各位考生:
我校招生办对截至到2022年9月27日报考我校的考生进行了报考资格审核,现将审核中发现的部分问题公布如下,请相关考生认真按要求修正报名信息(10月5日-10月25日网报期间可修改)或提交相关材料。具体情况如下:
一、教育部学信网学籍(学历)校验未通过
如教育部报名系统上提示学历校验未通过,考生可登陆中国高等教育学生信息网自行下载《教育部学历证书电子注册备案表》,认真核对网报所填信息并及时更正,直至校验通过。若更正信息后仍无法通过系统校验,请按下列要求将相关材料尽快(最迟于11月15日前)发到指定邮箱sszs@xmu.edu.cn,可能存在以下几种情况:
1.毕业年月、毕业学校、学习形式、学历码有误,须提交学籍/学历认证报告和毕业证书;
2.前置学历为国(境)外学历,须提交教育部留学服务中心出具的《国(境)外学历学位认证书》及毕业证书;
3.改过姓名,须提交户口本个人页(有曾用名信息)、学籍/学历认证报告和毕业证书;
4.改过身份证号,须提交派出所开具曾经使用过某个身份证号的证明、学籍/学历认证报告和毕业证书;
5.入学前可毕业的自考生和网络教育考生,须提交省自考办、网络教育高校出具的相应准考证和成绩单。
6.在校在籍学生(应届本科生除外)须提交所在培养单位出具的同意报考证明电子版(PDF格式)。
7. 2002年以前毕业的考生,如学历校验未通过且无法下载《教育部学历证书电子注册备案表》,请及时申请《中国高等教育学历认证报告》备查。
审核情况如下:
二、非全日制考生未选择“定向”报考类别
根据《厦门大学 2023年硕士研究生招生简章》规定,我校非全日制硕士研究生只招收在职定向就业人员,因此报考非全日制(学习方式)硕士研究生的考生,其“报考类别”(就业方式)必须选择“定向就业”,请以下考生及时修正报考信息:
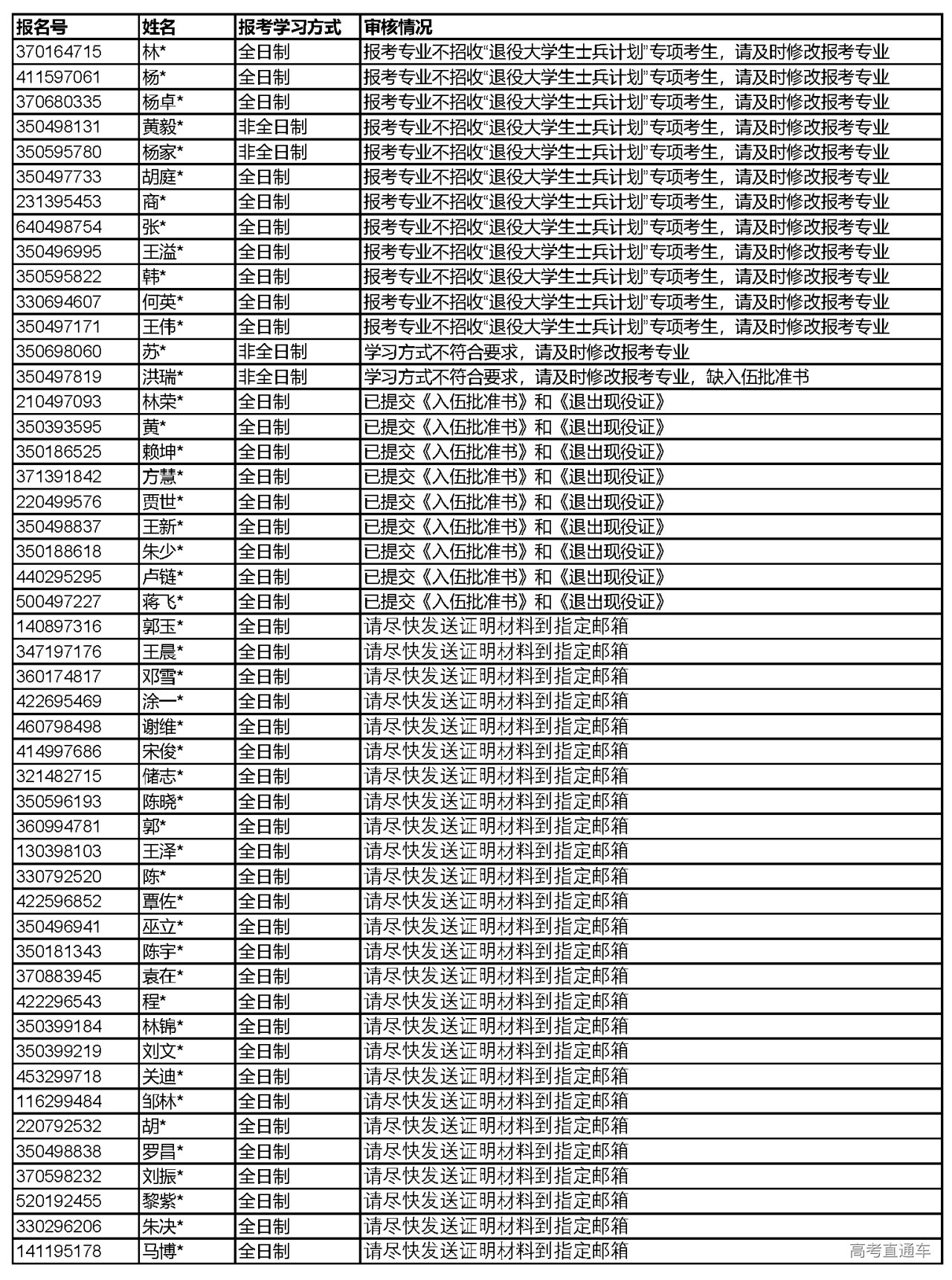
三、“退役大学生士兵”专项计划需提交相关材料
我校2023年“退役大学生士兵”专项计划硕士研究生具体招生专业和招生人数请详见https://zs.xmu.edu.cn/info/1055/5234.htm,请填报专业在规定范围之外的考生及时修正报考志愿。
