近日,陆丰市教育局官网发布《广东省公费定向培养粤东粤西粤北地区中小学教师(定向汕尾陆丰)违约人员名单》,共计5名同学违约,均在2023年6月毕业于华南师范大学。
原文如下:
广东省公费定向培养粤东粤西粤北地区
中小学教师(定向汕尾陆丰)违约人员名单
根据《广东省教育厅关于加强公费定向培养粤东粤西粤北地区中小学教师履约管理工作的通知》(粤教师函﹝2021﹞15号)和《广东省教育厅 中共广东省委机构编制委员会办公室 广东省财政厅 广东省人力资源和社会保障厅关于公费定向培养粤东粤西粤北地区中小学教师的实施办法》(粤教师﹝2020﹞2号)文件精神以及《广东省公费定向培养粤东粤西粤北地区中小学(幼儿园)教师协议书》协议事项,现对不履行服务期限约定的广东省公费定向培养粤东粤西粤北地区中小学教师(定向汕尾陆丰)名单予以公布如下:
陆丰市教育局
2023年9月27日
广东省级的公费师范生政策(即教师专项)从2018年开始实施。由于政策照顾幅度大、相关待遇优厚,自推出后便广受关注,报考热度很高。
考生被录取后,在校基本修业期内,免除学费、住宿费、军训服装费、教材资料费和实习实践费和发放生活补助费等,并按8000元/生·学年的标准给予生活费补助。
考生入学报到后与学校和培养计划来源地县级政府,签订三方公费定向培养协议书,承诺在校学习不转学、不转专业,且保证毕业后服从计划来源地安排,到定向范围学校(含村小、教学点)任教不少于6年,落实编制。
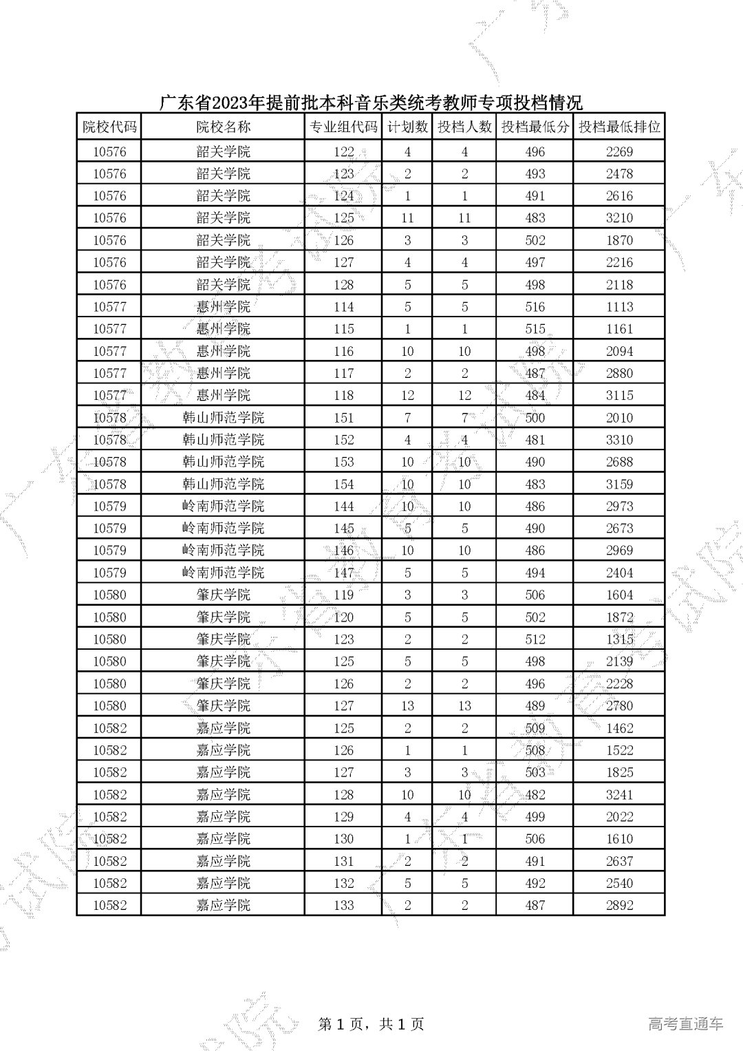
