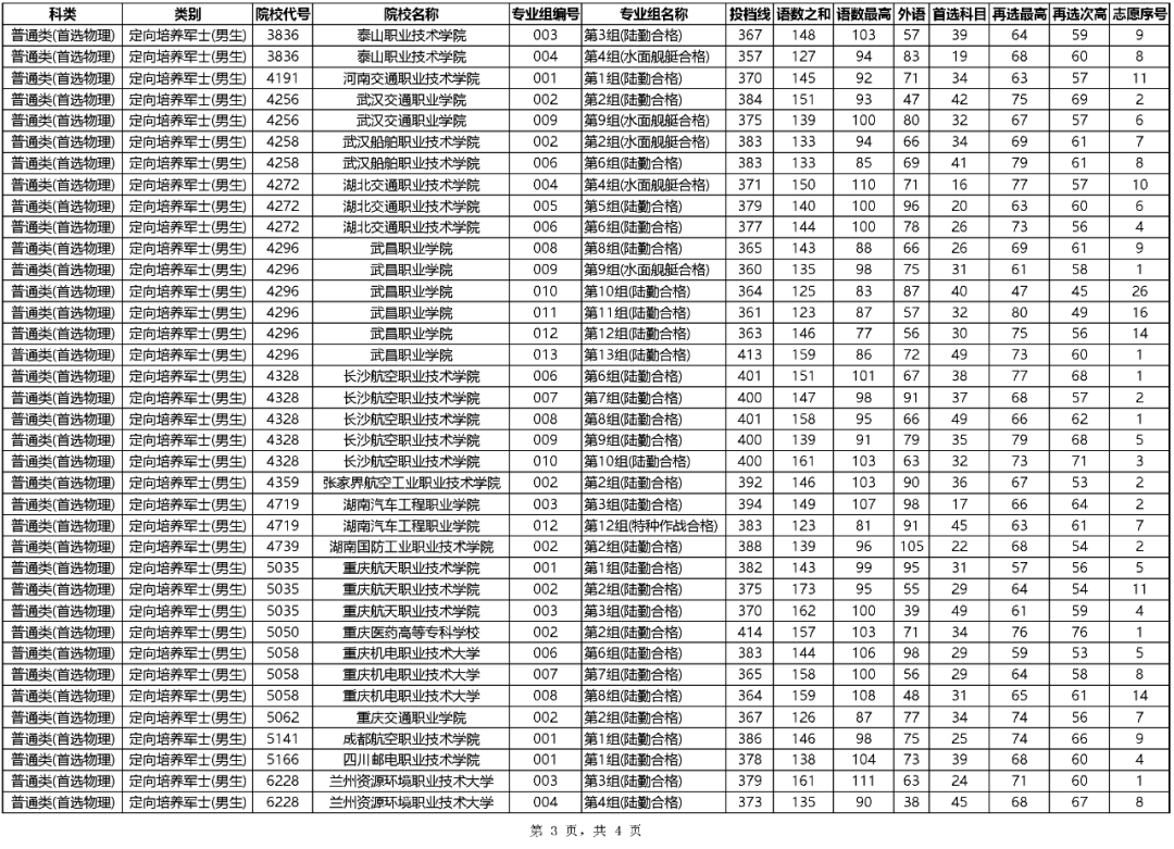
说 明

1. 平行志愿投档的规则:在上线考生中先按分数优先的原则从高分到低分排序(当遇到多名考生同分时,按我省规定的同分排序规则排序),再按考生填报的学校顺序出档。表中所列“语数之和、语数最高、外语、首选科目、再选最高、再选次高、志愿序号”是投档最低分同分考生排序项。
2. 考生定向培养军士招生体检合格结论须符合相应院校专业组的要求。
3. 部属和外省属院校投档时,档案分中不含考生地方性项目加分。
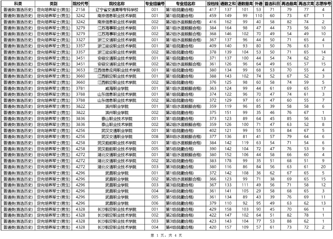
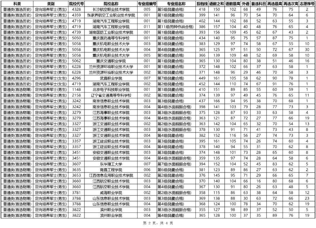
说 明
1. 平行志愿投档的规则:在上线考生中先按分数优先的原则从高分到低分排序(当遇到多名考生同分时,按我省规定的同分排序规则排序),再按考生填报的学校顺序出档。表中所列“语数之和、语数最高、外语、首选科目、再选最高、再选次高、志愿序号”是投档最低分同分考生排序项。
2. 考生定向培养军士招生体检合格结论须符合相应院校专业组的要求。
3. 部属和外省属院校投档时,档案分中不含考生地方性项目加分。
哇哦!快加入高考直通车APP,发现更多精彩内容,与学霸一起交流学习吧!