在中国人民解放军新闻传播中心官微“中国军号”5月24日发布的消息中透露,今年共有48所地方高校面向全国31个省(自治区、直辖市)为解放军和武警部队招收定向培养军士,共23600人(含女军士217人),与2023年相比,招生范围从17个省扩大至31个,招生人数从23225人扩招至23600人,增加了375人。
也就是说,今年广东专科提前批还将新增定向培养军士,这也意味着专科考生也有机会被军校专业录取,这无疑为考生多提供了一个不错的选择。
目前,已有高校确定2024年在广东招定向培养军士,兵种为海军、空军、武警部队:
据成都航空职业技术学院官微5月20日消息,2024年在广东物理类招定向培养军士20人,兵种为海军(飞机电子设备维修专业5人)、空军(无人机应用技术专业10人)、武警部队(通用航空器维修5人),滑动浏览图片👇

◆定义:定向培养军士 (即定向士官),是指依托普通高等学校招录高级中等教育学校毕业生,为军队培养储备军士,学制为3年,毕业后取得大专学历。
定向指军队和地方院校联合培养,毕业后直接补充到部队相应专业技术军士岗位服役,军士指入伍实习期结束后,授予军士军衔。
◆培养方式:定向培养军士学制3年,毕业后取得大专学历。
前2.5学年的培养由定向培养高校负责,招收部队应当协助做好专业课教学工作;后0.5学年组织入伍实习,包括入伍训练和岗前培训,由招收部队负责。
◆报考批次:提前批专科。
◆报考流程:政审(提交政审表)→高考后填志愿→体检→等待录取。
注:广东2024年定向士官具体招生流程、时间安排有待正式通知。高考直通车将在确定后第一时间向大家介绍。
◆ 报考条件:
①报考考生须参加今年高考,年龄不超过20周岁 (2004年8月31日以后出生), 志愿至少服现役满5年,未婚。
政治和身体条件按照征集义务兵的规定执行。
②身高:男性身高在160cm以上,女性身高在158cm以上。
体重: 符合下列条件且空腹血糖<7.0mmol/L的,合格。
男性: 17.5≤BMI<30,其中:17.5≤男性身体条件兵BMI<27;
女性: 17≤BMI<24。
BMI≥28须加查血液糖化血红蛋白检查项目,糖化血红蛋白百分比<6.5%,合格。
③视力:任何一眼裸眼视力低于4.5,不合格。任何一眼裸眼视力低于4.8,需进行矫正视力检查,任何一眼矫正视力低于4.8或矫正度数超过600度,不合格。屈光不正经准分子激光手术 (不含有晶体眼人工晶体植入术等其他术式) 后半年以上,无并发症,任何一眼裸眼视力达到4.8 ,眼底检查正常,除条件兵外合格。条件兵视力合格条件按有关标准执行。
附:《应征公民体格检查标准》(2021年新修订版)(滑动浏览)👇
