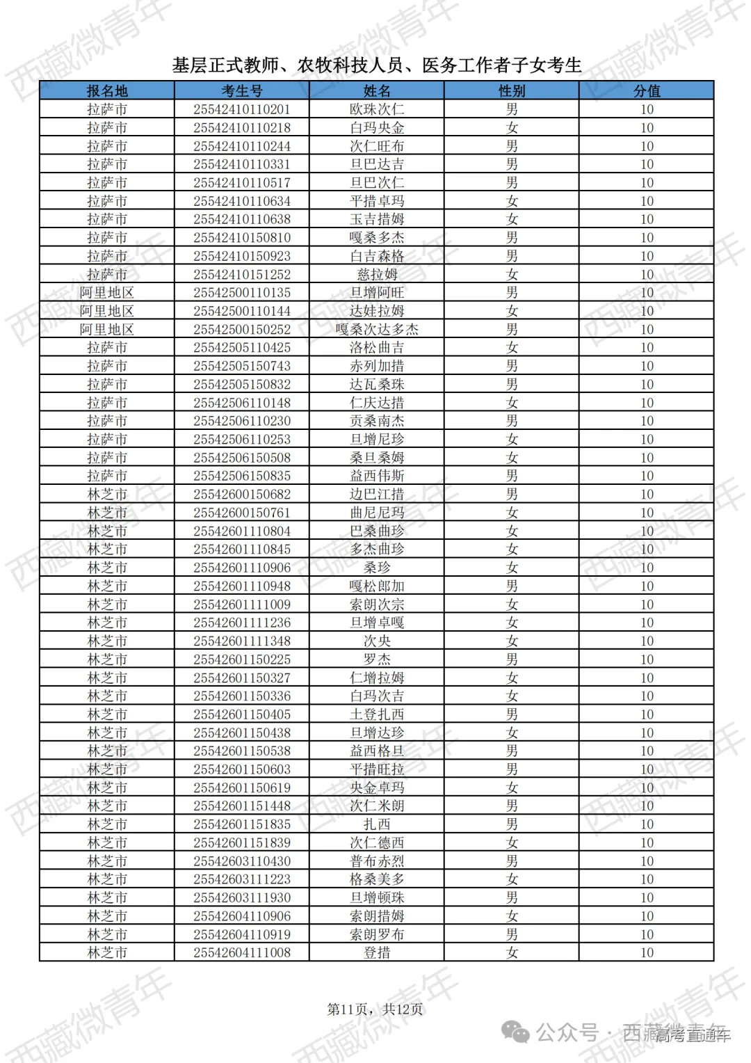
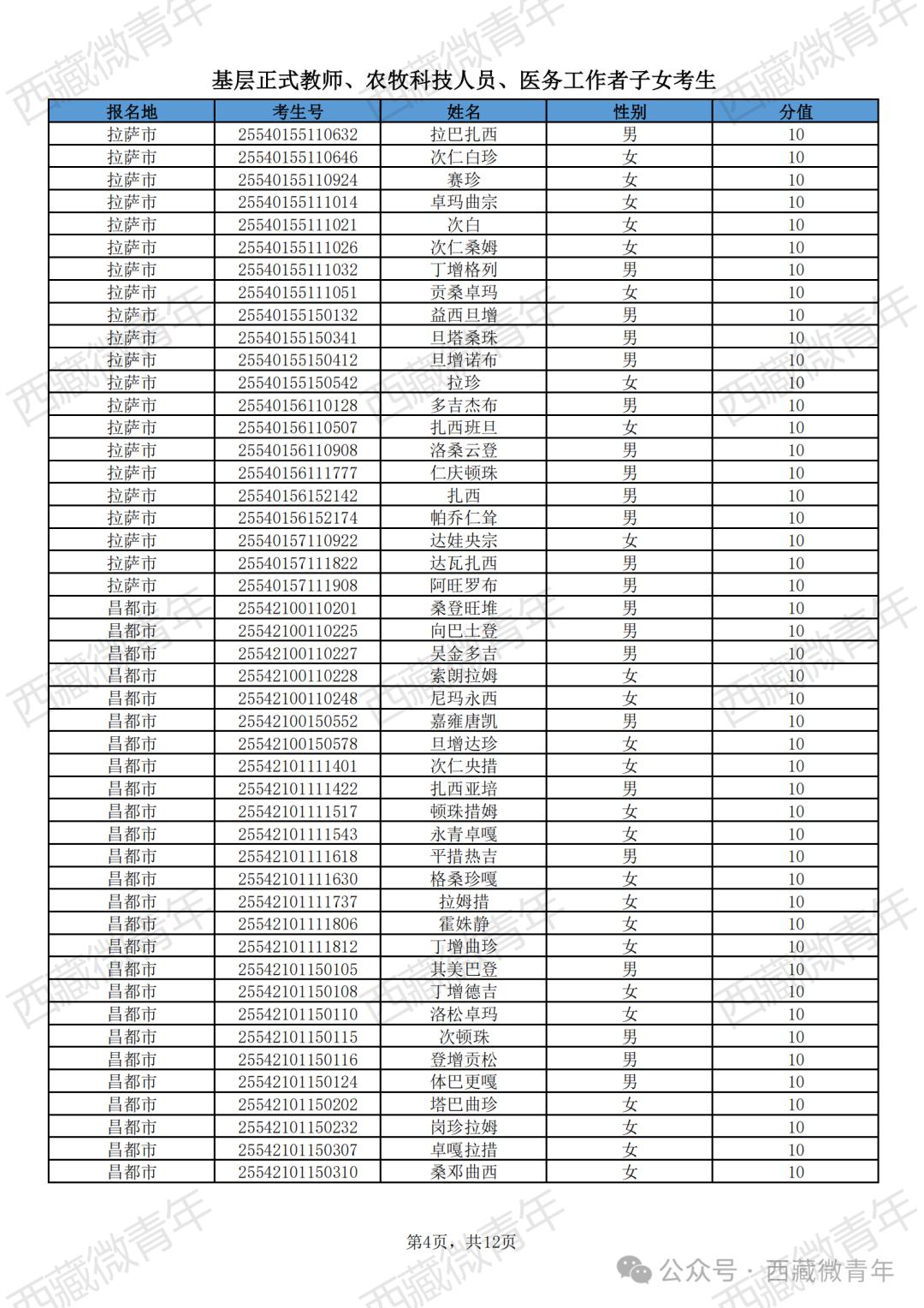
