近年来,成都新学校建设不断加码,2025年、2026年又有不少初高中即将上新,都有哪些?位置在哪里?由什么学校领办?一起来看看!
今年9月10日,成都市七中育才学校金融城校区正式揭牌亮相。这是继水井坊校区、汇源校区、银杏校区、东湖校区开办后,七中育才迎来的第五个直属校区,从此“一校五区”的办学规模正式开启。
七中育才学校金融城校区位于锦江区锦华路三段786号,近金融城东地铁站F口,占地面积2.98万㎡(合约44.8亩),建筑面积约5.6万㎡,总投资约4.4亿元。学校建设理念先进,环境优美、视野开阔、布局完善,配有能满足60个教学班的教学楼、实验室、食堂,多功能报告厅、图书馆、室内运动场等各类场馆,是一所高规格硬件配置的面向未来教育的现代化校园。学校已于2024年8月全面竣工,计划于2025年9月开始招生。
金融城校区与七中育才学校一脉相承,文化统一、理念统一、课程统一、教学统一、研训统一、资源统一。
管理团队方面,筹备小组2023年就已组建,成员全部来自七中育才。执行组长由七中育才学校办公室主任周玲任担任,筹备组成员由七中育才学校各校区优秀管理干部组成,成都市七中育才学校党委书记吴明平、校长臧玲全程参与、全面指导各项筹备工作。
师资方面,锦江区早在去年就在七中育才等5所名校增配了50名优秀师资,在学校跟岗培训,根据需要派往七中育才金融城校区等新建学校。今年,又增配了50名优秀教师,同样在5所名校跟岗培训,将根据需要派往新建学校,确保区域优质师资持续稳定输出。
未来三年,七中育才也将统筹协调各校区成熟、优秀的管理干部、班主任、学科教师,分期分批选派到金融城校区工作,来快速地帮助金融城校区提升教育品质。
招生方面,预计会加入锦江五区划片,确切消息要看明年官方发布。
四川省成都市墨池书院中学是成都七中与武侯区教育局共同打造的全日制公办完全中学(初中+高中)。
学校位于成都市武侯区武青西三路,总投资约6.3亿,建设总用地面积36667.09㎡,总建筑面积49792.01㎡,绿化面积12521.82㎡,绿化率30.06%。
预计开设48个班级,初中24个班,高中24个班,预计招收2400人。
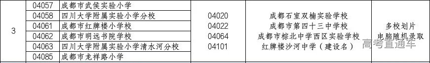
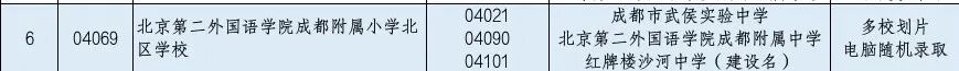
初一年级今年已经开始招生,划片服务于武侯4片、8片和10片:
高中暂未公布招生开校时间,但网传很有可能在2025年开校,高中招生后,可能会对部分学生住校。
成都石室锦官中学是成都石室中学和武侯区人民政府联合打造的一所公办完全中学(初中+高中),位于红牌楼一街9号(紧邻红牌楼地铁口),规划占地面积约为40亩,建筑面积约 43000平,采取“两自一包”运行模式。
学校是石室教育集团在武侯区的唯一一所领办型成员学校,也是唯一靠近石室中学文庙校区的领办型学校,与本部关系密切。
学校依托石室中学教育集团“一核两翼五策略”的发展模式,实现学校共治、学生共育、教师共培、课堂共建、资源共享。
管理方面,石室中学田间书记任成都石室锦官中学总学监、名誉校长,石室中学毛道生校长任成都石室锦官中学专家指导委员会主任。
石室中学还从两校区干部及骨干教师团队中选拔优秀人才,组建了学校的管理团队。目前学校负责人是张良,一位从毕业后就一直在石室中学工作的“老石室人”。
中学生物高级教师,毕业于上海华东师范大学,毕业时作为全国首届公费师范生优秀代表接受时任国家总理温家宝同志接见。毕业至今,一直在石室中学工作,先后担任班主任、教研组长、年级领导小组成员、工会委员、学校发展中心副主任(主持工作)等职务,有着丰富的教育教学经验和行政管理经验。
曾获评成都市优秀青年教师,全国赛课一等奖,指导多名教师赛课获省、市一等奖,参编包括国家级教材在内的多本专著,多项成果获省、市科研成果评比一、二等奖,多篇论文发表。
师资方面,石室中学也有很多支持。