第一章 外科 第一条 男性身高160cm以上,女性身高158cm以上,合格。 条件兵身高条件按有关标准执行。 第二条 体重符合下列条件且空腹血糖<7.0mmol/L的,合格。 (一)男性:17.5≤BMI<30,其中:17.5≤男性身体条件兵BMI<27; (二)女性:17≤BMI<24。 BMI≥28须加查血液化血红蛋白检查项目,糖化血红蛋白百分比<6.5%,合格。 (BMI=体重(千克)除以身高(米)的平方) 第三条 颅脑外伤,颅脑畸形,颅脑手术史,脑外伤后综合症,不合格。 第四条 颈部运动功能受限,斜颈,Ⅲ度以上单纯性甲状腺肿,乳腺肿瘤,不合格。单纯性甲状腺肿,条件兵不合格。 第五条 骨、关节、滑囊疾病或损伤及其后遗症,骨、关节畸形,胸廓畸形,习惯性脱臼,颈、胸、腰椎骨折史,腰椎间盘突出,强直性脊柱炎,影响肢体功能的腱鞘疾病,不合格。 下列情况合格: (一)可自行矫正的脊柱侧弯; (二)四肢单纯性骨折,治愈1年后,X线片显示骨折线消失,复位良好,无功能障碍及后遗症(条件兵除外); (三)关节弹响排除骨关节疾病或损伤,不影响正常功能的; (四)大骨节病仅指、趾关节稍粗大,无自觉症状,无功能障碍(仅陆勤人员); (五)轻度胸廓畸形(条件兵除外)。 第六条 肘关节过伸超过15度,肘关节外翻超过20度,或虽未超过前述规定但存在功能障碍,不合格。 第七条 下蹲不全,两下肢不等长超过2cm,膝内翻股骨内髁间距离和膝外翻胫骨内踝间距离超过7cm(条件兵超过4cm),或虽未超过前述规定但步态异常,不合格。 轻度下蹲不全(膝后夹角≤45度),除条件兵外合格。 双足并拢不能完全下蹲,或勉强下蹲不稳者,可调整下蹲姿势(双足分开不超过肩宽),调整姿势后能完全下蹲或轻度下蹲不全者,陆勤人员合格(臀肌挛缩综合征、跟腱短、下肢关节病变等病理性原因除外)。 第八条 手指、足趾残缺或畸形,足底弓完全消失的扁平足,重度皲裂症,不合格。 第九条 恶性肿瘤,面颈部长径超过1cm的良性肿瘤、囊肿,其他部位长径超过3cm的良性肿瘤、囊肿,或虽未超出前述规定但影响功能和训练的,不合格。 第十条 瘢痕体质,面颈部长径超过3cm或影响功能的瘢痕,其他部位影响功能的瘢痕,不合格。 第十一条 面颈部文身,着军队制式体能训练服其他裸露部位长径超过3cm的文身,其他部位长径超过10cm的文身,男性文眉、文眼线、文唇,女性文唇,不合格。 第十二条 脉管炎,动脉瘤,中、重度下肢静脉曲张和精索静脉曲张,不合格。下肢静脉曲张,精索静脉曲张,条件兵不合格。 第十三条 胸、腹腔手术史,疝,脱肛,肛瘘,肛旁脓肿,重度陈旧性肛裂,环状痔,混合痔,不合格。 下列情况合格: (一)阑尾炎手术后半年以上,无后遗症; (二)腹股沟疝、股疝手术后1年以上,无后遗症; (三)2个以下且长径均在0.8cm以下的混合痔。 第十四条 泌尿生殖系统疾病或损伤及其后遗症,生殖器官畸形或发育不全,单睾,隐睾及其术后,不合格。 