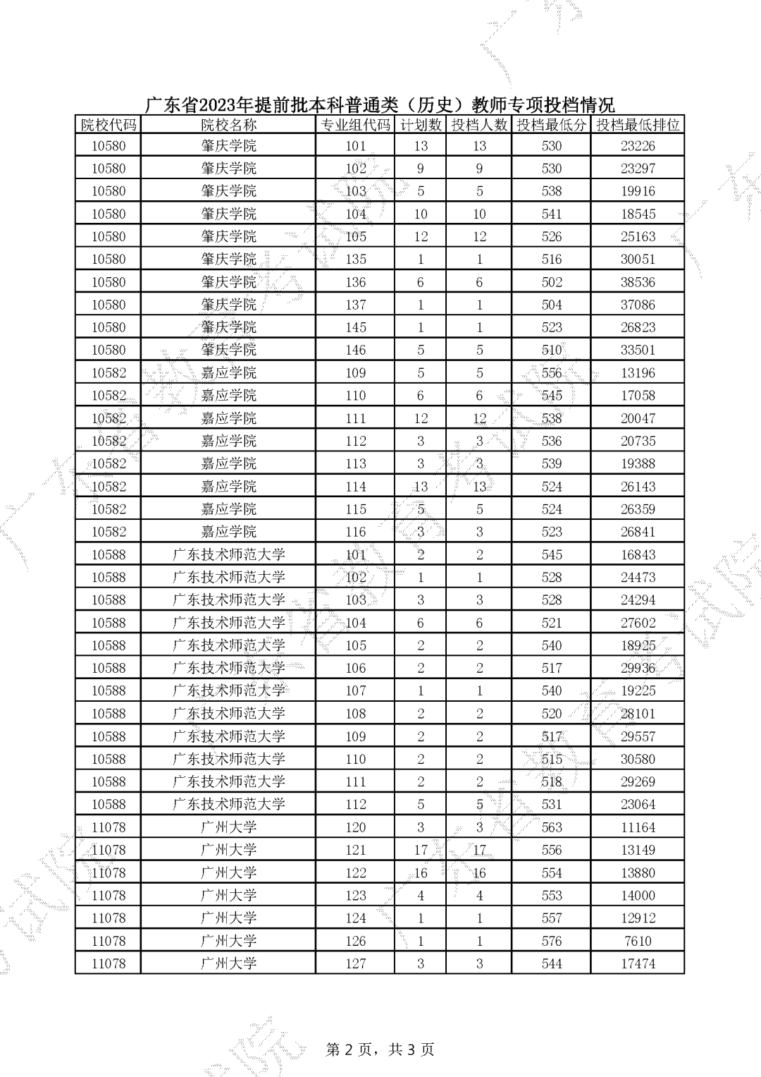
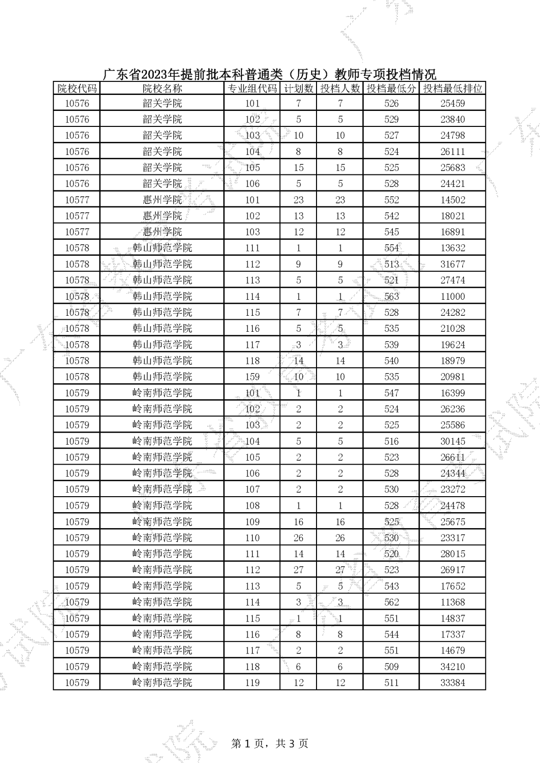
2023年,广东教师专项招生院校有10所,包括:华南师范大学、广州大学、广东技术师范大学、广东第二师范学院、岭南师范学院、韩山师范学院、肇庆学院、韶关学院、嘉应学院、惠州学院。
根据《广东省公费定向培养粤东粤西粤北地区中小学(含幼儿园、特殊教育学校)教师协议书》,公费定向师范生在协议规定服务期内,不得报考脱产研究生,不得以升学、调动为由不履行限期服务约定。
因身体原因除外,公费定向师范生若有违约情形,将退还教育培养经费、支付违约金,其违约行为也会记入人事档案和社会信用体系。
◆ 毕业后未按协议到指定学校从事教育工作:在违约处理决定公布后1个月内,一次性退还所享受的教育培养经费,并按培养经费总额的30%支付一次性违约金。
超过1个月期限仍未付清培养经费和违约金的,则每逾期一天,应按照缴交费用总额1‰,加付逾期付款违约金。
◆ 毕业后到指定学校从事教育工作未满六年:以“(约定服务年限-已服务年限)×1/6×培养经费总额×130%”的计算方式支付违约金。
自离开指定学校教育岗位之日起超过1个月期限,仍未付清违约金的,则每逾期一天,应按照缴交费用总额1‰,加付逾期付款违约金。
以上所列培养经费,按照本专科层次每生每年2万元的标准乘以已享受的公费定向培养年限计算。










