相关链接:教育部公布2023年度普通高等学校本科专业备案和审批结果
日前,教育部公布了2023年度普通高等学校本科专业备案和审批结果,共新增备案专业点1456个、审批专业点217个(包括160个国家控制布点专业和57个目录外新专业),调整学位授予门类或修业年限专业点46个。本次备案、审批和调整的专业,将列入相关高校2024年本科招生计划。
据统计,广东高校新增备案和审批的本科专业共89个,调整学位授予门类或修业年限专业3个。其中,新增数量最多的是广州华立学院(共6个专业),紧接着是中山大学(新增5个专业),并列位居第三的是广东白云学院、广州理工学院、广州应用科技学院和华南农业大学珠江学院(新增4个专业)。集成电路设计与集成系统、数字经济、网络与新媒体等专业新增较多。此外,华南理工大学的软物质科学与工程、智能海洋装备,广州体育学院的足球运动、体育康养为新专业。

在本次普通高校本科专业调整中,24种新专业正式纳入本科专业目录,2024年起,即可进行高考招生。目前,目录内共包含93个专业类、816种专业。
此次一共增设24种新专业:立足服务国家战略需要,设置大功率半导体科学与工程、生物育种技术等专业;聚焦科学前沿和关键技术领域,深化“四新”建设,设置电子信息材料、智能视觉工程、智能海洋装备等专业;推动中华优秀传统文化创造性转化、创新性发展,设置中国古典学等专业;聚焦服务健康中国战略需求,落实体育强国建设部署,设置健康科学与技术、体育康养等专业。
上下滑动查看2023年度普通高等学校本科专业备案和审批结果:
据了解,教育部同步发布最新版《普通高等学校本科专业目录》,包含93个专业类、816种专业。据了解,此次还结合经济社会发展需求变化和专业布局情况,对国家控制布点专业范围进行了动态调整,将资源勘察工程、护理学、助产学调整为国家控制布点专业。
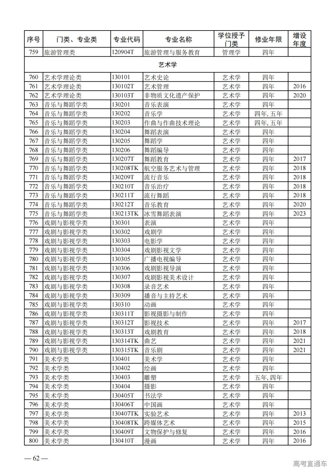
上下滑动查看普通高等学校本科专业目录(2024年):
此次专业设置工作,增设、调整专业点1719个,同时,对高校申请撤销的1670个专业点予以备案,增、撤、调共涉及3389个专业点,数量为历年最多。下一步,教育部将持续推动专业动态调整,有的放矢培养国家战略人才和急需紧缺人才,提升教育对高质量发展的支撑力、贡献力。
去年3月,教育部等五部门印发了《普通高等教育学科专业设置调整优化改革方案》,方案实施一年来,教育部持续加大专业设置调整工作力度,“一省一案”“一校一策”狠抓落实。目前已有23个省(区、市)、94所中央部门所属高校制定了实施方案。各省结合本地产业发展实际,梳理急需紧缺专业520种、就业率相对较低专业223种,为属地高校优化专业结构提供重要参考,推动区域人才供需匹配。同时,教育部对高校停招5年及以上的专业进行撤销预警,试行专业预申报制度,推动高校建立健全专业设置定期研究、提前研究工作机制,增强专业设置的前瞻性、精准性。





























































