1月30日,广东2024年春季高考(“3+证书”考试)成绩正式公布,大家都查到成绩了吗
注:3+证书也是春季高考的其中一种形式,不等于语数英学考录取,学考成绩现在还无法查询!!!
根据考生提供的成绩和排位来看,今年高分考生有所增加。以分值较高的358分为例,今年考试的上线考生人数有3184人,比上一年同期的3倍还多,从这里可以看出两年的高分段人数差距悬殊。
而以分值稍低一些的205分为例,今年考试的上线考生人数高达7.23万人,对比上一年多出整整1.35万人,这样的差距多少有些令人咋舌。
数据来源:同学投稿
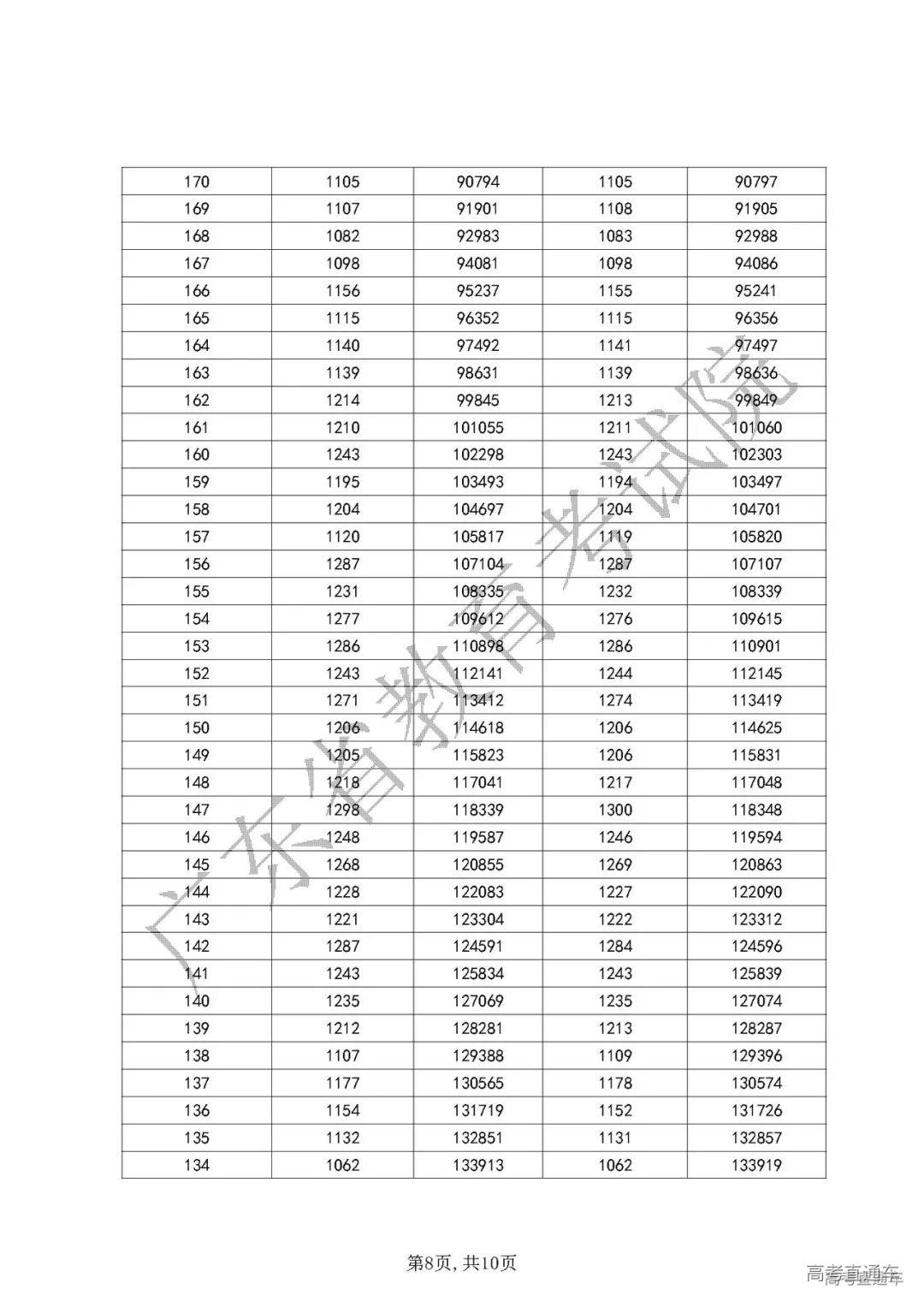
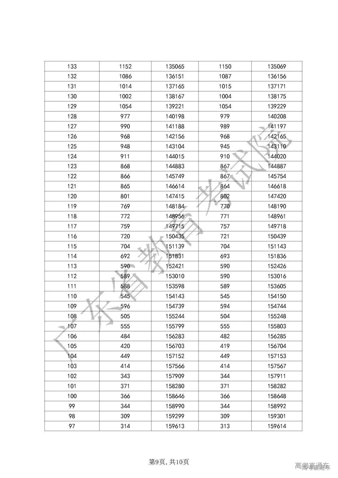
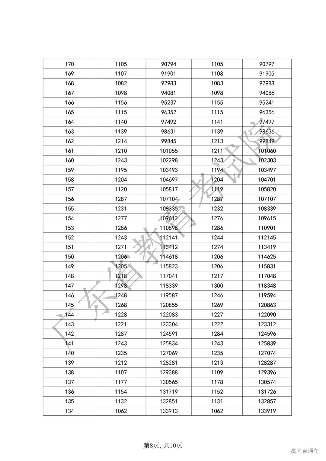
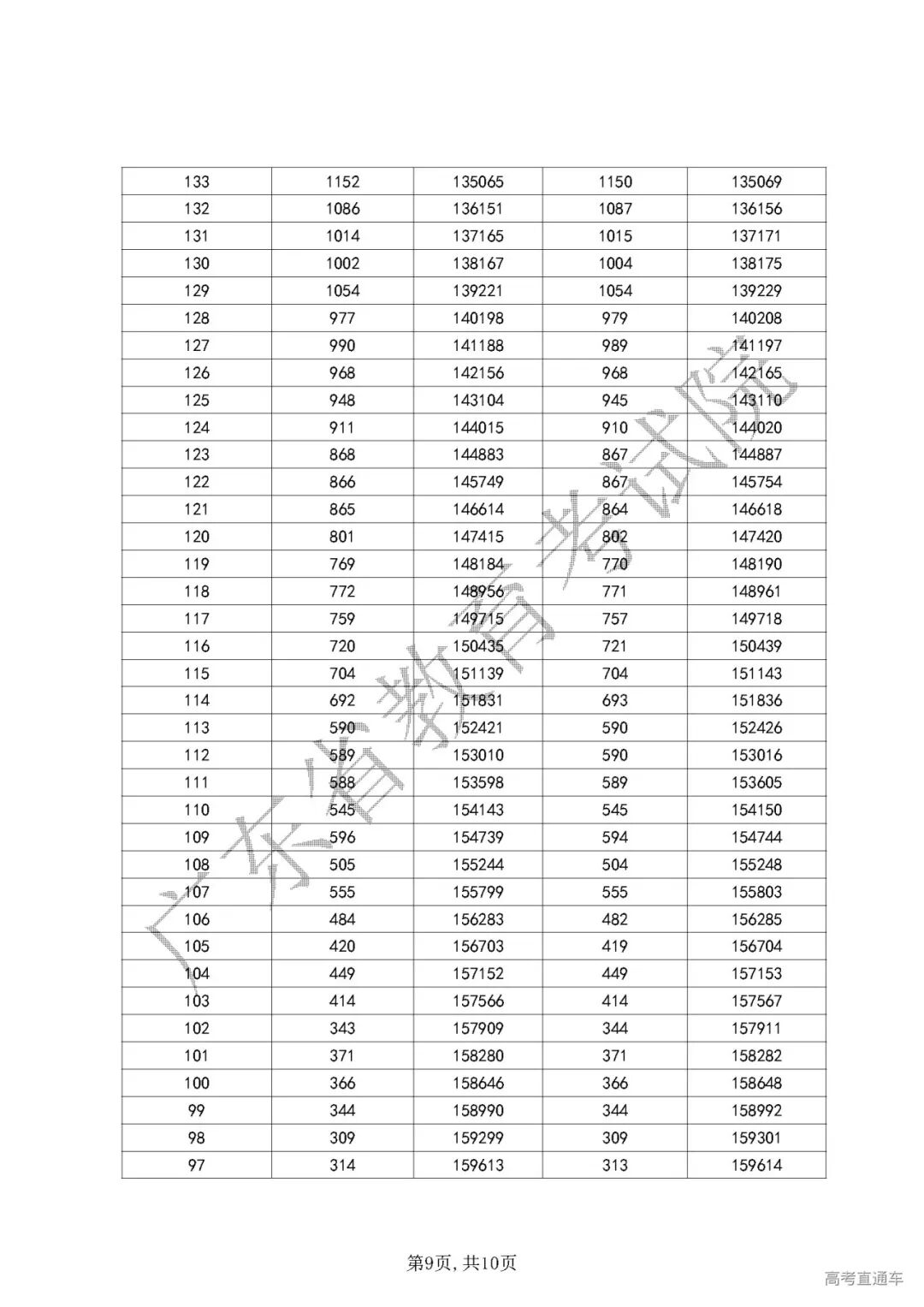
此外,目前也有一份网传版本的“3+证书”考试成绩分数段统计表,虽然数据不算完整,但我们也能从中获取到今年总体的情况: 全省已知最高分为420分,结合往年情况来看,预计今年400分以上的考生人数不少于10人; 今年成绩达到321分及以上,才有机会进入全省前10000名; 今年成绩在100分及以上的考生人数,初步预计有18.7万人以上,而2023年同期这一数值还不到16万。 图源:网络 填报志愿以排名(位)为主,由于高考是一种选拔性的考试,取决定性作用的自始至终都是排名。平行志愿要做三知报志愿:知分数,知分数线,知排名,所以在任何一年的高考录取分数,都可以折算为当年的排名的。