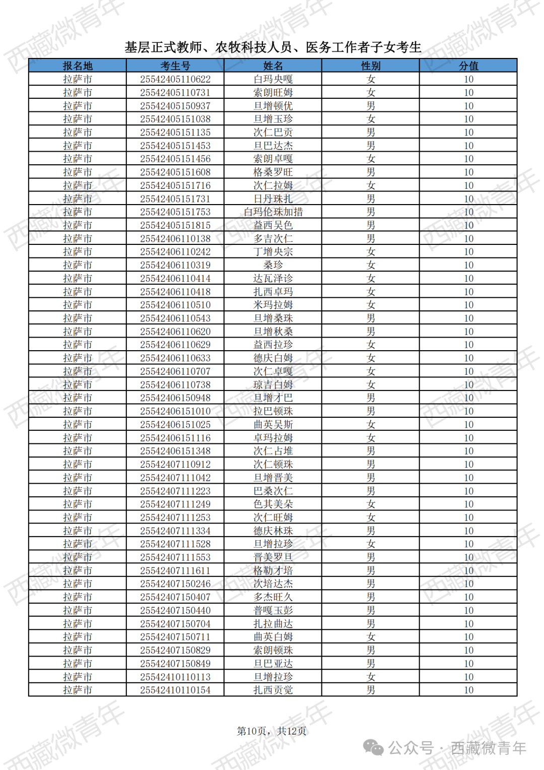
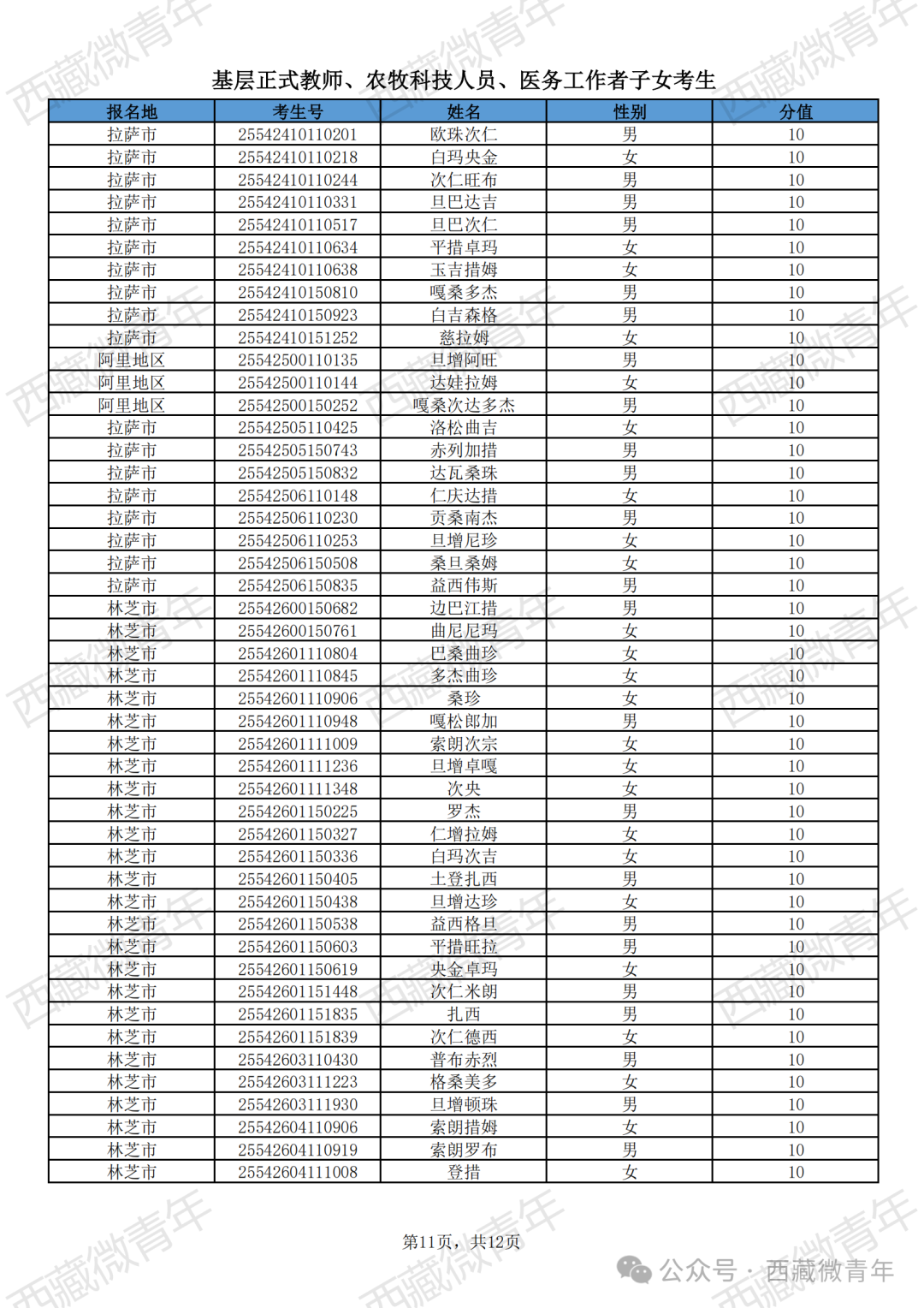