下列情况合格: (一)无自觉症状的轻度非交通性精索鞘膜积液,不大于健侧睾丸(条件兵除外); (二)无自觉症状的睾丸鞘膜积液,包括睾丸在内不大于健侧睾丸1倍(条件兵除外); (三)交通性鞘膜积液,手术后1年以上无复发,无后遗症; (四)无压痛、无自觉症状的精索、副睾小结节,数量在2个以下且长径均在0.5cm以下; (五)包茎、包皮过长(条件兵除外); (六)轻度急性包皮炎、阴囊炎。 第十五条 重度腋臭,不合格。轻度腋臭,条件兵不合格。 第十六条 头癣,泛发性体癣,疥疮,慢性泛发性湿疹,慢性荨麻疹,泛发性神经性皮炎,银屑病,面颈部长径超过1cm的血管痣、色素痣、胎痣和白癜风,其他传染性或难 以治愈的皮肤病,不合格。多发性毛囊炎,皮肤对刺激物过敏或有接触性皮炎史,手足部位近3年连续发生冻疮,条件兵不合格。 下列情况合格: (一)单发局限性神经性皮炎,长径在3cm以下; (二)股癣,手(足)癣,甲(指、趾)癣,躯干花斑癣; (三)身体其他部位白癜风不超过2处,每处长径在3cm以下。 第十七条 淋病,梅毒,软下疳,性病性淋巴肉芽肿,非淋菌性尿道炎,尖锐湿疣,生殖器疱疹,以及其他性传播疾病,不合格。 第二章 内科 第十八条 血压在下列范围,合格。 (一)收缩压≥90 mmHg,<140 mmHg; (二)舒张压≥60 mmHg,<90 mmHg。 第十九条 心率在下列范围,合格。 (一)心率60~100次/分; (二)心率50~59次/分或101~110次/分,经检查系生理性(条件兵除外)。 第二十条 高血压病,器质性心脏病,血管疾病,右位心脏,不合格。 下列情况合格:(一)听诊发现心律不齐、心脏收缩期杂音的,经检查系生理性(条件兵除外); (二)直立性低血压、周围血管舒缩障碍(仅陆勤人员)。 第二十一条 慢性支气管炎,支气管扩张,支气管哮喘,肺大泡,气胸及气胸史,以及其他呼吸系统慢性疾病,不合格。 第二十二条 严重慢性胃、肠疾病,肝脏、胆囊、脾脏、胰腺疾病,内脏下垂,腹部包块,不合格。 下列情况合格:(一)仰卧位,平静呼吸,在右锁骨中线肋缘下触及肝脏不超过1.5cm,剑突下不超过3cm,质软,边薄,平滑,无触痛、叩击痛,肝上界在正常范围,左肋缘下未触及脾脏,无贫血,营养状况良好; (二)既往因患疟疾、血吸虫病、黑热病引起的脾脏肿大,现无自觉症状,无贫血,营养状况良好。 第二十三条 泌尿、血液、内分泌系统疾病,代谢性疾病,免疫性疾病,不合格。 第二十四条 艾滋病,病毒性肝炎,结核,流行性出血热,细菌性和阿米巴性痢疾,黑热病,伤寒,副伤寒,布鲁氏菌病,钩端螺旋体病,血吸虫病,疟疾,丝虫病,以及其他传染病,不合格。 下列情况合格:(一)急性病毒性肝炎治愈后2年以上未再复发,无症状和体征,实验室检查正常; (二)原发性肺结核、继发性肺结核、结核性胸膜炎、肾结核、腹膜结核,临床治愈后3年无复发(条件兵除外); (三)细菌性痢疾治愈1年以上; (四)疟疾、黑热病、血吸虫病、阿米巴性痢疾、钩端螺旋体病、流行性出血热、伤寒、副伤寒、布鲁氏菌病,治愈2年以上,无后遗症; (五)丝虫病治愈半年以上,无后遗症。 