符合报考条件的考生须尽快(最迟于11月15日前)将《入伍批准书》和《退出现役证》的扫描件发到指定邮箱sszs@xmu.edu.cn,邮件以及附件的名称请以“退役士兵计划+姓名”命名。
审核情况如下:
四、“少数民族高层次骨干人才”专项计划需提交相关材料
(一)报考定向新疆MPA的考生
报考定向新疆MPA的考生应报考的专业名称:公共管理,专业代码:125200,学位类别:专业学位,学习方式:全日制。
报考定向新疆MPA的考生须在初试划线之后、复试之前向报考院系提交经生源所在省级教育厅审批盖章的《少民骨干报考登记表》。
(二)除报考定向新疆MPA专业之外的考生
我校“少数民族高层次骨干人才专项招生计划”仅招收全日制学习方式考生,考生不得报考非全日制学习方式专业。
除报考定向新疆MPA的考生之外,报考其余专业“少数民族高层次骨干人才”专项计划的考生,请尽快(最迟于11月15日前)提交经生源所在省级教育厅审批盖章的《少民骨干报考登记表》扫描件发到指定邮箱sszs@xmu.edu.cn,邮件以及附件的名称请以“少民骨干计划报考登记表+姓名”命名。
审核情况如下:
表格4(该类型尚未开始)
五、同等学力考生需提交相关材料
须提交同等学力证明材料的考生,在初试划线之后、复试之前向报考院系提交:
A、已修过 6 门及其以上的本科专业课程,且成绩合格的成绩证明(须由授课单位教务部门盖章);
B、CET、GMAT、TOEFL、IELTS、GRE、PETS 等相关的英语水平(考试成绩须达到满分的60%及以上)的证明。
六、特别说明
除报考定向新疆MPA的《少民骨干报考登记表》以及同等学力证明材料之外,其余相关证明材料请在规定的时间内提交,逾期不能提供材料或材料经审核未通过者将不予发放准考证。招生办将安排专人定期查看邮箱,对提供材料有疑问者将以邮件回复,请及时查看。
如已提供材料但未在上述表格中显示审核结果或对结果有疑问者,可与我们联系。
请考生认真阅读招生简章、专业目录和网报公告上的报考条件和报考要求,因不符合报考条件及相关政策要求、网报信息误填、错填或填报虚假信息而造成后续不能网上确认、考试(含初试和复试)或录取的,后果由考生本人承担。
指定邮箱:sszs@xmu.edu.cn
联系电话:0592-2188888














