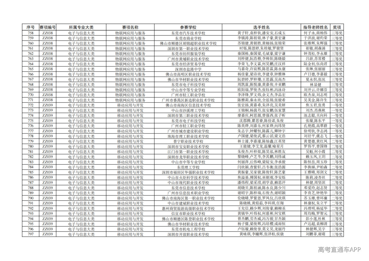
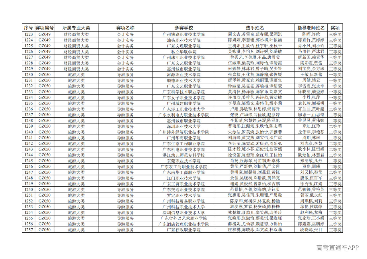
目前,2025-2026学年广东省职业院校学生专业技能大赛共169个赛项比赛已全部结束。现将拟获奖名单予以公示(附件1-2)。
公示期为2026年4月24日至2026年4月30日。公示期内,如对拟获奖名单有异议,请以书面形式向省教育厅反映。以单位名义反映的应加盖公章,以个人名义反映的应署真实姓名、身份证号和联系电话,否则不予受理。
联系电话:020-37627439、0757-22326150、0757-22326985;电子版发送至电子邮箱:zhizc@gdedu.gov.cn。
附件:
1.2025-2026学年广东省职业院校学生专业技能大赛拟获奖名单(中职组)
2.2025-2026学年广东省职业院校学生专业技能大赛拟获奖名单(高职组)
广东省教育厅
2026年4月24日













































































































