“断档”、“捡漏”、“爆冷”等高频词汇仿佛成了提前批的专属。所谓的“低分捡漏”,其实就是用了一个远低于往年录取线的分数,上到了985/211等名校的现象。
那么如何报考提前批?提前批是否还能够捡漏?造成连年频发的“捡漏”现象对于2023届考生有何启示?下面小车就来为大家分析和总结院校“断档”原因和捡漏经验。
在2022年各省市的本科提前批投档情况中,不少知名大学都出现了比较有意思的现象,如:
在新疆公布的文史类本科提前批生源统计表中,复旦大学的最低投档分数超出了几乎所有人的意料:最低投档分仅为552分。放到普通批次,552分恐怕连排名靠前的211都上不了吧,更别说顶尖院校复旦大学了。
有的网友可能会站出来反驳:这位新疆考生是文史类考生,552分已经是一个非常高的分数,上岸复旦大学算不上是捡漏。
我们不妨来看下往年复旦大学在新疆的最低录取位次:2021年高考,复旦大学提前批的最低录取位次为116位,普通批次为97位。然而,上文中这位552分的考生,排名是800多位,这还不算“捡漏”吗?
此外,北京师范大学(珠海校区)在新疆理工类只要435分就能被录取,北师大是实力最强的师范院校,即使是珠海校区,在各省的录取分数线也是奇高无比,跌至四百多分其实是非常罕见的。
有同学可能会觉得,这是因为北京师范大学的珠海校区,不是本校区,所以分数线不会很高,但是从其他省份的投档线来看,北京师范大学(珠海校区)分数可一点都不低。比如云南国家优师专项录取的文史类,都是要600多分的:
宁夏国家专项中捡漏的现象简直十分罕见,北大、清华、上交大、同济、西安交大等校比同层次其他院校分数线低20多分,甚至低150多分。如:
文史类:
北京大学604分,清华大学588分,清华比北大低16分
理工类:
北京大学602分,清华大学626分,北大比清华低24分。
上海交通大学433分,上海交通大学医学院584分,前者比后者低151分,而正常情况下本部是比医学部分更高。
电子科技大学557分,武汉大学535分,华中科技大学513分,哈尔滨工业大学468分,同济大学430分,西安交通大学460分,正常情况下,后面几所院校分数线都比电科大要更高。
而2022年这些院校都比电科大还低,甚至同济、西安交大、哈工大等老牌重点院校投档线竟然只有460,实在是罕见。
另外,宁夏2022年高考各批次分数线为文史类第一批487分,理工类第一批412分。一般来说,985大学应该要超过第一批录取院校分数线100分左右,理工类也就是要达到500分以上,不然可以说是爆冷。
我们来看看宁夏高考国家专项计划中有哪些985大学投档线没有达到500分的。
中国农业大学投档线456分;
东北大学投档线490分;
大连理工大学投档线467分;
吉林大学投档线476分;
上海交通大学投档线433分;
同济大学投档线430分;
东南大学医学院投档线451分;
山东大学威海分校投档线457分;
中国海洋大学投档线477分;
中南大学投档线477分;
中山大学投档线463分;
华南理工大学投档线483分;
四川大学投档线497分;
西安交通大学投档线460分;
西北农林科技大学投档线472分。
1.某些地区基础教育水平有限,高考分数线低
例如宁夏地区,其基础教育水平比较有限,再加上区内人口比较少,高考录取分数本身也是比较低的,2022年的理科一本线只有412分,二本线350分,文科一本线487分,二本线是425分。理科一本线只比同是全国乙卷的河南二本线高7分,比安徽与江西的二本线还要低几十分。