学校目前已经储备了数名优秀教师,且初2028届所有教师都将于今年年底全部到位,并赴石室中学跟岗学习一学期以上才可以上课,均是成熟教师;二是石室中学明年还将在今年已派出老师的基础上再派出数名骨干教师到学校承担教育教学任务。
同时,“石室系”管理和师资团队也把本部经验带到了石室锦官中学。
比如,在分析学生日常学习得失这块,学校用的就是“石室中学大数据精准教学系统”。据学校介绍,锦官中学将开办拔尖创新人才课程体系,注重培养学生的创新思维和实践能力,还计划大力引进青少年科技创新项目,开创学生科技特色教育,研究制定与之适配的贯通式课程培养体系。
硬件方面,石室锦官中学里的功能教室也非常多,包括了图书馆、医务室、心理咨询室、室内篮球场、美术室等等,这些都是高标准进行的打造,比很多民办学校的建设标准还高。
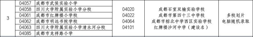
招生方面,2024年初中部已经招生开校,划片服务于武侯的三片和六片。目前招收了初一年级4个班,明年计划招收6-8个班,大概率还会开设高中学段,感兴趣的家长们可以关注一下。


西川悦湖学校是由西川教育集团领办的公立学校。其中,中学项目占地面积21942.42平方米,总建筑面积32563.55平方米,地上建筑面积约21946平方米,地下建筑面积约10617.55平方米,办学规模为36个班,计划提供学位约1800个。
幼儿园项目占地面积6612.19平方米,总建筑面积12737.54平方米,地上建筑面积约8276.95平方米,地下建筑面积约4460.59平方米,办学规模为18个班,计划提供学位约900个。
据之前公布的消息,中学及幼儿园项目预计将于今年9月完成“正负零”施工,12月基本实现主体完工,预计2025年5月完成竣工验收。明年是否能开校还未可知。
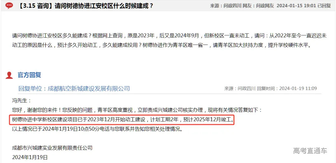
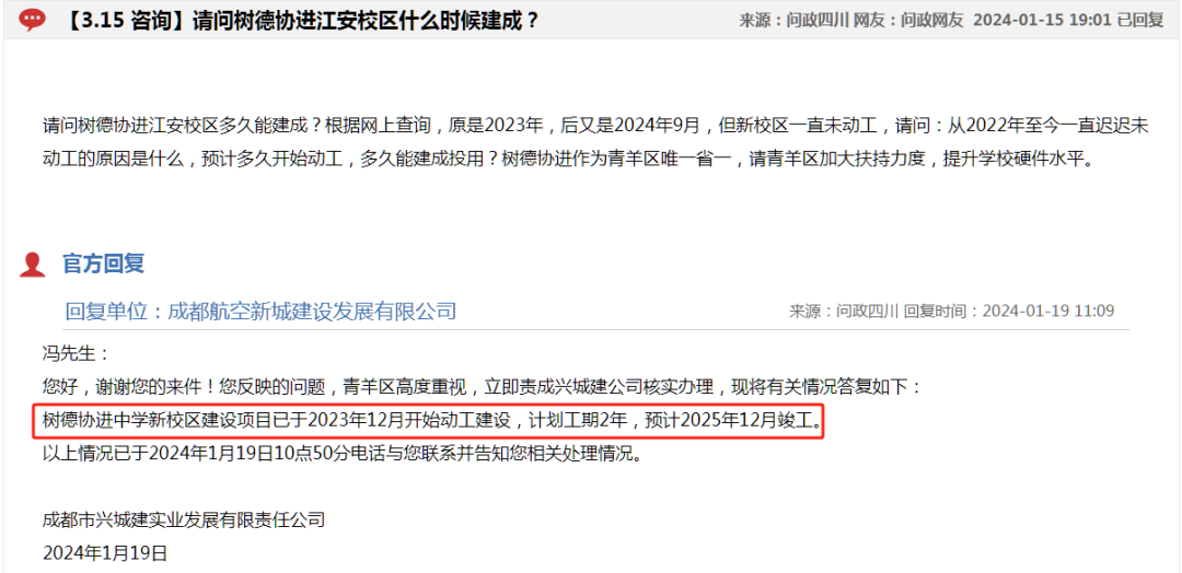
树德协进江安校区位于青羊区非遗板块,规划是一所完全中学(初中、高中),根据计划工期要到2025年12月建成,估计最快投用也要到2026年9月。
江安校区占地面积66409.15㎡,建筑面积近100000㎡,按照84个(初中48个,高中36个)行政班进行设计。校区建筑形神兼备、实用大气,融古典意蕴于现代风格,充分体现了学校深厚的文化底蕴和厚重的红色历史。



