2025年上海市普通高校招生体育类专业统一考试成绩及合格线于4月8日公布。具体安排如下:
一 体育类专业统考合格线 根据上海市教育考试院《关于印发<2025年上海市普通高校体育类专业考试招生实施办法>的通知》(沪教考院高招〔2025〕1号)的有关规定,经审定,2025年上海市普通高校招生体育类专业统一考试可填报统考院校体育类专业(含认可本市统考成绩的外省市院校)志愿的合格线为:身体素质和专项技术合计总分不低于60分(总分满分为100分)。 4月8日(星期四)10:00起,考生可登录上海市教育考试院“上海招考热线”网站(www.shmeea.edu.cn),点击进入首页“成绩查询”,进行体育类专业统考成绩查询。 二 成绩复核 考生网上查询到成绩后,若对本人的成绩有疑问,可于4月9日(星期三)9:00—20:00凭14位高考报名号(或体育类专业统一考试准考证号)和身份证号码后六位数字(不含英文字母)登录上海市教育考试院“上海招考热线”网站(www.shmeea.edu.cn),点击进入首页“成绩查询”,提交成绩复核申请。成绩复核仅限复核是否存在加分错、登分错情况,不重新评分。4月11日(星期五)10:00起,考生可登录“上海招考热线”网站,点击进入首页“成绩查询”,查看成绩复核结果。
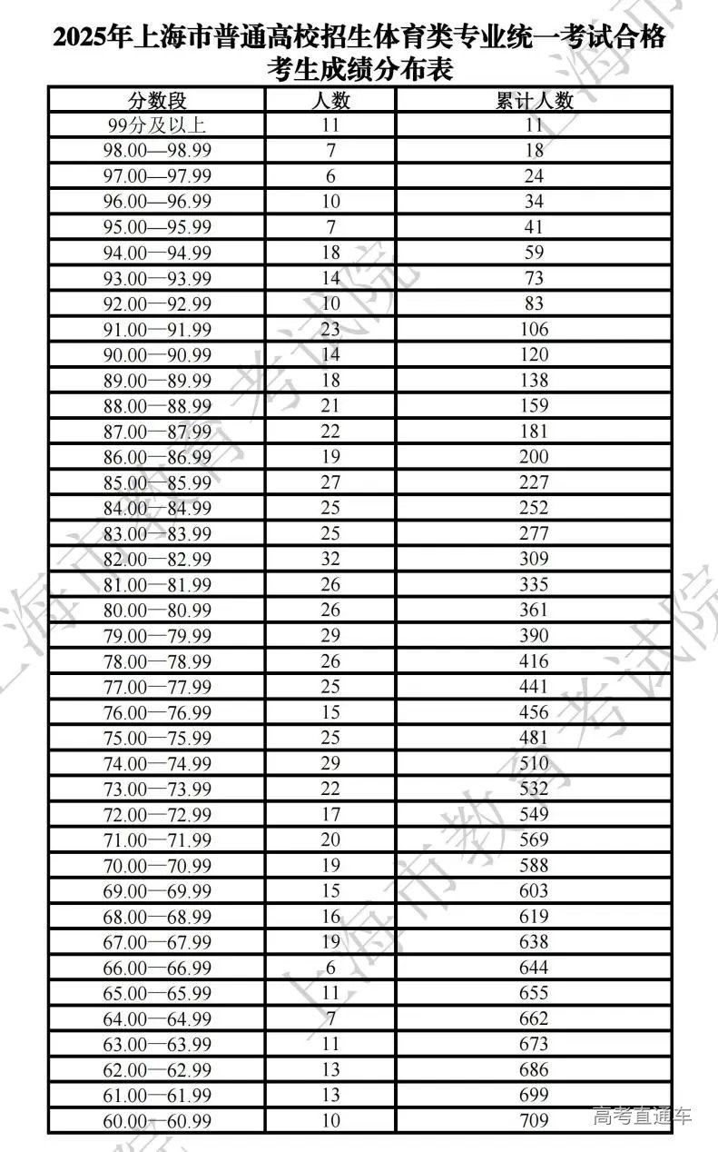
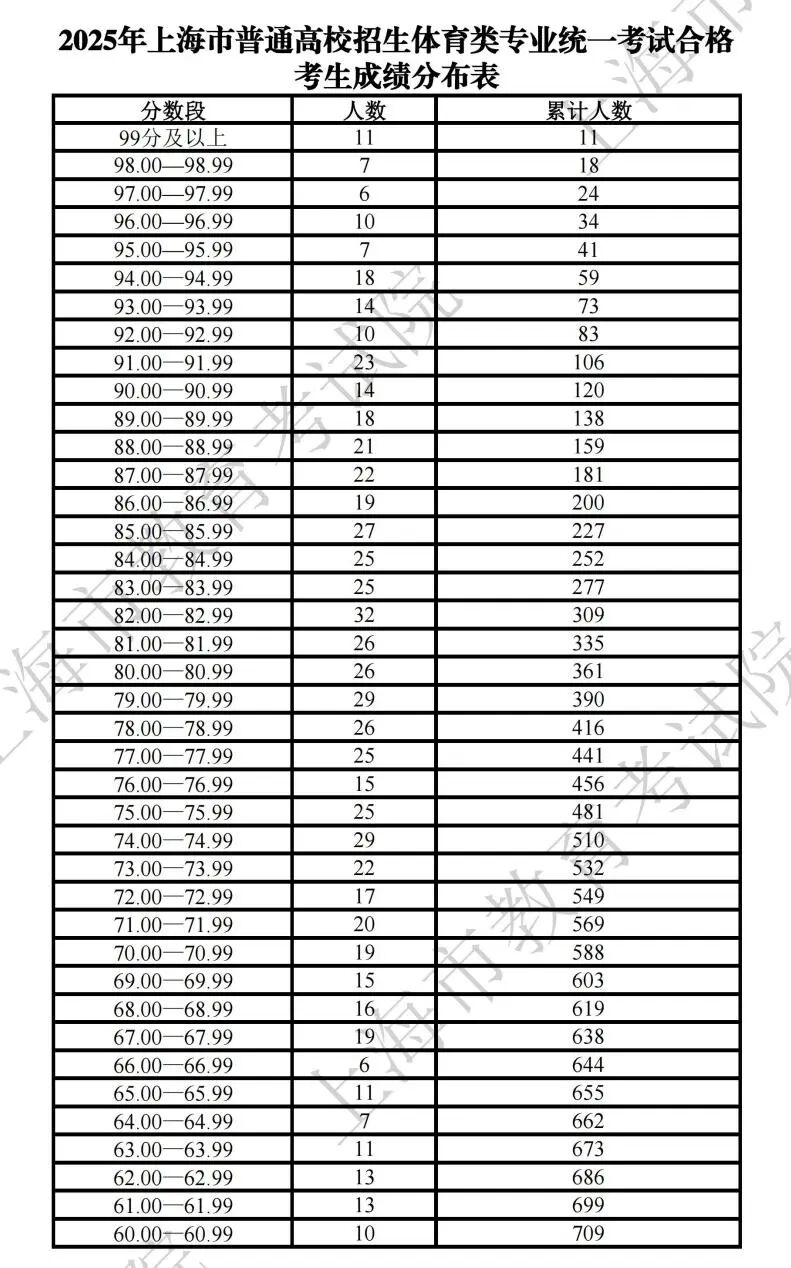
2025年高招体育类专业统考合格考生成绩分布表详见↓
