所以应该拿考生自己的排名,跟学校的录取的排名能够匹配,这样才比较合适。 通俗点说:分数段统计表传递给考生的信息是,你的前面有多少人,你的位置在哪里。考生的排位将直接影响投档的排序,也就是系统检索志愿的先后。 考生投档顺序原则是:成绩从高到低排序。打个比方,小明总分是360分,就看分数段统计表,全省在360分前面的考生有325人。高校录取时,等到全省排名第325名的考生检索志愿完成后,才轮到小明。换句话说,排位在先的考生就有优先选择高校的权利,这就是“平行志愿”所谓“分数优先”的实质。 附:广东2021-2023年春季高考“3+证书”考试成绩一分一段表👇 目前,2024年春季高考“3+证书”考试的招生录取最低分数线(省控线)还没公布,2023年最低省控线专科批次为100分,本科批次为260分,不排除今年本科分数线会涨到280分左右。 考生需达到这个招生录取最低分数线(省控线),才可填报相对应批次院校志愿;需要注意的是,省控线不代表院校的最终录取分数,院校的录取分数需要看最低投档分。 附:往年“3+证书”考试省控分数线👇 2022年: 1、本科院校专业招收中等职业学校毕业生文化科总分260分。 2、专科院校(专业)招收中等职业学校毕业生文化科总分100分。 3、高职院校招收退役士兵考生文化科总分90分。 4、高职院校招收内地西藏新疆中职班考生文化科总分90分。 2021年: 1、本科院校专业招收中等职业学校毕业生文化科总分260分。 2、专科院校(专业)招收中等职业学校毕业生文化科总分100分。 3、高职院校招收退役士兵考生文化科总分90分。 4、高职院校招收内地西藏新疆中职班考生文化科总分90分。 