2.部分中高分段考生不敢报名校
几乎每年高考都会出现某些高校因为名气过大、实力过强,前几年录取分数高,而导致中高分段考生不敢填报的现象发生。以同济、上交大为例,2021年同济、上交大宁夏国家专项理工类投档线都在550分以上,至少超出当年理科一批线140分。
中高分段考生的放弃导致部分名校报考的人数不足或断档,录取分数线扑街。所谓“撑死胆大的”,一些大胆报考名校的低分考生此时便成功捡漏上岸!
3.高校专项等升学途径了解人数少,竞争压力相对小
全国大部分考生家长专注于高考统招批志愿,而对提前批及高校专项等升学路径了解甚少,错过宝贵的升学机会。部分省份这些升学路径的报考人数少,竞争压力小,从而出现低分“捡漏”现象。
在为低分进名校的考生感到幸运的同时,也有不少网友对他们的选择表示担心,提前批专业大多是相对冷门的专业,比如华中科技大学在内蒙古投放的两个提前批名额,是护理专业,虽然学校的学科实力不错,但是未来就业也会面临较多问题。
而且提前批专业在高校里不允许转专业,在网友看来,这可能是天上掉馅饼,也有可能成为“陷阱”,毕竟人生不止大学四年。
虽然专业可能没有优势,但是名校的优势非常明显,除了肉眼可见的学校平台更高,师资更优秀,各种交流学习的机会更多,深造率更高,就业前景更好等以外,还有很多方面是普通院校不能比拟的,比如人才选拔更注重综合能力的考察,换一句话说,也更注重综合能力的培养,特别是表达能力,综合实践能力,阅读理解能力,英语水平等。
其次是更注重对学生学科基础的培养,不少985高校都开始注重低年级时对学生进行通识教育,打好学科群基础,高年级在细化专业教育,为科研做准备。
第三是学生的选择更自由,个性可以得到充分发展。在不考虑提前批不能换专业的情况下,绝大部分985高校都有转专业政策,只是难度各不相同而已,即便不能转专业,部分高校也允许学生个性化选课,满足学生的个性化发展。
说了这么多,择校时的重点还是要结合具体情况,分析利弊。对于同层次或者层次相差不大的院校,毫不犹豫优先专业,比如清华北大和华东五校,宁愿选择华五高校的优势专业,尽量不去清北的冷门专业,虽然学校平台有差距,但是并非存在不可跨越的鸿沟。
如果是学校间层次相差较大,选择学校应该更合理一些。就比如提前批出现的爆冷捡漏情况,学校平台有了质的飞跃,专业的弱势能够得到很好的弥补,而且一般情况下,名校的深造率很高,特别是相对冷门的专业,绝大部分学生都会选择继续深造,保研或者考研的时候完全有机会更改专业方向,就业时也并非会完全按照专业来选择。
对于被录到冷门专业的学生来说,重要的还是调整心态,接受自己的选择,找到可以让自己发挥优势和特长的地方。比如此前公布的华为天才少年张霁,本科来自三本院校,但一路拼搏到了华中科技大学读博,最后又到了华为获得了201万的高额年薪。
那么到底什么是提前批?哪些人适合报提前批?提前批多少分可以录取?需要做哪些准备?下面小车就为大家详细解读。
高考志愿提前批是根据国家教育部规定,部分专业、性质和招生类别比较特别的院校在正常批次大规模招生前提前进行志愿填报和录取。
提前批院校主要包括国家教委批准的本科提前录取的普通高校、军校、公安司法院校及民航、空军院校,提前批专业主要有军事、公安、武警、艺术和体育这五大类。
早些年在提前批录取的学校专业主要是军校警校、小语种、政治外交安全国防等类的学校和专业。
近些年又增加了港校、中外合作办学校、地方优师范专项计划新设置的特色高校。