硬件设施规划有千人报告厅、校史陈列馆、党史陈列馆、陶艺馆、服装设计室、戏剧室、书画室、汽车设计室、合唱排练室、音乐演奏室、琴房、考试指挥中心、大数据管理中心、人工智能机器人实验室、劳动实践活动室、数字录播室、理化生综合实验探究室、学生发展指导中心等功能室。建有400米标准田径场,以及室内外篮球场、羽毛球、排球、乒乓球等运动场地。
景观效果图


据了解,江安校区建成后,江安校区成为高完中,宽窄校区办成“九义校”,招收小学生,树德协进整体形成“一校两区”公办K12贯通培养新格局。
最近祺爸爆料,金牛区备受关注的大北区中学将成为成都二中的新校区。学校预计2025年7月竣工,明年或将开校。
学校位于金牛区天龙大道东段与天佑路交汇处北侧,占地约70亩,由金牛区住建和交通局牵头、金牛国投集团作为项目业主实施建设。
据了解,大北区中学将办成一所高中,为成都二中的第二个校区。未来,成都二中在新校区附近还将领办一所小学和初中。
祺爸查阅资料后发现,涉及的学校大概率就是凤凰山公园片区小学和中学,两校一街之隔:小学位于金牛区天云路以东,利民路以西,天宝路以南。占地71亩,建设规模为占地面积约47333平方米,总建筑面积约88000平方米。
中学位于金牛区天云路以东,利民路以西,金华寺西路以南。占地76亩,建设规模为占地面积约50667平方米,总建筑面积约85000平方米。
两所学校项目信息
随着新校区的投入使用,成都二中也将和石室中学、成都七中一样,形成“一校两区”办学格局。
成都嘉祥龙潭新城学校是由成华区教育局、成都市龙潭工业机器人产业功能区管理委员会、四川知名教育品牌嘉祥集团共同打造的一所九年一贯寄宿制优质公办学校。学校占地约57.23亩,总建筑面积约6.6万平方米,拟建设中小学54个班,预计提供学位约2500个。
项目效果图
新学校作为一所公办寄宿制九年义务教育学校,除了硬件上的升级,嘉祥还将派出校长、副校长、中层及骨干教师,管理、师资、课程、教研、专家指导等教育资源也将与嘉祥同步,努力把学校办成在全市基础教育中特色鲜明、质量领先的示范性、新样态、高品质学校。
项目2024年1月底开工建设,7月已完成总体工程进度的13%,预计2026年6月完工。
今年成华还与金苹果集团签约,金苹果将领办成都熊猫国际旅游度假区北湖片区配套中学和北湖秀水片区配套小学,并提供管理、师资、课程、教研、专家指导等优质服务,并派出包括校长、副校长、中层干部和骨干教师组成的教学管理团队,全面负责学校的筹备和管理。据说对标金苹果锦城一中。
北湖片区配套中学,位于成华区湖滨二路,占地52.8亩,建筑面积32230平方米,设计规模48个班;小学项目为北湖秀水片区配套小学,位于成华区湖滨二路西侧,占地面积21.6亩,建筑面积18576平方米,设计规模30个班。学校开办时间还没有定。

2023年3月,四川天府新区社区治理和社事局与成都市石室中学签署合作办学协议,由成都市石室中学领办的公办全日制完全中学——天府新区第一中学(石室中学云龙路校区)应运而生。
和石室中学云龙路校区一起规划建设的,还有石室中学云龙校区附属小学、云龙路小学,“三校一区”布局锦江生态带锦江西片区,将形成一个12年一贯发展的教育区域。
三所学校有着紧密的内在联系,它们在前期的规划设计上,无论是建设规模、班额容量,还是设计理念、校园文化,都在统一进行规划打造;学校投用以后,三校的发展规划、教育理念、课程的共享与衔接等,也都将纳入一体化的管理。
石室中学云龙校区位于青岛路以西,武汉路西段以北区域,占地面积约133.2亩,预计设置72个班,高中、初中各36班,可容纳学生约3600人。
根据公布的信息,成都市石室中学云龙校区总建筑面积约11万㎡。其中,地上建筑面积约9.7万㎡,地下建筑面积约1.4万㎡,主要包括教学及教学辅助用房、综合楼、食堂、体育综合配套、宿舍等。

