2019年上海市普通高校招生本科普通批次录取工作已顺利结束。考生可登录市教育考试院“上海招考热线”网站(www.shmeea.edu.cn),查询本科普通批次(含特殊类型招生、两次征求志愿)录取结果。
本科录取通知书由各招生院校陆续发出,由于路程远近不同和各地录取时间不同,被外省市院校录取考生的通知书可能要晚些时候才能收到,具体可咨询各院校招办。
而随着本科录取结束,2019年上海市普通高校招生高职(专科)志愿填报将于8月1日上午10:00至3日上午10:00进行,本市应届高中毕业生由学籍所在中学统一安排;非本市应届高中毕业生由报名所在区招办统一安排。
请相关考生仔细研读《2019年上海市普通高等学校招生专业目录》一书和各校《招生章程》,根据本人实际情况在高职(专科)提前批次、艺术类批次和普通批次中充分酝酿,合理选择心仪志愿。
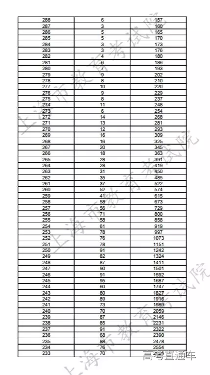
可参加高职(专科)志愿填报考生“语、数、外”三门成绩分布表
2019年艺术类考生成绩分布情况
http://www.shmeea.edu.cn/page/08000/20190729/13213.html
2019年上海市普通高校招生高职(专科)阶段 志愿填报及录取问答
1.2019年上海市普通高校招生录取工作进展情况如何?
2019年本市高招录取工作自6月24日开始,至7月29日已顺利完成综合评价批次、零志愿批次、本科提前批次、本科艺体类批次、地方农村专项计划批次、本科普通批次(含两次征求志愿)的录取,将启动高职(专科)阶段的招生录取工作。
2.2019年高职(专科)阶段志愿填报与投档录取办法与往年相比有没有变化?与本科有何不同?
没有变化。高职(专科)阶段设置高职(专科)提前批次、高职(专科)艺术类批次和高职(专科)普通批次。
与本科阶段不同,高职(专科)阶段以院校为志愿填报和投档录取的基本单位,录取时以考生统一高考的语文、数学、外语三门科目成绩总和为依据,不再看考生的“+3”科目成绩。
3.哪些考生可以填报高职(专科)志愿?如何填报?
参加2019年本市普通高校招生统一文化考试且在本科普通批次录取结束后仍未被录取的考生均可填报高职(专科)志愿。截至目前,有5415名考生可以填报高职(专科)志愿,其中包含了部分前期满足本科志愿填报条件但未填报本科志愿的考生。
8月1日上午10:00至8月3日上午10:00,本市应届高中毕业生由学籍所在中学统一安排填报;非本市应届高中毕业生由报名所在区招办统一安排填报。
4.今年高职(专科)阶段的招生计划情况如何?
高职(专科)提前批次有7所院校参与招生,招生计划为217个,其中本市院校5所,招生计划为185个;外省市院校2所,招生计划为32个。
高职(专科)艺术类批次有24所院校参与招生,招生计划为660个,其中本市院校17所,招生计划为622个;外省市院校7所,招生计划为38个。
高职(专科)普通批次共有85所院校参与招生,招生计划为4407个,其中本市院校32所,招生计划为3880个;外省市院校53所,招生计划为527个。
从招生计划数以及可填报考生人数来看,今年高职(专科)的招生计划较充裕,考生应根据自身实际,把握志愿填报机会,充分填报志愿,实现升学目标。
5.高职(专科)各批次分别可以填报几个院校志愿和专业志愿?