入学后,待遇及毕业证与一本学生没有任何区别。
①公费师范生、地方定向生(地方优师计划):一般是毕业后需回生源所在地工作;
②免费医学定向、其他定向生:此类学校毕业的学生毕业有定向单位接收;
③小语种:毕业证和其他待遇与一本学生相同,就要想在提前批选拔特别喜欢这类学科的人才;
④一些特殊类院校:有可能输送到国家、部队等院校,如外交学院、国际关系学院、北京电子科技学院,要注重学校当年的招生条件说明;
⑤香港院校;
⑥基地班和实验班。

军校绝大多数录取的是一本以上的学生,招生中有注明,一定要看好,毕业后确保分配到部队、上学期间还有助学金。

飞行技术需要在高考前参加了学校的提前单独考试,通过者才有机会报。

公安司法类:该类学校大多二本以上可以报考,但是毕业不包就业,能否到公安司法系统工作有变数,谨慎选择。

本硕连读、中外合作、少数民族计划,综合评价高校等等。
提醒:要提前了解,例如军校需要政审、军检和面试,如果错过了相关程序,就不具有报考资格了。
有些院校收费很高,例如港校,每年的学费、住宿费、生活费加在一起需要十几万到几十万,对经济条件一般的家庭压力还是很大的。
1.高考成绩在中高分段的考生适合填报
因为在提前批院校中有一部分的名牌大学和专业,大多考生将名校的注意力集中在一批或其他志愿上,使得提前批中的名校竞争“温柔”多了。尤其是对于那些高考成绩在一批竞争中不具优势的考生而言,将重点放在提前批说不定会有意想不到的“好消息”。
当然,也需要提醒考生的是,名校放在提前批录取的专业很少,过于注重专业的考生,还是小心填报,毕竟鱼与熊掌不能兼得还是有一定道理的。
2.对特殊行业情有独钟的考生
在提前批录取的院校和专业都具有一定的特殊性,而且大多是国家重点发展部门或行业的学校和专业。
军校、公安院校自不必说,外交学院、国际关系学院、大连海事大学、华侨大学、暨南大学、中国青年政治学院等院校也或多或少的笼罩着一种神秘的光环,而且其放在提前批录取的专业也让人充满了遐想。
例如:中国政法大学的侦查学、华东政法大学的边防管理、甘肃政治学院的禁毒学、西南政法大学的刑事科学技术等。这些院校和专业,都是专门为国家培养特殊人才的摇篮,其独树一帜的办学特色足以让其脱颖而出。
3.家庭经济困难的考生
前面也讲到,一般提前批院校多会给学生提供系列的福利待遇,对于家庭经济困难的考生而言,可是一个天大的喜讯。四年累积下来,说不定可以为家庭节约数万元,有的院校专业还会提供就业保障,跳过竞争激烈的就业市场,何乐不为呢?
不过需要注意的是,待遇与义务往往是相对的,军校生、公费师范生等在享受“免费大餐”的同时,需承担一定的义务,在填报相关院校前一定要搞明白。
提前批中军校和公安类需要提前政审,另外公安类需要体能测试,军校需要参加军检,其余大部分学校和专业对身体没有特殊要求。
不是一定要填,看是否有你喜欢的院校和专业。
对于想冲一冲的学生,如果对提前批次重点院校的专业比较满意,可以填报,毕竟提前批次未被录取不影响下一批次录取;如果被提前批录取,则后续批次志愿自动作废。
所以提醒大家,不喜欢的专业、院校,慎填!
提前批志愿填报及录取时间。提前批填报志愿的时间非常短,一定不要错过填报时间。
录取规则与录取限制要吃透。报考前,尤其需要了解具体院校(专业)的录取规则与录取限制,比如对成绩、素质、身体、年龄等的要求,这在各院校招生章程上均会有注明。
提前批院校很多都要体检的,还有体能测试、政审等,如果明确了要报提前批,一定要做好体检和体能测试的准备工作。
另外,一些特定的院校及专业只在提前批次录取,对相关院校和专业感兴趣的考生一定不能错过提前批次的填报。
注:具体以省教育考试院发布的招生计划为准。
1.提前批次中的专业调剂,是指在该院校在提前批次招生的专业中的调剂,不会调剂到计划册未注明的其他专业。
2.根据个人情况,如果考生并不是非去提前批院校不可,那么也可以只填报自己非常感兴趣的专业并不服从调剂,因为提前批即便未被录取,也不影响后续批次更大范围的选择。
另外小车想说,提前批次录取的院校和专业都比较特殊,考生如果明确了目标,就要抓紧时间,好好准备。
如果报考提前批次没被录取,也不要担心,后面的正常批次还是可以继续填报的,提前批蕴藏着各种机会,也隐藏着各种陷阱和风险。考生这段时间要好好留意各省招生考试院官网的招生计划,提前了解,决定要选的大学和专业,填报志愿时就不会迷茫焦虑了。
最后小车为大家整理了各省市2022年提前批的投档数据,赶紧收藏吧!
注:以下数据来源于各省市教育考试院,如有错漏,请以官方数据为准。