第二十五条 癫痫,以及其他神经系统疾病及后遗症,不合格。 第二十六条 精神分裂症,转换性障碍,分离性障碍,抑郁症,躁狂症,精神活性物质滥用和依赖,人格障碍,应激障碍, 睡眠障碍,进食障碍,精神发育迟滞,遗尿症,以及其他精神类疾病,不合格。 第二十七条 影响正常表达的口吃,不合格。 第三章 耳鼻咽喉科 第二十八条 听力测定双侧耳语均低于5m,不合格。 一侧耳语5m、另一侧不低于3m,陆勤人员合格。 第二十九条 眩晕病,不合格。 第三十条 耳廓明显畸形,外耳道闭锁,反复发炎的耳前瘘管,耳廓及外耳道湿疹,耳霉菌病,不合格。 轻度耳廓及外耳道湿疹,轻度耳霉菌病,陆勤人员合格。 第三十一条 鼓膜穿孔,化脓性中耳炎,乳突炎,以及其他难以治愈的耳病,不合格。鼓膜中度以上内陷,鼓膜瘢痕或钙化斑超过鼓膜的1/3,咽鼓管通气功能、耳气压功能及鼓膜活动不良,咽鼓管咽口或周围淋巴样组织增生,条件兵不合格。 鼓膜内陷、粘连、萎缩、瘢痕、钙化斑,条件兵合格。 第三十二条 嗅觉丧失,不合格。嗅觉迟钝,条件兵不合格。 第三十三条 鼻中隔穿孔,鼻畸形,重度肥厚性鼻炎,萎缩性鼻炎,重度鼻粘膜糜烂,鼻息肉,中鼻甲息肉样变,以及其他影响鼻功能的慢性鼻病,不合格。严重变应性鼻炎,肥厚性鼻炎,慢性鼻窦炎,严重鼻中隔偏曲,条件兵不合格。 不影响副鼻窦引流的中鼻甲肥大,中鼻道有少量粘液脓性分泌物,轻度萎缩性鼻炎,陆勤人员合格。 第三十四条 超过Ⅱ度肿大的慢性扁桃体炎,影响吞咽、发音功能难以治愈的咽、喉疾病,严重阻塞性睡眠呼吸暂停综合征,不合格。 第四章 眼科 第三十五条 任何一眼裸眼视力低于4.5,不合格。 任何一眼裸眼视力低于4.8,需进行矫正视力检查,任何一眼矫正视力低于4.8或矫正度数超过600度,不合格。 屈光不正经准分子激光手术(不含有晶体眼人工晶体植入术等其他术式)后半年以上,无并发症,任何一眼裸眼视力达到4.8,眼底检查正常,除条件兵外合格。 条件兵视力合格条件按有关标准执行。 第三十六条 色弱,色盲,不合格。 能够识别红、绿、黄、蓝、紫各单色者,陆勤人员合格。 第三十七条 影响眼功能的眼睑、睑缘、结膜、泪器疾病,不合格。 伸入角膜不超过2mm的假性翼状胬肉,陆勤人员合格。 第三十八条 眼球突出,眼球震颤,眼肌疾病,不合格。 15度以内的共同性内、外斜视,陆勤人员合格。 第三十九条 角膜、巩膜、虹膜睫状体疾病,瞳孔变形、运动障碍,不合格。 不影响视力的角膜云翳,合格。 第四十条 晶状体、玻璃体、视网膜、脉络膜、视神经疾病,以及青光眼,不合格。 先天性少数散在的晶状体小混浊点,合格。 第五章 口腔科 第四十一条 深度龋齿超过3个,缺齿超过2个(经正畸治疗拔除、牙列整齐的除外),全口义齿及复杂的可摘局部义齿,重度牙周炎,影响咀嚼及发音功能的口腔疾病,颞颌关节疾病,唇、腭裂及唇裂术后明显瘢痕,不合格。 