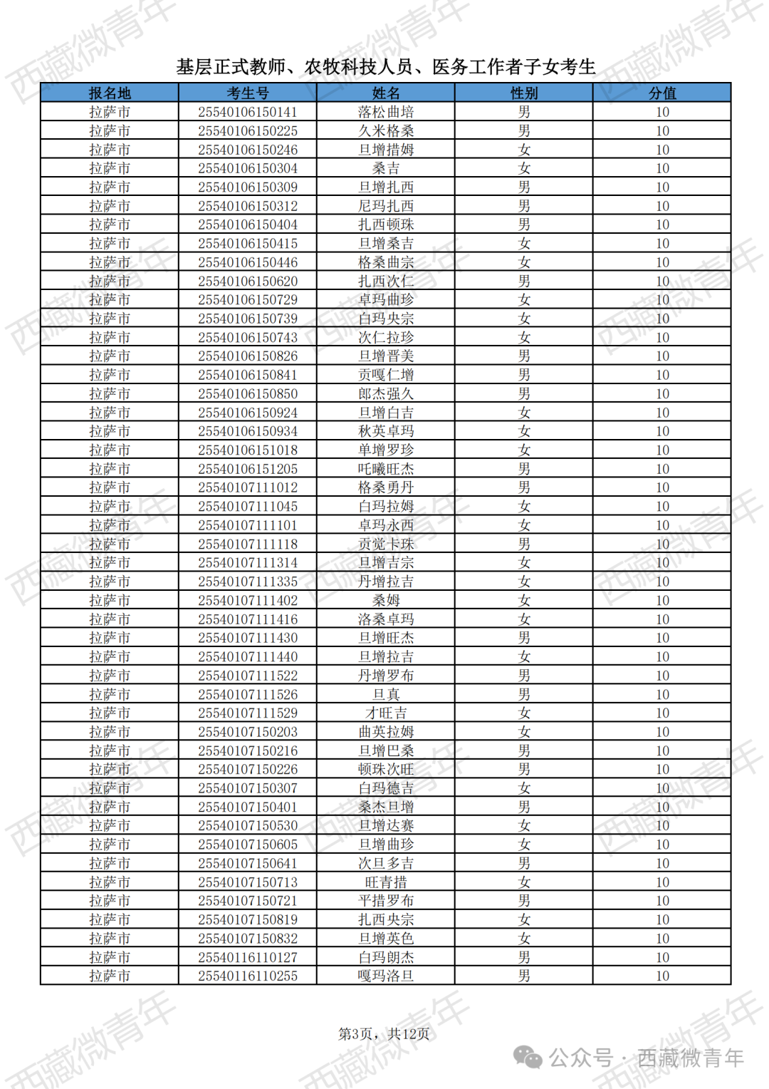
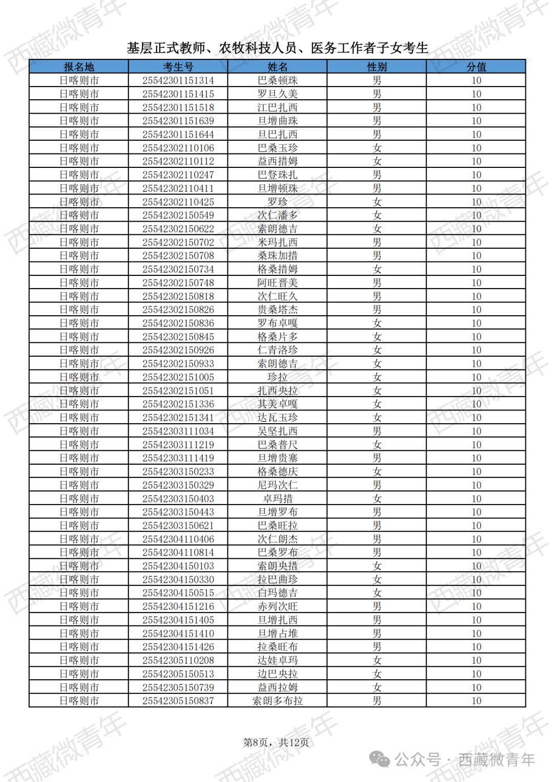