上下滑动,查看全文
军检院校、空军、海军招飞:
非军检:
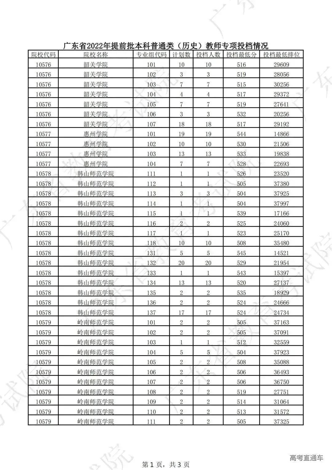
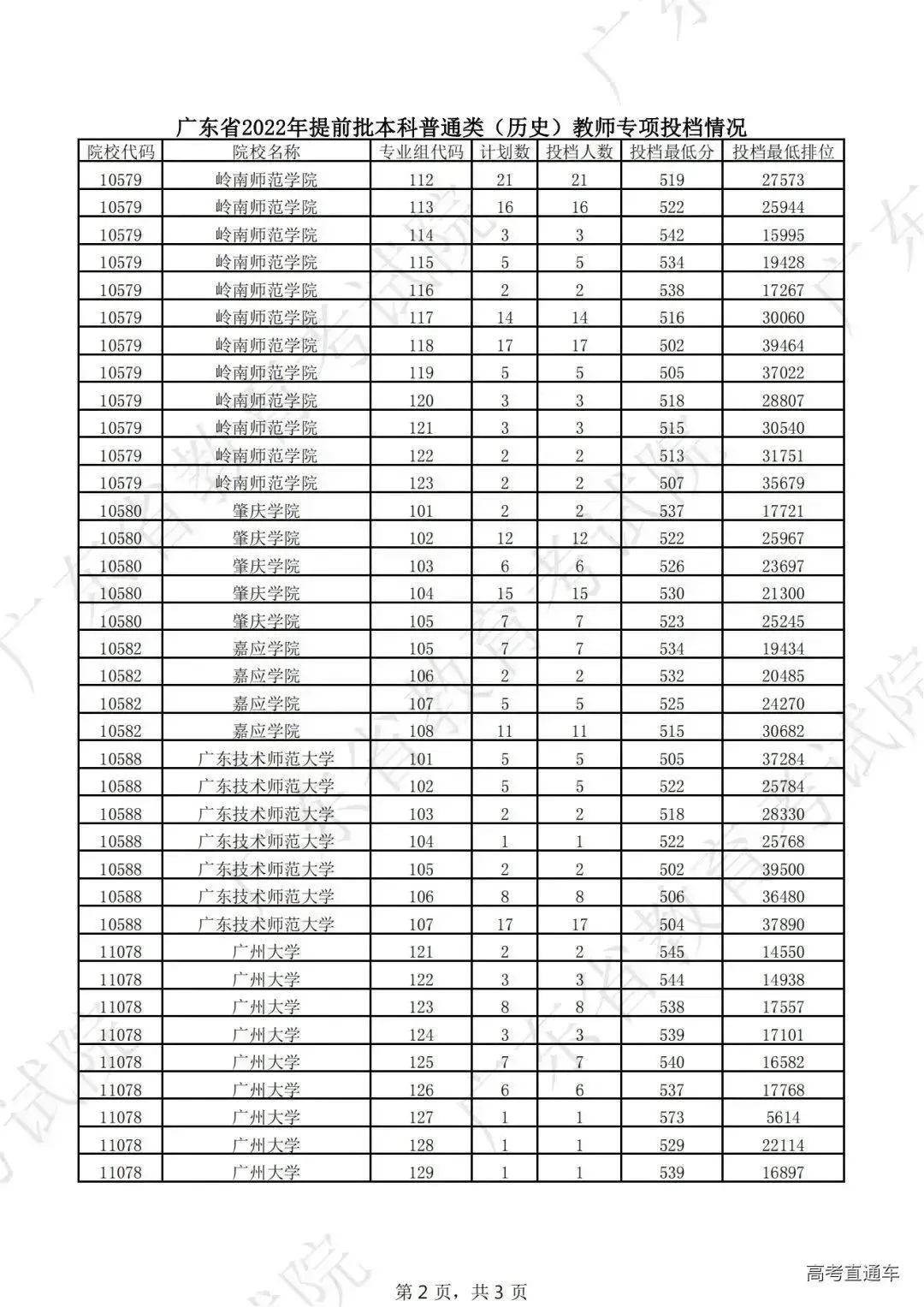