2020年: 1、本科院校专业招收中等职业学校毕业生文化科总分260分。 2、专科院校(专业)招收中等职业学校毕业生文化科总分100分。 3、高职院校招收退役士兵考生文化科总分90分。 4、高职院校招收内地西藏新疆中职班考生文化科总分90分。 2019年: 1、本科院校招收中等职业学校毕业生文化科总分220分。 2、大专高职院校招收中等职业学校毕业生文化科总分110分。 3、高职院校招收退役士兵考生文化科总分100分。 4、高职院校招收内地西藏新疆班考生文化科总分100分。 5、志愿征集文化科总分85分。 2018年: 1、本科院校招收中等职业学校毕业生文化科总分305分。 2、大专高职院校招收中等职业学校毕业生文化科总分160分。 3、高职院校招收退役士兵考生文化科总分120分。 4、高职院校招收内地西藏新疆班考生文化科总分120分。 5、第一次志愿征集文化科总分100分。 6、第二次志愿征集文化科总分90分。 2017年: 1、大专高职院校招收中等职业学校毕业生文化科总分180分。 2、第一次志愿征集文化科总分150分。 3、第二次志愿征集文化科总分130分。 2016年: 1、大专高职院校招收中等职业学校毕业生文化科总分200分。 2、高职院校招收退役士兵考生文化科总分150分。 3、第一次征集志愿文化科总分160分。 4、第二次志愿征集文化科总分140分。 2015年: 1、大专高职院校招收中等职业学校毕业生文化科总分200分。 2、高职院校招收退役士兵考生文化科总分150分。 3、第一次志愿征集文化科总分170分。 4、第二次志愿征集文化科总分150分。