高职(专科)提前批次设置2个顺序志愿,高职(专科)艺术类批次设置4个顺序志愿,高职(专科)普通批次设置8个平行志愿。其中高职(专科)提前批次和艺术类批次志愿不得兼报,填报高职(专科)艺术类批次志愿的考生须具有专业统考合格成绩。
考生在一个院校志愿内最多可选择填报6个专业志愿。若该院校下设的专业数不足6个,考生可按实选择,填完即止。如果考生在某个院校志愿中喜欢的专业数超过6个,不能直接反映在志愿表中,只能填报依自己喜欢程度排序前6位的专业,其他专业的选择意愿可以通过“愿否专业调剂”选项表达。
6.什么是“愿否专业调剂”选项?
“愿否专业调剂”选项是指考生愿否接受该院校内其他未填报专业的调剂录取,该项可选代码有“1、2、3、4”四个数字。其中,“1”表示全愿意调剂;“2”表示全不愿意调剂;“3”表示除高收费专业外愿意调剂;“4”表示除医科专业外愿意调剂。考生在填报时必须选择至少一个选项,否则系统不接受该志愿的提交。
需要提醒考生的是,在高职(专科)普通批次志愿填报时,鉴于平行志愿的录取规则,为降低退档风险,建议考生选择“1”,因为考生一旦被退档,将只能参加该批次征求志愿。
7.考生在填报高职(专科)志愿时,需注意些什么?
考生在填报志愿时,须注意以下问题:
(1)高职(专科)提前批次与高职(专科)艺术类批次按顺序志愿方式投档,考生在填报时要特别重视按本人实际情况选择第一志愿;高职(专科)普通批次按平行志愿方式投档,考生在填报时应遵循“冲一冲,稳一稳,保一保”的原则,在符合本人兴趣的前提下,适度拉开分差填报院校志愿,并尽可能选择“服从专业调剂”。
(2)高职(专科)提前批次各校均设面试或体检环节,达到相关要求的合格考生方具填报其志愿的资格。请未通过面试或体检的考生不要填报相关志愿。
(3)报考高职(专科)艺术类批次志愿的考生须专业统考合格(个别院校须校考合格,请考生参阅其招生章程的规定)。考生填报艺术类批次志愿,需对照本人的专业考试科目,防止误报(即美术统考合格须对应填报美术类专业,校考合格须对应填报相应院校及专业,以此类推)。
(4)要看清院校招生专业要求,有部分院校不招收色盲、色弱考生,少数院校有单科成绩要求或户籍、性别、身高、视力、听力等限制要求,考生要认真比对自身情况,不要填报不符合专业要求的志愿。
(5)比较有把握在高职(专科)提前批次或高职(专科)艺术类批次实现录取的考生也不要放弃填报高职(专科)普通批次志愿。考生填报高职(专科)普通批次志愿时,建议事先拟好草表,尽可能根据本人兴趣,依序多填志愿、填满志愿(包括院校志愿和专业志愿),并选择“服从专业调剂”。
(6)考生在填报志愿前务必参考《2019年上海市普通高等学校招生专业目录》、《2017-2018年上海市普通高等学校招生各专业录取人数及考分》、“2019年上海市普通高校招生可参加高职(专科)志愿填报考生‘语、数、外’三门成绩分布表”等信息,还可通过院校招生网站查询院校招生章程,或通过市教育考试院或招生院校电话,以及市教育考试院组织的网上咨询,了解具体要求,填报适合自己的院校和专业。
8.艺术类专业考试达到专业合格线,就一定要填报艺术类专业志愿吗?
不一定。艺术类专业考试达到专业合格线,可以选择不填报高职(专科)艺术类志愿而填报高职(专科)提前批次或普通批次专业志愿,也可以选择同时填报高职(专科)艺术类批次和普通批次志愿。
9.高职(专科)阶段录取进程如何安排?
10.高职(专科)阶段的控制线是如何划定的?
高职(专科)阶段设两条控制线。
根据高职(专科)招生计划数、报考人数和考生成绩,确定本年度高职(专科)批次录取控制分数线。
高职(专科)艺术类专业文化录取控制分数线则根据高职(专科)批次录取控制分数线的70%折算而成。
11.高职(专科)阶段的投档线指的是什么?
高职(专科)阶段投档线以高校投档线方式呈现,对控制线上的考生按高考成绩(语文、数学、外语三门科目总分)进行排序,按高校招生计划数和确定的投档比例,计算出投档数(四舍五入到个位数)进行检索投档,排在最后一名的考生成绩即为该高校投档线。投档线不是事先确定的,而是在向高校投档完成后自然形成的。
12.被高职(专科)提前批次或艺术类批次招生高校(专业)录取了,能否放弃而参与后面批次志愿的录取?
不可以。被高职(专科)提前批次或艺术类批次招生高校(专业)录取后,后面的其他批次志愿就自然失效,不能再参与后面院校志愿的投档录取。
13. 未被高职(专科)提前批次或艺术类批次录取,是否影响其后普通批次的投档录取?
不影响。
14.高职(专科)各批次的投档比例是多少?
当考生的高考总分达到某批次录取控制分数线以后,考虑到高校对招收考生的录取专业匹配问题,允许高校调阅超过计划数一定数量的考生档案,调阅数与计划数之比就是投档比例。
高职(专科)提前批次原则上按1:1.2比例投档,已有专门规定的按规定比例投档。
高职(专科)艺术类批次中,专业统考成绩合格且统一高考成绩达到高职(专科)控制线70%的考生,按其志愿全部投档至院校。
高职(专科)普通批次先进行模拟投档,再根据各院校实到计划按1:1比例正式投档。
15.高职(专科)阶段投档时,考生的先后位序如何确定?
高职(专科)阶段,根据考生的语文、数学、外语三门科目成绩总分(含公示加分)从高到低确定投档位序。
16.高职(专科)阶段投档时,高考总分相同的考生该如何排序?
高职(专科)阶段投档时,对同分考生按以下位序排序:
第1位序:比较考生的语文加数学两门合计成绩高低,高者优先;
第2位序:第1位序同分者中,比较考生的语文或数学中单科成绩高低,高者优先;
第3位序: 第2位序同分者中,比较考生志愿顺序,按各自顺序分别投档。志愿顺序相同的同分同位考生同时投档。
17.高职(专科)普通批次平行志愿投档录取过程是怎样的?
高职(专科)普通批次平行志愿实行一轮投档,投档录取过程为:排序→检索(分档)→投档→录取→审核
第一步排序:将所有满足该批次分数线的考生(不包含前面批次已被录取的考生),从高分到低分排序(同分考生按同分排序原则排列),使每个考生都确定自己所处的位置。
第二步检索(分档):将考生档案分到各院校的数据库档案中。由计算机将排好序的考生从高分到低分逐个进行检索,检索到的考生,对其所填的各院校志愿依次进行检索判断。当某一高校已分得的档案数小于投档数时,则将档案分到该校档案数据库,否则就对考生下一志愿高校进行检索判断。一旦检索到投档数未满的高校而被分档后,则不再对其后志愿检索。
第三步投档:当所有满足条件的考生档案检索完毕后,对分好的本批次档案定向投往高校。这个过程是一次性同时完成的。
第四步录取:高校根据招生章程录取考生。
第五步审核:上海市教育考试院审核院校的录取结果。
18.高职(专科)录取环节中什么时候进行报考外省市高校加20分投档?
外省市高校在高职(专科)普通批次录取控制分数线上平行志愿投档后仍有缺额计划,且该校认可加分投档政策,可在征求志愿前,对高职(专科)控制线下20分之内、填报过该校志愿的考生,实行加20分平行志愿投档办法,录取与否由高校决定。
19.填报外省市高校的考生是否都会被加分投档?
不是所有填报外省市高校的考生都会被加分投档。
当考生填报的外省市高校按志愿对控制线上生源投档后尚有余额,且该高校认可本市的加分投档政策,那么加分投档才会起作用。投档时,只有考生的高考总分加了20分以后达到或超过高职(专科)控制线,且排位在外省市院校剩余计划数之内,这时考生的档案才能被投到该招生高校,对考生的加分投档才有实际意义。
20.高职(专科)阶段设几次征求志愿?填报资格如何设定?
高职(专科)提前批次、艺术类批次、普通批次均设置1次征求志愿,安排在高职(专科)普通批次录取完成之后,同时进行。所有高考总分达到高职(专科)征求志愿填报控制分数线的未录取考生均有填报资格,但填报高职(专科)艺术类批次征求志愿的考生须具有专业统考合格成绩。高职(专科)提前批次和高职(专科)普通批次征求志愿实行降分录取政策,是否同意降分由院校自主决定。高职(专科)艺术类批次征求志愿不实行降分录取政策。
待高职(专科)普通批次平行志愿录取结束后,考生可从“上海招考热线”网站(www.shmeea.edu.cn)上查阅“征求志愿专业计划缺额表”,8月10日上午10:00至8月11日上午10:00,登录“上海招考热线”网站(www.shmeea.edu.cn)填报自己愿意去的院校与专业。高职(专科)普通批次征求志愿可填报的院校志愿数量不限,每所院校志愿最多可以填报6个专业志愿,也实行平行志愿投档模式。
21.录取后,如何办理档案转递手续?
2019年录取考生办理纸质档案转递至录取高校的时间安排在8月27日之前,具体办理时间以各区公布时间为准。考生凭高校录取通知书、本人身份证和准考证到毕业学校或报名所在区招考机构办理纸质档案的提取或转递手续(本市应届毕业生到毕业学校,其他考生到区招考机构)。区招考机构或毕业学校经核对无误,并经考生本人签字确认后,将密封好的纸质档案交与考生(仅限应届毕业生),由考生本人将纸质档案在规定时间交至录取高校;其他考生凭区招考机构开具的调档证明至各区公共就业服务机构办理纸质档案的转递手续。纸质档案属个人重要资料,不得擅自启封、拆阅。
22.考生收到录取通知书时有疑问怎么办?
考生收到录取通知书以后,如果发现与本人考分、志愿不相符等问题时,首先要冷静查找自身的原因,仔细对照一下已公布的有关招生政策、招生信息、本人留底的高考志愿表,衡量一下自己的高考成绩以及自己在体格检查、思想政治品德等方面的情况,也许能找出原因;如果还有疑问,可以到自己高考报名的区招考机构去询问;如果仍然没能解决问题,可以到市教育考试院咨询接待处(杨浦区民星路465号)咨询。咨询接待处的同志会帮助考生了解情况、分析原因。
在录取期间,考生在未收到录取通知书以前最好不要外出,以便各区招考机构、高校及时联系有关体格复查、学校面试、征求志愿等方面的事项。
23. 未被高职(专科)批次招生院校录取,能否参加今年高职扩招专项考试招生?
根据政策规定,今年本市将进行两次高职扩招专项考试招生(以下简称“高职扩招”),其中第一次为6月报名8月考试,第二次为9月报名10月考试。若在高职(专科)阶段仍未被录取的考生,可以选择在9月报考第二次高职扩招,具体时间安排可关注市教育考试院官网“上海招考热线”(www.shmeea.edu.cn)发布的相关信息。
预计第二次高职扩招会有上海电机学院、上海城建职业学院、上海工艺美术职业学院、上海电子信息职业技术学院、上海出版印刷高等专科学校、上海旅游高等专科学校、上海交通职业技术学院、上海农林职业技术学院、上海济光职业技术学院、上海东海职业技术学院、上海震旦职业学院、上海工商外国语职业学院、上海工商职业技术学院、上海中侨职业技术学院等院校参与招生,且招生计划充裕。高职(专科)阶段未被录取考生应给予重视,于9月中旬积极关注市教育考试院官网“上海招考热线”,好好把握报考机会。