经治疗、修复后功能良好的龋齿、缺齿,合格。 第四十二条 中度以上氟斑牙及牙釉质发育不全,切牙、尖牙、双尖牙明显缺损或缺失,超牙合超过0.5cm,开牙合超过0.3cm,上下颌牙咬合到对侧牙龈的深覆牙合,反牙合,牙列不齐,重度牙龈炎,中度牙周炎,条件兵不合格。 下列情况合格: (一)上下颌左右尖牙、双尖牙咬合相距0.3cm以内; (二)切牙缺失1个,经固定义齿修复后功能良好,或牙列无间隙,替代牙功能良好; (三)不影响咬合的个别切牙牙列不齐或重叠; (四)不影响咬合的个别切牙轻度反牙合,无其他体征; (五)错牙合畸形经正畸治疗后功能良好。 第四十三条 慢性腮腺炎,腮腺囊肿,口腔肿瘤,不合格。 第六章 妇科 第四十四条 闭经,严重痛经,子宫不规则出血,功能性子宫出血,子宫内膜异位症,不合格。 第四十五条 内外生殖器畸形或缺陷,不合格。 第四十六条 急、慢性盆腔炎,盆腔肿物,不合格。 第四十七条 霉菌性阴道炎,滴虫性阴道炎,不合格。 第四十八条 妊娠,不合格。 第七章 辅助检查 第四十九条 血细胞分析结果在下列范围,合格。 (一)血红蛋白:男性130~175g/L,女性115~150g/L; (二)红细胞计数:男性4.3~5.8×1012/L,女性3.8~5.1×1012/L; (三)白细胞计数:3.5~9.5×109/L; (四)中性粒细胞百分数:40%~75%; (五)淋巴细胞百分数:20%~50%; (六)血小板计数:125~350×109/L。 血常规检查结果要结合临床及地区差异作出正确结论。血红蛋白、红细胞数、白细胞总数、白细胞分类、血小板计数稍高或稍低,根据所在地区人体正常值范围,在排除器质性病变的前提下,不作单项淘汰。 第五十条 血生化分析结果在下列范围,合格。 (一)血清丙氨酸氨基转移酶:男性9~50 U/L,女性7~40 U/L; 血清丙氨酸氨基转移酶,男性>50 U/L、≤60 U/L,女性>40 U/L、≤50 U/L,应当结合临床物理检查,在排除疾病的情况下,视为合格,但须从严掌握; (二)血清肌酐: 酶法:男性59~104μmol/L,女性45~84μmol/L; 苦味酸速率法:男性62~115μmol/L,女性53~97μmol/L; 苦味酸去蛋白终点法:男性44~133μmol/L,女性70~106μmol/L; (三)血清尿素:2.9~8.2mmol/L。 第五十一条 乙型肝炎表面抗原检测阳性,艾滋病病毒(HIV1+2)抗体检测阳性,不合格。 第五十二条 尿常规检查结果在下列范围,合格。 (一)尿蛋白:阴性至微量; (二)尿酮体:阴性; (三)尿糖:阴性; (四)胆红素:阴性; (五)尿胆原:0.1~1.0 Eμ/dl(弱阳性)。 尿常规检查结果要结合临床及地区差异作出正确结论。 第五十三条 尿液离心沉淀标本镜检结果在下列范围,合格。 (一)红细胞:男性0~偶见/高倍镜,女性0~3/高倍镜,女性不超过6个/高倍镜应结合外阴检查排除疾病; (二)白细胞:男性0~3/高倍镜,女性0~5/高倍镜,不超过6个/高倍镜应结合外生殖器或外阴检查排除疾病; (三)管型:无或偶见透明管型,无其他管型。 第五十四条 尿液毒品检测阳性,不合格。 第五十五条 尿液妊娠试验阴性,合格。 尿液妊娠试验阳性、但血清妊娠试验阴性,合格。 第五十六条 大便常规检查结果在下列范围,合格。 (一)外观:黄软; (二)镜检:红、白细胞各0~2/高倍镜,无钩虫、鞭虫、绦虫、血吸虫、肝吸虫、姜片虫卵及肠道原虫。 大便常规检查,在地方性寄生虫病和血吸虫病流行地区为必检项目,其他地区根据需要进行检查。 第五十七条 胸部X射线检查结果在下列范围内,合格。 (一)胸部X射线检查未见异常; (二)孤立散在的钙化点(直径不超过0.5cm),双肺野不超过3个,密度高,边缘清晰,周围无浸润现象(条件兵除外); (三)肺纹理轻度增强(无呼吸道病史,无自觉症状); (四)一侧肋膈角轻度变钝(无心、肺、胸疾病史,无自觉症状)。 第五十八条 心电图检查结果在下列范围内,合格。 (一)正常心电图; (二)大致正常心电图。大致正常心电图范围按有关规定执行。 第五十九条 腹部超声检查发现恶性征象、病理性脾肿大、胰腺病变、肝肾弥漫性实质损害、肾盂积水、结石、内脏反位、单肾以及其他病变和异常的,不合格。 下列情况合格(第五至十一款,条件兵除外): (一)肝、胆、胰、脾、双肾未见明显异常; (二)轻、中度脂肪肝且肝功能正常; (三)胆囊息肉样病变,数量3个以下且长径均在0.5cm以下; (四)副脾; (五)肝肾囊肿和血管瘤单脏器数量3个以下且长径均在1cm以下; (六)单发肝肾囊肿和血管瘤长径3cm以下; (七)肝、脾内钙化灶数量3个以下且长径均在1cm以下; (八)双肾实质钙化灶数量3个以下且长径1cm以下; (九)双肾错构瘤数量2个以下且长径均在1cm以下; (十)肾盂宽不超过1.5cm,输尿管不增宽; (十一)脾脏长径10cm以下,厚度4.5cm以下;脾脏长径超过10cm或厚径超过4.5cm,但脾面积测量(0.8×长径×厚径)38cm2以下,排除器质性病变。 第六十条 妇科超声检查发现子宫肌瘤、附件区不明性质包块、以及其他病变和异常的,不合格。 下列情况合格: (一)子宫、卵巢大小形态未见明显异常; (二)不伴其他异常的盆腔积液深度不超过2cm; (三)单发附件区、卵巢囊肿长径小于3cm。 第八章 士兵职业基本适应性检测 士兵职业基本适应性检测合格条件按有关规定执行。 (注:条件兵,指坦克乘员、水面舰艇、潜艇、空降兵、特种部队等对应征青年政治、身体、文化、心理有特殊要求的兵员;条件兵合格或不合格的具体类别和标准,按照有关规定执行。)