学校鸟瞰


学校体育馆、游泳馆意向图
学校于2024年02月20日开工,计划2025年06月30日竣工,9月投用。
据了解,石室中学将深度参与项目学校规划、建设等筹备工作,但具体人员还没有定。
今年年初,双流区官宣树德中学领办怡心湖A区、C区九年一贯制学校,这也是树德中学第一次领办纯九年制学校,许多家长都非常关心两所学校的建设情况,何时开校。
9月,成都市双流区智慧蓉城运行中心在问政平台上回复:工程进度方面,怡心湖A区九年制学校已于2024年8月5日挂网招标施工、监理单位,怡心湖C区九年制学校正进行造价评审等筹备工作,预计2024年8月上旬挂网招标施工、监理单位,为精准匹配教育资源,合理安排建设时序,根据当前怡心湖片区住宅开发进度和覆盖范围适龄儿童数量预测,树德中学领办的两个校点计划于2025年、2026年分批建成投用,建设期间若无不可抗力自然因素影响前提下,区教育局将根据怡心湖A、C区两个九年制校点建设进度情况及截至2025年7月实际完成情况,具体决策2025年投用其中一个建设进度满足教学需求的校点。

涌泉校区鸟瞰图

永宁校区鸟瞰图
成都七中领办的菁才中学(暂定名)是由成都七中与成都市温江区重磅合作打造的公办学校,设计规划涌泉和永宁两个校区,总占地约188亩,建筑面积180000平方米,将于2025年8月正式开校。
学校以成都七中办学理念为引领,传承百年名校办学历史积淀,创新办学机制,聚力打造温江品质教育名片,将建设成具有温江特色、高品质新样态现代学校。
资料显示,截止上个月,学校主体结构已全面封顶,进入装修阶段。目前教师招聘也已经启动,要求也比较高。

涌泉校区正校门

永宁校区正校门

涌泉校区墨池云亭

永宁校区惜时广场

涌泉校区图书馆

永宁校区教学楼庭院

涌泉校区空中操场

永宁校区校园连廊
今年7月4日,龙泉驿区教育局与嘉祥教育集团签订合作办学协议,由嘉祥教育集团领办项目学校。
据悉,双方合作的项目学校银杏东小学项目和银杏西中学项目(均为在建项目)位于大面街道银杏大道两侧,是龙泉驿区教育局拟举办的九年制义务教育公办学校。嘉祥教育集团拟将项目学校纳入集团教育联盟校,并选派优秀管理团队和骨干教师驻校开展教育管理和日常教学工作。项目学校预计于2026年9月交付投用,由嘉祥教育集团领办6年。

银杏东小学项目
项目规划63个班,学位2970座,其中:初中27个班(50人/班),学位1350座;小学36个班(45人/班),学位1620座。
去年9月,新都、武侯两区达成共识,共建公办初中——西川储英中学。

10月25日上午,新都区西川储英中学项目签约暨开工仪式正式举行。学校选址原传化物流园区,占地面积约60亩,计划设48个初中教学班、2400个学位,预计2025年9月投用。
除了上述学校外,还有成外和金牛区联合办学的九义校,明年也要开校招生了;
锦江区林家坝TOD南侧配套中学项目,传闻是川师附中新校区,最近才完成招投标,工期计划874天,投用还早得很;
成都七中领办的成都生物城未来学校,目前已经完成了勘察设计的招标,目前评标结果正在公示中;
石室在双流航空港领办的初中学校,暂时还没有最新消息;
树德在成华区领办的成都和悦初级中学,之前说是2024年开工,最新消息是学校目前正在进行方案设计、净地审查工作,预计2025年内开工建设;
在龙泉驿区领办的树德东安学校也还在规划中,有媒体猜测学校将落户大面单元蒲草北片区,中学规划36班、小学36班,但是还没有官方消息。










