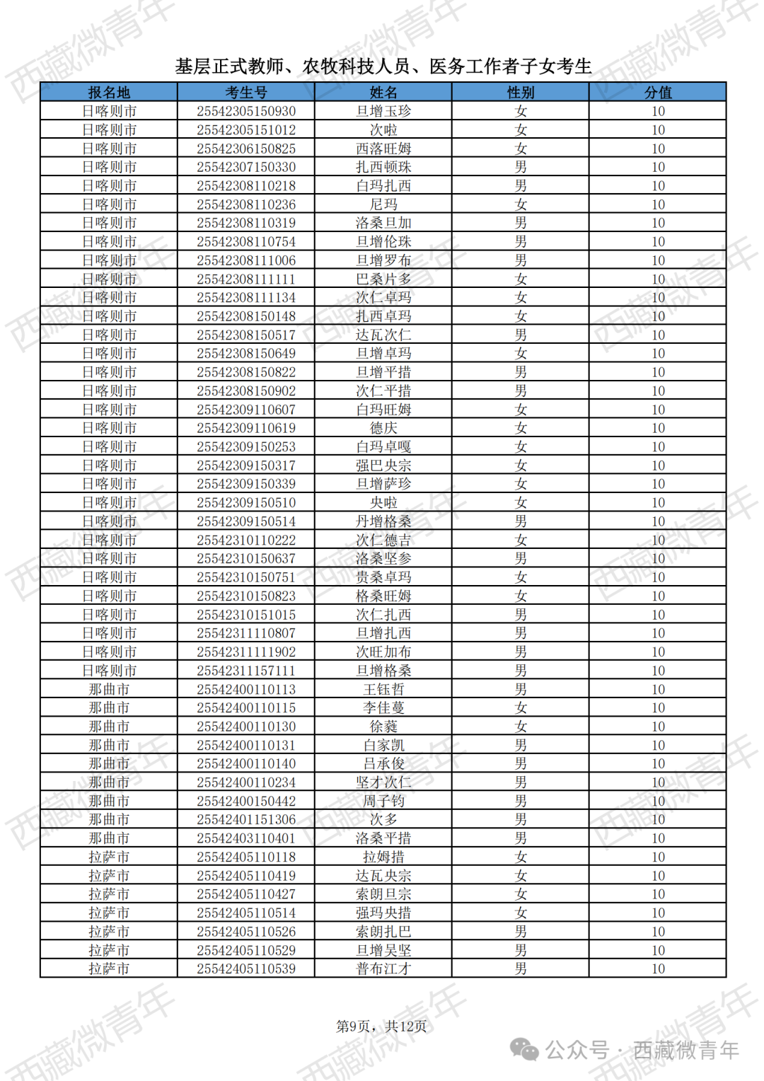
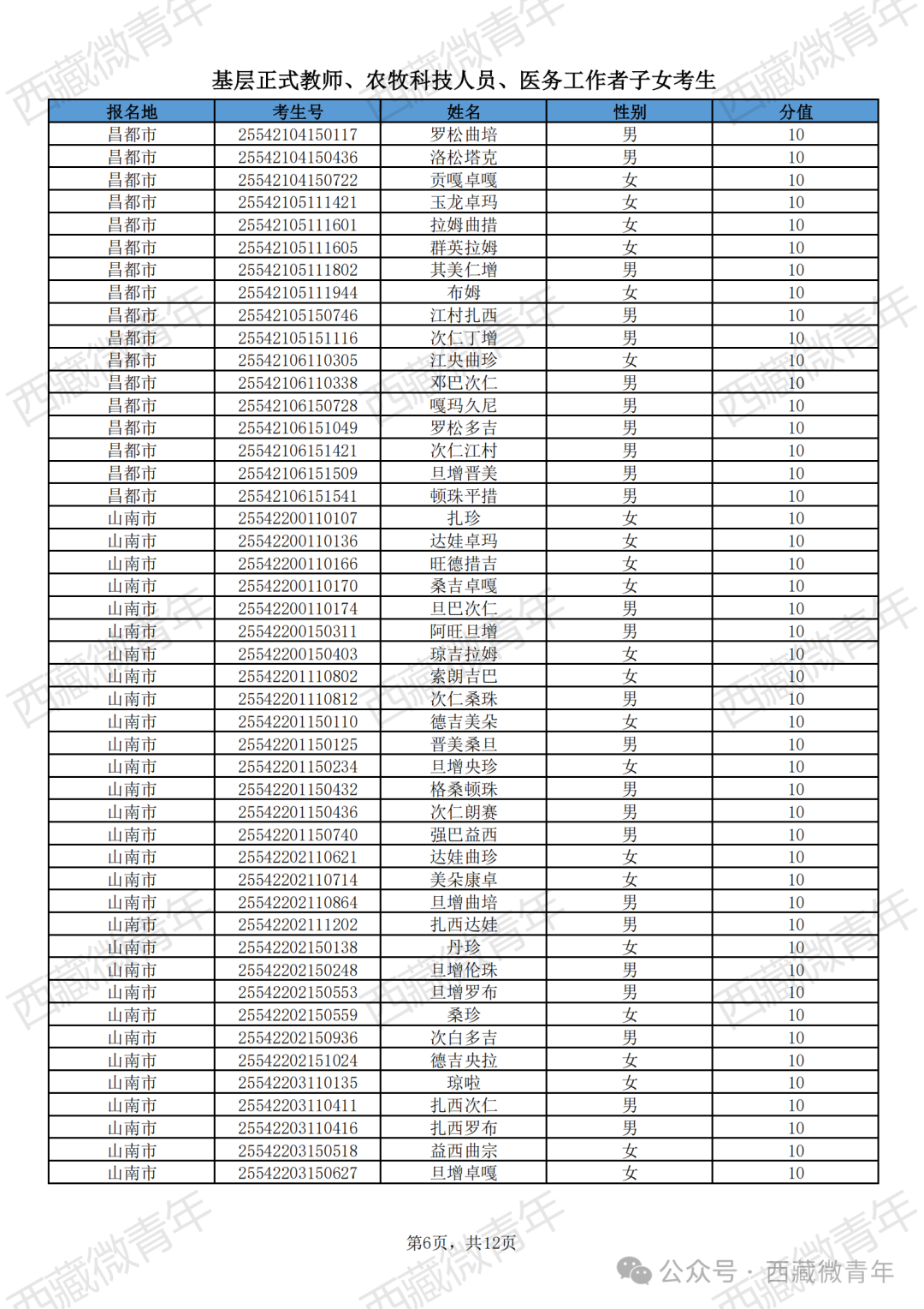
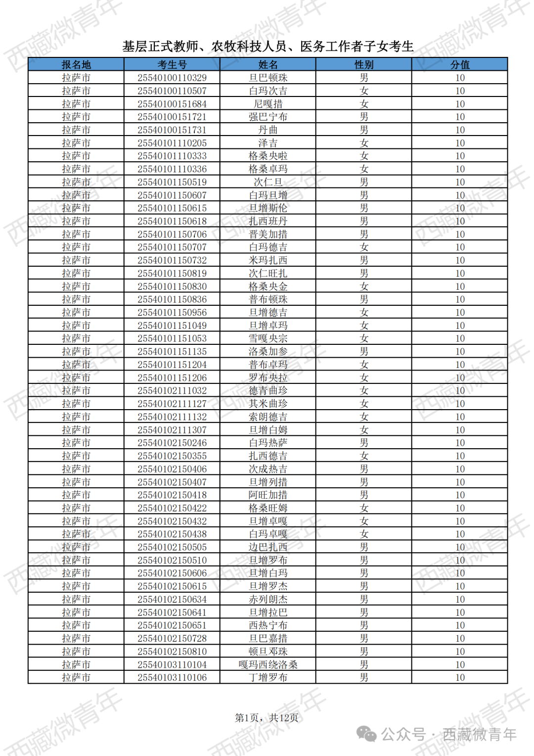
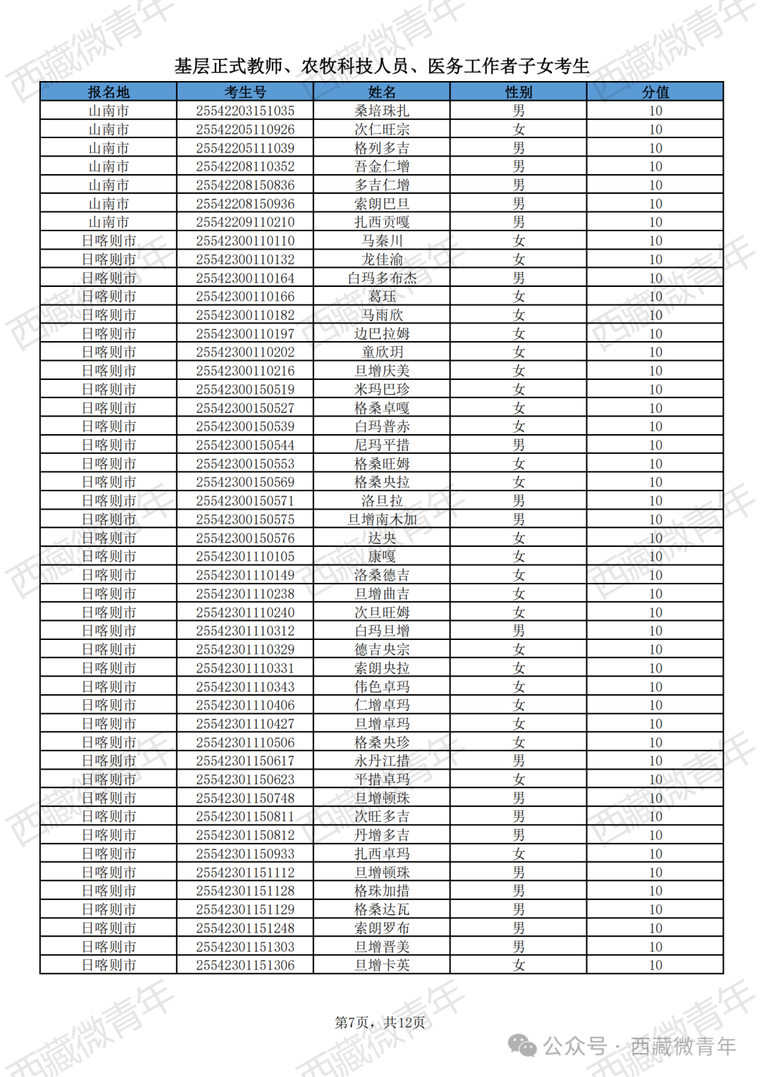
8.基层正式教师、农牧科技人员、医务工作者子女考生(540人)












9.同等条件优先录取考生(1人)

10.优先录取考生(241人)