◆教学管理:定向培养高校应当单独组建班次,每班不超过50人。招生开始前,招收部队应当本着专业对口和指导便利的原则指定教学指导机构,会同定向培养高校制定人才培养方案、设置专业课程,做好教学准备工作;定向培养军士对象在校学习期间,教学指导机构应当加强培养跟踪,促进教学与使用的对接。定向培养高校所在地的县级以上征兵办应当指导做好定向培养军士对象的日常管理和军政训练。
◆淘汰:定向培养军士对象入学1个月内,定向培养高校所在地的县级以上征兵办应当指导定向培养高校组织身体复查;不符合条件的,取消定向培养资格,由所在定向培养高校按照普通地方生调整至其他班次学习。定向培养军士对象在校学习期间,因身体原因不适宜服现役的,由定向培养高校按照普通地方生调整到其他班次学习;因个人原因未完成在校课程、考试不合格,违反校规校纪受到处分或者违法犯罪,以及拒绝入伍经教育无效的,取消其定向培养资格,按照相关法律、法规和所在定向培养高校学生管理规定予以处理。
◆毕业:定向培养军士完成入伍训练的,准予毕业,毕业时不返回定向培养高校,由招收部队通报定向培养高校直接为其办理毕业相关手续;未完成入伍训练,或者入伍实习期间因政治、身体等原因不适宜服现役的,经招收部队具有相应批准权限的政治工作部门批准,由定向培养高校所在地的县级人民政府征兵办公室注销其入伍手续,定向培养高校负责接回并按照普通地方生予以复学。
◆入伍办理:定向培养军士对象完成规定课程、修满规定学分,由定向培养高校所在地的县级以上征兵办会同招收部队结合上半年义务兵征集组织体格检查和政治考核,符合服现役条件的,由定向培养高校所在地的县级人民政府征兵办公室办理入伍手续,入伍时间为毕业当年的3月1日。招收部队派出接兵人员,会同定向培养高校所在地的县级以上征兵办完成档案交接,将招收的军士统一接入部队。
招收定向培养军士的档案材料主要包括:《招收军士入伍批准书》、《应征公民体格检查表》、《应征公民政治考核表》,以及入伍之前建立的学生档案、党(团)员材料等。
◆任命和待遇:定向培养军士入伍实习结束后,由所在部队按照招收军士首次授予军士军衔级别有关规定,确定其军衔级别、授予军士军衔,军街时间自毕业当年的9月1日起算。
定向培养军士批准入伍后至首次授予军衔期间,按照第一年度义务兵标准发放津贴、保障伙食,享受相应医疗、保险和抚恤等待遇;授予军士军衔后,自军衔起算之日起执行军士工资及相关待遇标准。
原文如下(滑动浏览):
5月27日,省考试院发布通知,6月12日17时前,报名点将组织有报考军队院校意愿的考生填写政治考核表,然后报送报送所在县(市、区,下同)招生办公室,此后相关部门将逐级进行考核。
推荐阅读:
政治考核对象为志愿报考军队院校的普通高中毕业生。 基本条件: ①参加2024年普通高等学校招生全国统一考试的的普通高中毕业生(应届、往届均可); ②未婚,年龄不低于16周岁、不超过20周岁(截至2024年8月31日); ③高中阶段体质测试成绩及格以上。
通知全文如下:
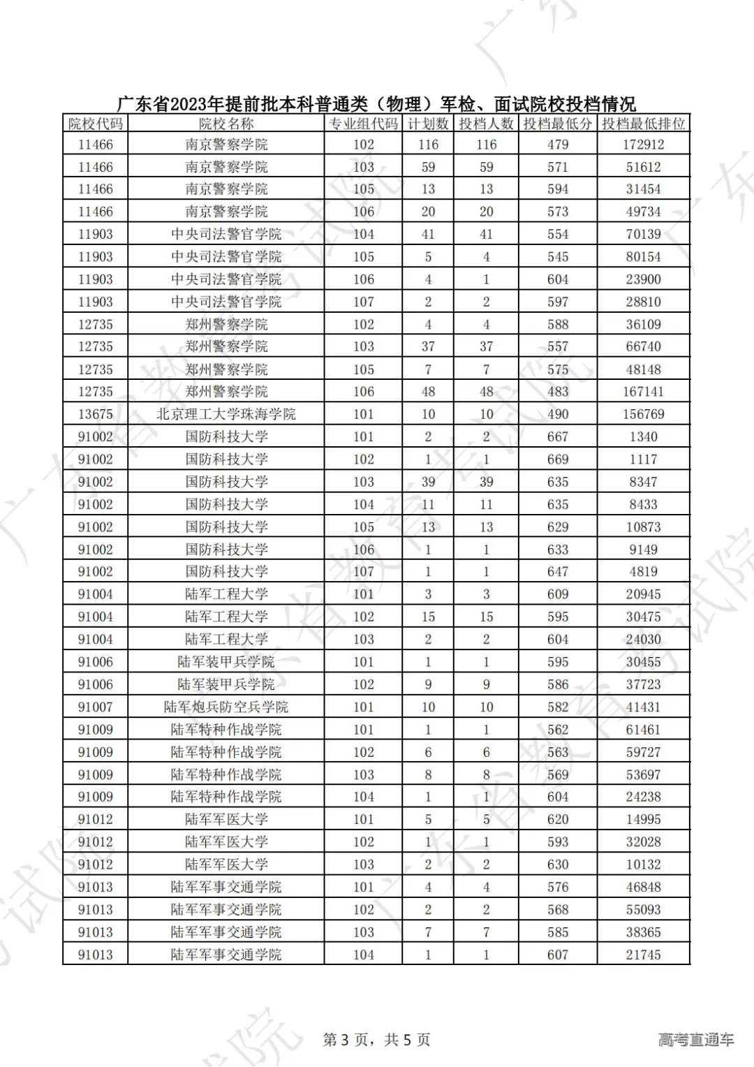