教师专项(历史类):
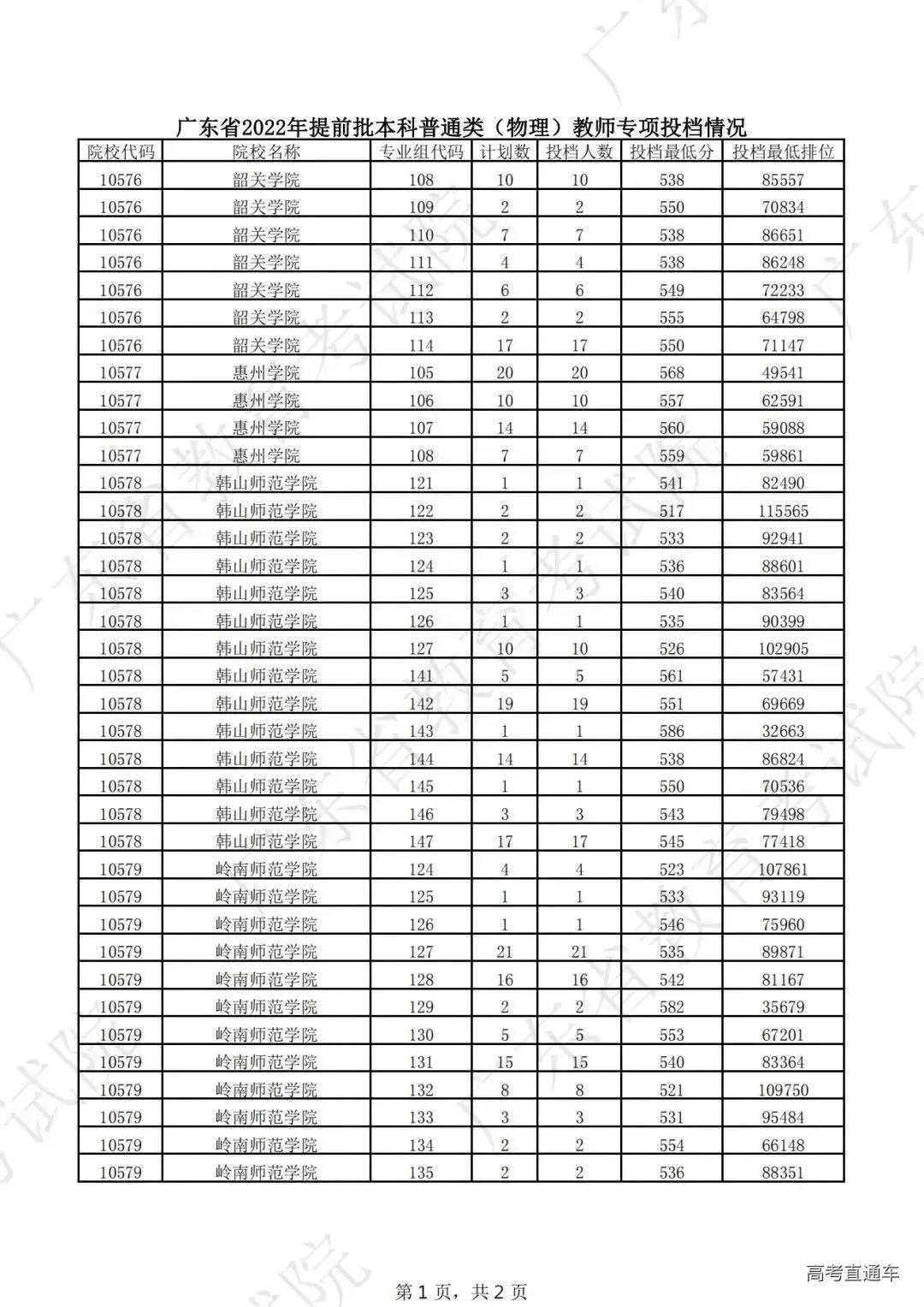
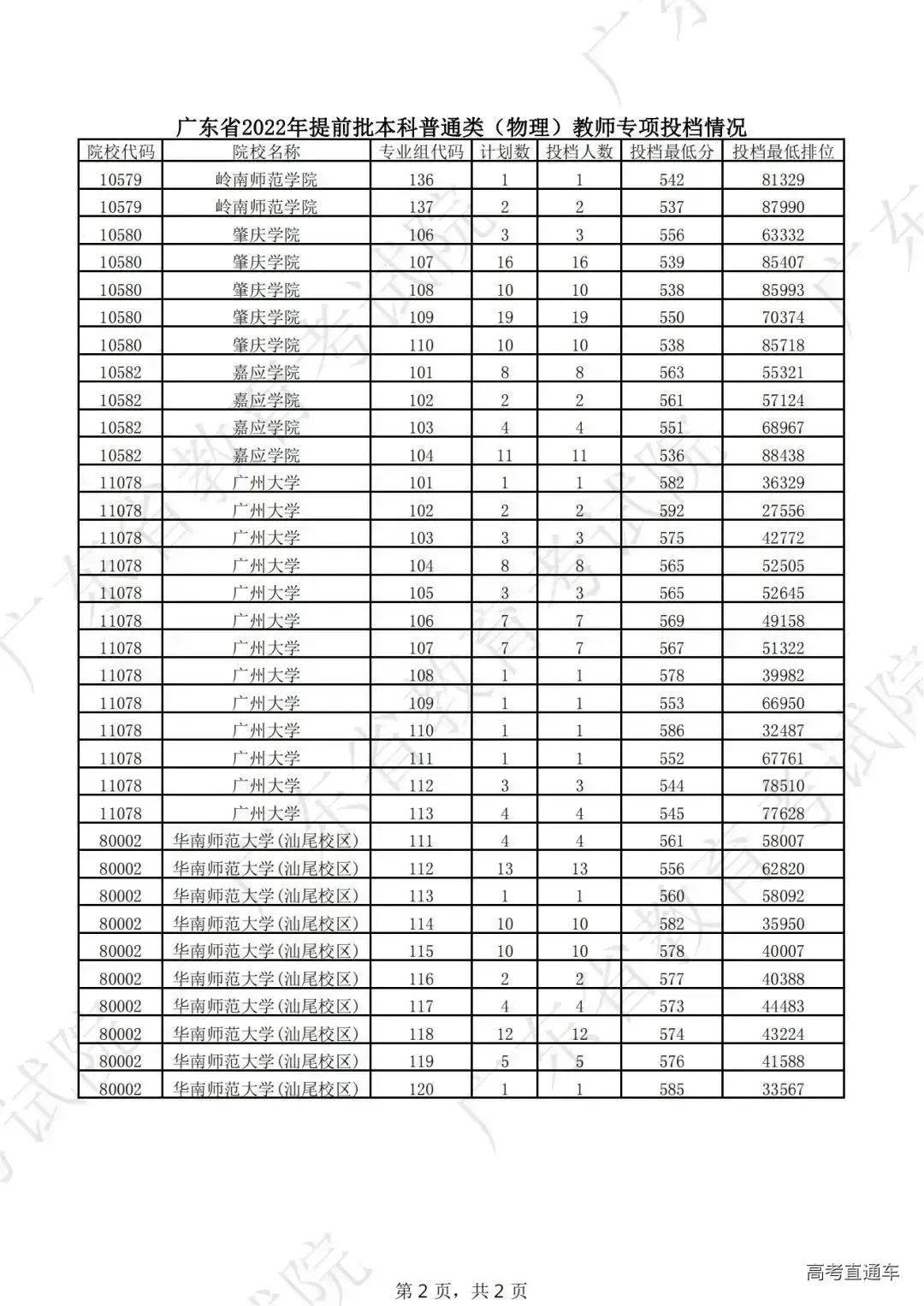
教师专项(物理类):
教师专项(美术类统考):
教师专项(音乐类统考):
教师专项(体育类):
卫生专项(历史类):
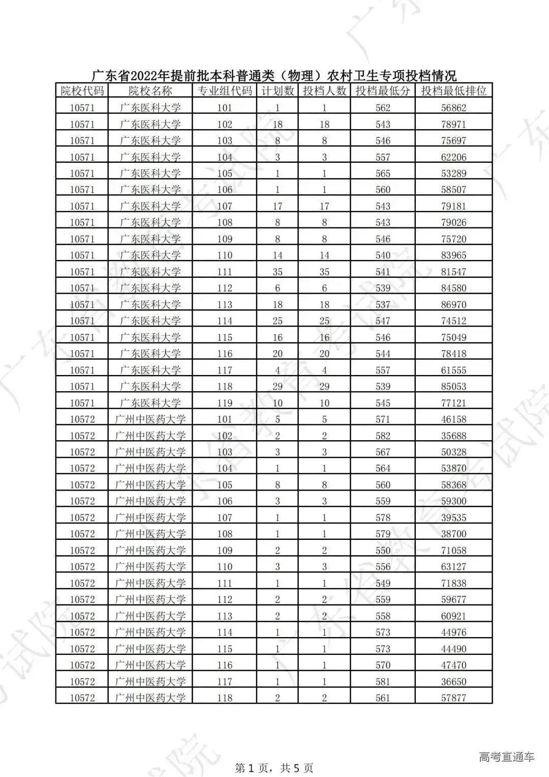
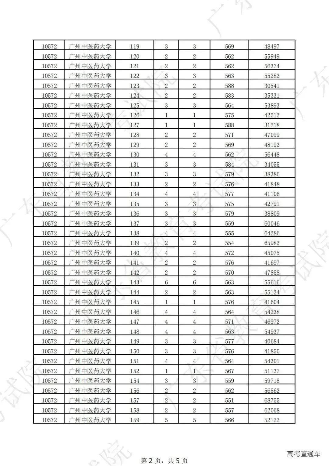
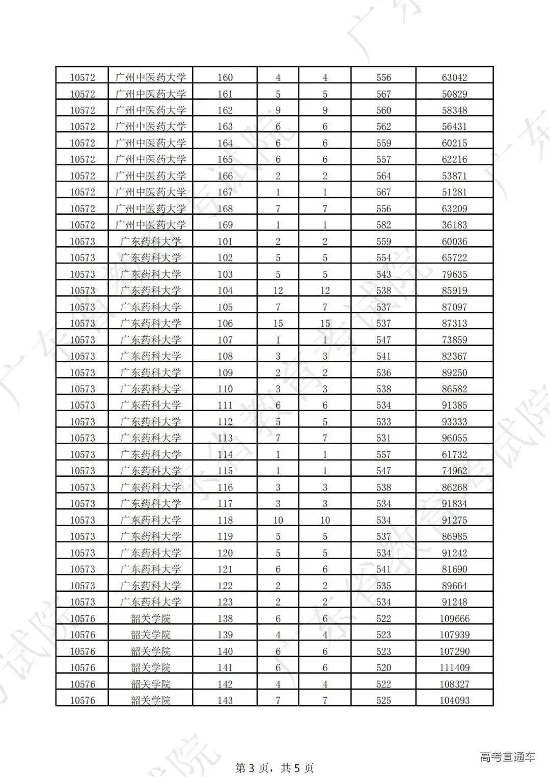
卫生专项(物理类):

上下滑动,查看全文
提前批物理类:
提前批历史类:
卫生专项(物理类):
卫生专项(历史类):

上下滑动,查看全文
理 科
文 科

上下滑动,查看全文
文 科
理 科

上下滑动,查看全文
本科普通类A段:
本科普通类B段

上下滑动,查看全文

上下滑动,查看全文

上下滑动,查看全文
7月10日投档情况:
7月11日投档情况:
7月13日投档情况:

上下滑动,查看全文
8月7日投档情况:

上下滑动,查看全文
提前批空军招飞批、艺本一批、 体育类:
其他类:

上下滑动,查看全文
定向类:
体育类:
艺术类:
其他类:

上下滑动,查看全文
单设志愿院校:
物理类:
历史类:
本科提前批、艺术本科A、体育本科批:

上下滑动,查看全文

上下滑动,查看全文
军事院校:
普通类马克思主义理论专业及公费师范生:
体育类马克思主义理论专业及公费师范生:
艺术类:

上下滑动,查看全文
普通类定向培养军士:
体育类定向培养军士:

上下滑动,查看全文
普通类A段:
普通类B段:
艺术类B段(美术类):

上下滑动,查看全文
公费师范生、优师专项计划、农村订单定向医学生免费培养计划、军事院校:
公安司法和应急消防、其他类:

上下滑动,查看全文
定向培养军士、农村订单定向医学生免费培养计划:
公安司法及其他提前批院校:

上下滑动,查看全文
1.2022年普通类提前本科批次A阶段院校录取最低分
2.2022年普通类提前本科批次B阶段院校录取最低分
3.2022年艺术类本科批次校考阶段自划线院校录取最低分
4.2022年艺术类本科批次校考阶段非自划线院校录取最低分
5.2022年艺术类本科批次统考阶段A(美术与设计学)类院校录取最低分
6.2022年艺术类本科批次统考阶段B(戏剧与影视学)类院校录取最低分
7.2022年艺术类本科批次统考阶段C(非体育舞蹈)类院校录取最低分
8.2022年艺术类本科批次统考阶段D(体育舞蹈)类院校录取最低分
9.2022年艺术类本科批次统考阶段E(播音与主持艺术专业)类院校录取最低分
10.2022年艺术类本科批次统考阶段F(音乐声乐)类院校录取最低分
11.2022年艺术类本科批次统考阶段G(音乐器乐)类院校录取最低分
12.2022年体育类本科批次院校录取最低分

上下滑动,查看全文
1.2022年普通高校在津招生最低分统计(普通类提前高职高专批)
2.2022年艺术类高职批校考阶段院校录取最低分
3.2022年艺术类高职批统考阶段A(美术与设计学)类院校录取最低分
4.2022年艺术类高职批统考阶段B(戏剧与影视学)类院校录取最低分
5.2022年艺术类高职批统考阶段C[舞蹈学类(不含体育舞蹈)]类院校录取最低分
6.2022年艺术类高职批统考阶段E(播音与主持)类院校录取最低分
7.2022年艺术类高职批统考阶段F(音乐声乐)类院校录取最低分
8.2022年艺术类高职批统考阶段G(音乐器乐)类院校录取最低分
9.2022年体育类高职批院校录取最低分

上下滑动,查看全文
本科提前批B段、对口本科批:

上下滑动,查看全文
专科提前批、对口专科批:

上下滑动,查看全文
公安司法等本专科提前批院校:

上下滑动,查看全文
普通类(第一志愿):
普通类(须面试第一志愿):
艺术类:
体育类(含预科):

上下滑动,查看全文

上下滑动,查看全文
物理类:
历史类:

上下滑动,查看全文
历史类:
物理类:

上下滑动,查看全文

上下滑动,查看全文

上下滑动,查看全文
普通类B段:
理工类
文史类

上下滑动,查看全文















































