
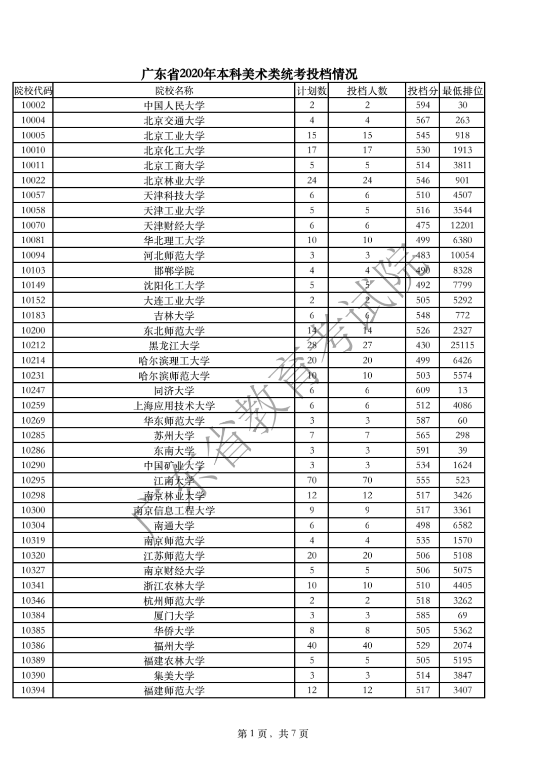
广东省2020年本科美术类统考投档情况

广东省2020年本科音乐类统考投档情况
广东省2020年本科体育类投档情况
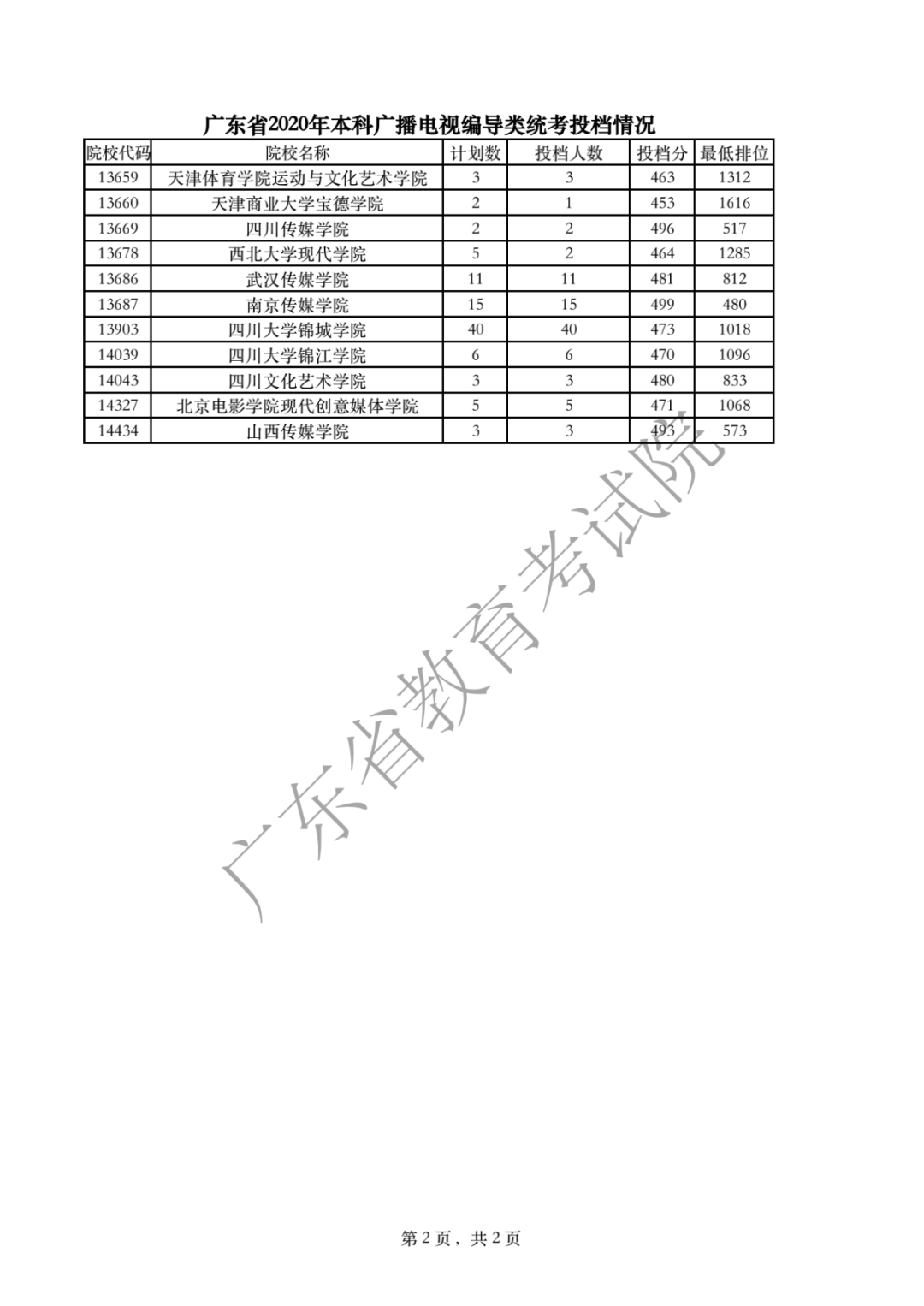
广东省2020年本科广播电视编导类统考投档情况

广东省2020年本科舞蹈类统考投档情况
相关链接:
广东省2020年体育类、艺术类(音乐/舞蹈/美术/广播电视编导)本科统考投档缺额情况统计
广东省2020年体育类、艺术类(音乐/舞蹈/美术/广播电视编导)本科统考投档最低分排位
广东省2020年本科美术类统考投档情况
广东省2020年本科音乐类统考投档情况
广东省2020年本科体育类投档情况
广东省2020年本科广播电视编导类统考投档情况
广东省2020年本科舞蹈类统考投档情况
相关链接:
广东省2020年体育类、艺术类(音乐/舞蹈/美术/广播电视编导)本科统考投档缺额情况统计
广东省2020年体育类、艺术类(音乐/舞蹈/美术/广播电视编导)本科统考投档最低分排位
哇哦!快加入高考直通车APP,发现更多精彩内容,与学霸一起交流学习吧!