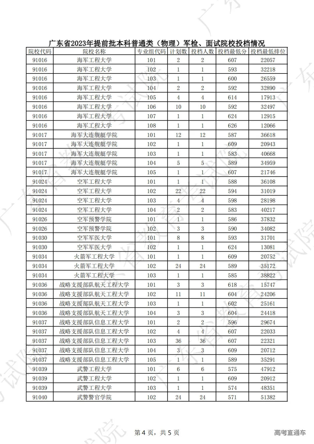
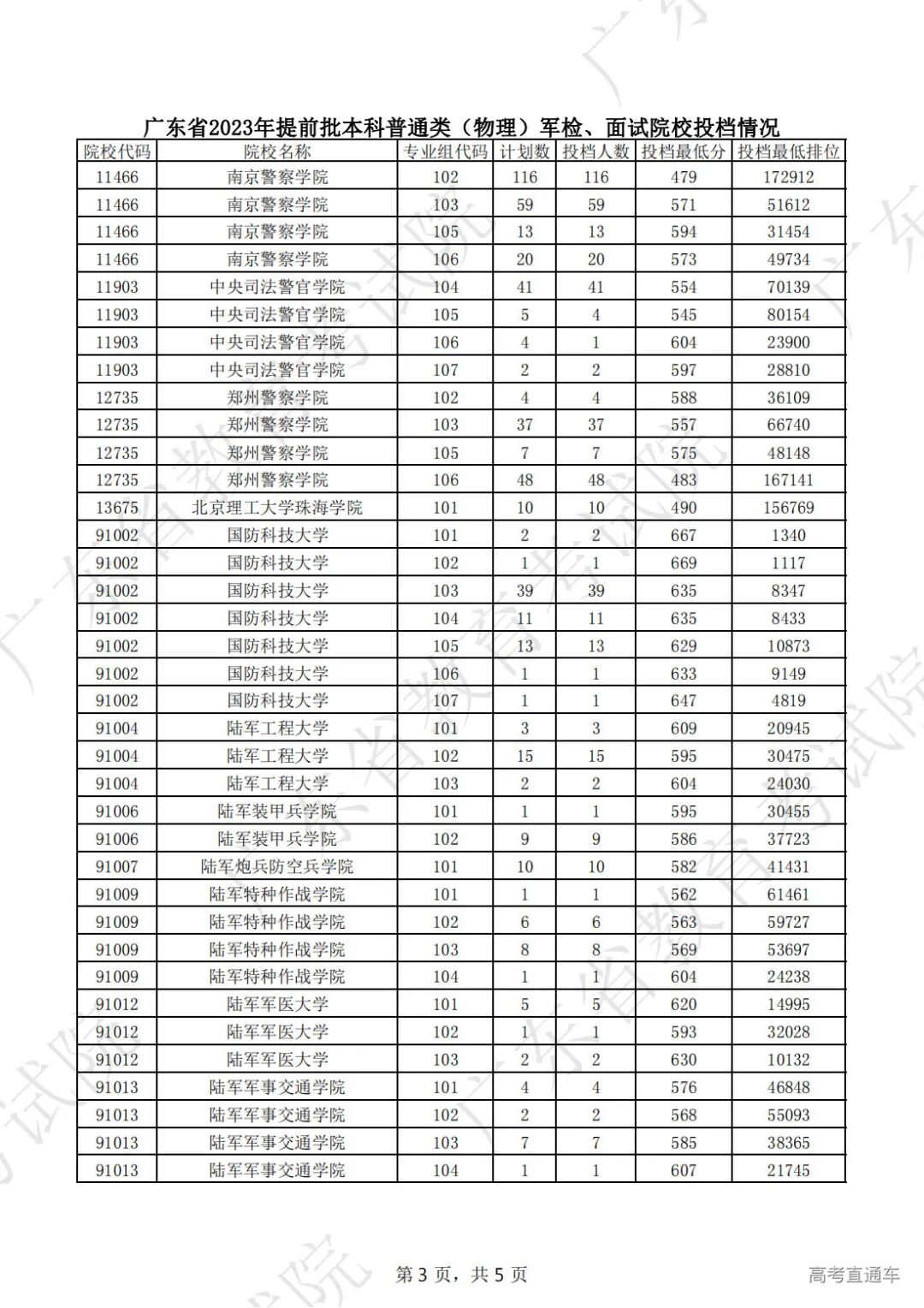
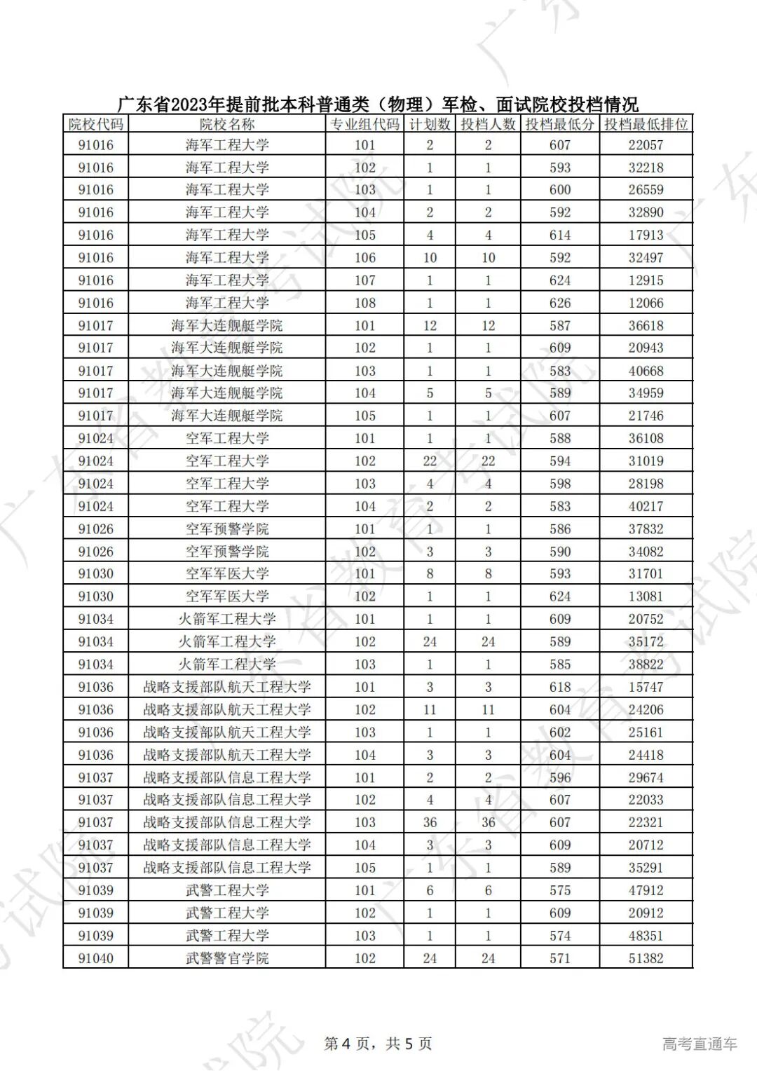
关于做好2024年军队院校招收 普通高中毕业生政治考核工作的通知 为做好我省2024年军队院校招收普通高中毕业生政治考核工作,现将有关事项明确如下。 一、考核对象 政治考核对象为志愿报考军队院校的普通高中毕业生。基本条件:①参加2024年普通高等学校招生全国统一考试的的普通高中毕业生(应届、往届均可);②未婚,年龄不低于16周岁、不超过20周岁(截至2024年8月31日);③高中阶段体质测试成绩及格以上。 二、考核内容和依据 政治考核主要考核考生本人政治思想表现,以及亲属的政治背景和违法犯罪等情况,按照《军队征集和招录人员政治考核规定》执行。 三、组织程序 政治考核由市级征兵办公室具体指导,考生高考报名地县级征兵办公室统一组织,同级公安机关具体实施。考生报考所在地教育部门、户籍所在地或经常居住地县级兵役机关配合做好相关工作。 (一)填写政治考核表格。6月12日17时前,普通高级中学组织有报考军队院校意愿的考生填写政治考核表(可登录广东省教育考试院门户网站、微信公众号下载打印或到高考报名学校领取,样表见附件1、填写说明见附件2),报送所在县(市、区,下同)招生办公室。 (二)报送考核对象名单。6月14日17时前,县招生办公室将政治考核对象名单和政治考核表报送所在县征兵办公室。 (三)组织实施政治考核。6月25日前,县征兵办公室依据军队征集和招录人员政治考核有关规定,按照初步考核、联合考核、作出结论的步骤,完成政治考核。 (四)反馈政治考核情况。6月27日前,市征兵办公室汇总审核辖区考生政治考核情况报省军区招生工作办公室。 四、有关要求 政治考核是青年学生报考军队院校的首要环节,是军队院校招生工作的重要步骤,是军地相关单位的共同政治责任,事关考生的切身利益,事关军队的纯洁巩固。报考人员要按要求如实规范填写《政治考核表》,不得涂改,隐瞒不报,真实反映个人情况。各单位要站在国防和军队建设的高度,切实加强组织领导,精心筹划、严密组织,确保按时间节点完成考核任务。要把政治合格作为青年学生报考军队院校的首要条件,严格执行考核政策规定,认真落实考核责任制,坚持谁考核、谁签字、谁负责,从源头上严把政治关口。对考核过程中发现的违规违纪问题,将严肃追究当事人和单位领导责任。 附件: 1.征集和招录人员政治考核表(滑动浏览) 2.政治考核表填写说明(滑动浏览) 广东省招生委员会办公室 广东省军区招生工作办公室 2024年5月27日 最后,高考直通车汇总了2023年广东高考提前批军检投档情况供大家参考: 历史组: 物理组: 历史组: 物理组:















